Foodborne Pathogen Prevalence and Biomarker Identification for Microbial Contamination in Mutton Meat
Simple Summary
Abstract
1. Introduction
2. Materials and Methods
2.1. Sample Collection
- Raw mutton meat samples: Fresh mutton samples were gathered from different butcheries in Coimbatore, Tamil Nadu, India. This study specifically targeted freshly cut mutton samples from either the forelimb or hindlimb regions. Each sample, weighing 100 g, was carefully collected under hygienic conditions in sterile polythene bags. The bags were then securely sealed and immediately placed on ice to maintain sample integrity during transport to the Food Quality Testing Laboratory, Centre for Post-Harvest Technology, Coimbatore. This collection process occurred within a few hours to preserve freshness. The samples were labeled properly, and the microbiological analysis was started immediately. Three biological replicates were maintained for each sample.
- Swab samples: The swabs of the butcher’s hands, cutting board, knife, and weighing balance were collected using pre-moistened sterile swabs (HiMedia, Mumbai, India) over a defined area of several square centimeters, following the method described in [21]. The swabs were then placed into 15 mL centrifuge tubes containing sterile saline buffer. The tubes with the swabs were vortexed for 1 min, serially diluted in 9 mL of sterile peptone water, vortexed, and subsequently used for analysis.
- Water samples: Tap water (fresh) and used water (for mutton washing) were sampled for microbial analysis. In the case of the fresh water, the water samples were collected after allowing the water to flow for one minute, and washed water was collected after proper homogenization in sterile 500 mL containers for further analysis [22].
2.2. Microbial Analysis
- Total plate count: The total plate count was conducted according to ISO 4833-1 (2013) [23]. For each sample, 1 mL of the diluted sample was inoculated onto plate count agar (Cat #M091, HiMedia, India) using the pour plate technique. The plates were incubated at 30 °C for 24–48 h, and bacterial colonies were counted and reported as log cfu/g (or per mL/cm2).
- Yeasts and molds count: To enumerate yeasts and molds, 1 mL of appropriately diluted samples was inoculated onto yeast glucose chloramphenicol agar using the spread plate technique (Cat #M1590, HiMedia, India) and incubated at 25 °C for 3–5 days. The plates were examined for white, slimy yeast colonies and mycelial mold colonies. This method followed the guidelines of IS 5403:1999 [24].
- Total coliforms: The appropriately diluted sample was inoculated onto a 3M Petrifilm (Cat #6414, Loughborough, UK) for coliform enumeration. A total of 1 mL of the sample was placed at the center, and the film was gently rolled back. After incubation at 37 °C for 24–48 h, red colonies with gas bubbles were counted. The results were converted to log10 values.
- Escherichia coli: The presence of E. coli in petrifilms inoculated with the samples was tested, confirmed by the appearance of blue colonies with entrapped gas. Suspected colonies were picked using sterile toothpicks and streaked onto eosin methylene blue agar (Cat #M317, HiMedia, India), where E. coli exhibited a green metallic sheen. The plates were incubated at 37 °C for 24 h, and colonies showing this characteristic sheen were confirmed through PCR amplification of the uidA gene, which encodes β-glucuronidase, an enzyme specific to E. coli. Suspected colonies were further streaked onto Luria Bertani (LB) agar. After 24 h, a single colony was picked with a sterile toothpick and smeared into a PCR tube containing 20 μL of TE buffer. PCR amplification was then performed using a thermocycler following the specified conditions (Table S2). Amplicons were visualized using agarose gel electrophoresis, as described in [25].
- Escherichia coli O157: The confirmed E. coli isolates were screened for Shiga toxin-producing genes by streaking them onto O157-selective medium, specifically 4-methylumbelliferyl-β-D-glucuronide E. coli O157 medium (Cat #M1373, HiMedia, India). The plates were incubated at 37 °C for 24 h and examined for glucuronidase activity. Non-fluorescent green colonies lacking glucuronidase activity were suspected to be E. coli O157. PCR amplification was performed to detect the O157-specific allele (uidA O157) and Shiga toxin genes (stx1, stx2, eae). Amplicons were separated using 1.2% agarose gel electrophoresis, as described previously.
- P. aeruginosa: For P. aeruginosa detection, 1 mL of appropriately diluted sample was plated on Cetrimide agar (Cat #M119, HiMedia, India) to test for pyocyanin production. The plates were incubated at 37 °C for 24–48 h. The dilution ranges were as follows: 10−5 to 10−6 for mutton meat and washed water; 10−2 to 10−3 for knife swabs, hand swabs, and tap water; 10−4 to 10−5 for cutting boards. Colonies with bluish–green pigment were subcultured for fluorescence and pyocyanin production. PCR confirmation was performed using genus- and species-specific primers, followed by 1.2% agarose gel electrophoresis.
- Salmonella: To detect Salmonella species, 25 g of the sample was pre-enriched in buffered peptone water (BPW) at 37 °C for 24 h. A total of 1 mL of pre-enriched sample was inoculated to selective enrichment Rappaport Vassiliadis broth at 42 °C for 24–48 h. The enriched broth was streaked onto XLD agar (Cat #M031, HiMedia, India) and incubated at 37 °C for 24 h (ISO: 6579-1:2017 [26]). Red colonies with black centers were sub-cultured on LB agar [27]. PCR amplification (Table S1) targeting the Salmonella invasion gene was conducted, and amplicons were resolved via 1.2% agarose gel electrophoresis for confirmation.
- Staph. aureus: To detect Staph. aureus, 0.1 mL of sample diluent was inoculated onto Baird Parker agar with egg yolk tellurite emulsion (Cat #M043 & FD046, HiMedia, India). Different diluents were used for each sample type. The plates were incubated at 30 °C for 24 h, then at 37 °C for another 24 h. Positive black colonies with halo zones were observed, followed by an opaque zone around the colonies after 48 h. Suspected colonies were confirmed via PCR amplification using toxin gene-specific primers, and amplicons were analyzed via 1.2% agarose gel electrophoresis.
2.3. Automated Identification of Foodborne Pathogens in Meat Using VITEK 2 Compact and VIDAS
2.3.1. Identification of Staphylococcus in Meat Using VITEK 2 Compact (BioMerieux S.A., Marcy-l’Étoile, France)
2.3.2. Identification of Salmonella in Meat Using VIDAS (BioMerieux S.A., France)
2.4. Biomarker Identification Using GCMS
2.4.1. Inoculant Preparation
2.4.2. Spiking in the Meat Matrix
2.4.3. Goat Meat Volatile Collection
2.4.4. Goat Meat Metabolite Extraction
2.4.5. Goat Meat Metabolite and Volatile Profiling
2.5. Statistical Analysis
3. Results
3.1. Microbial Source Tracking and Prevalence of Mutton Meat Samples and Their Slaughtering Process
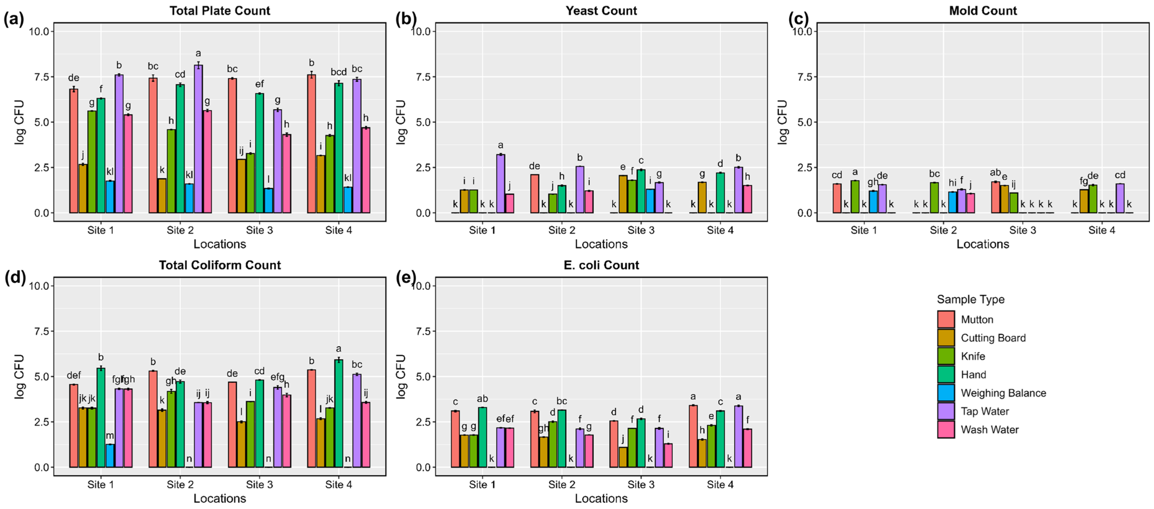
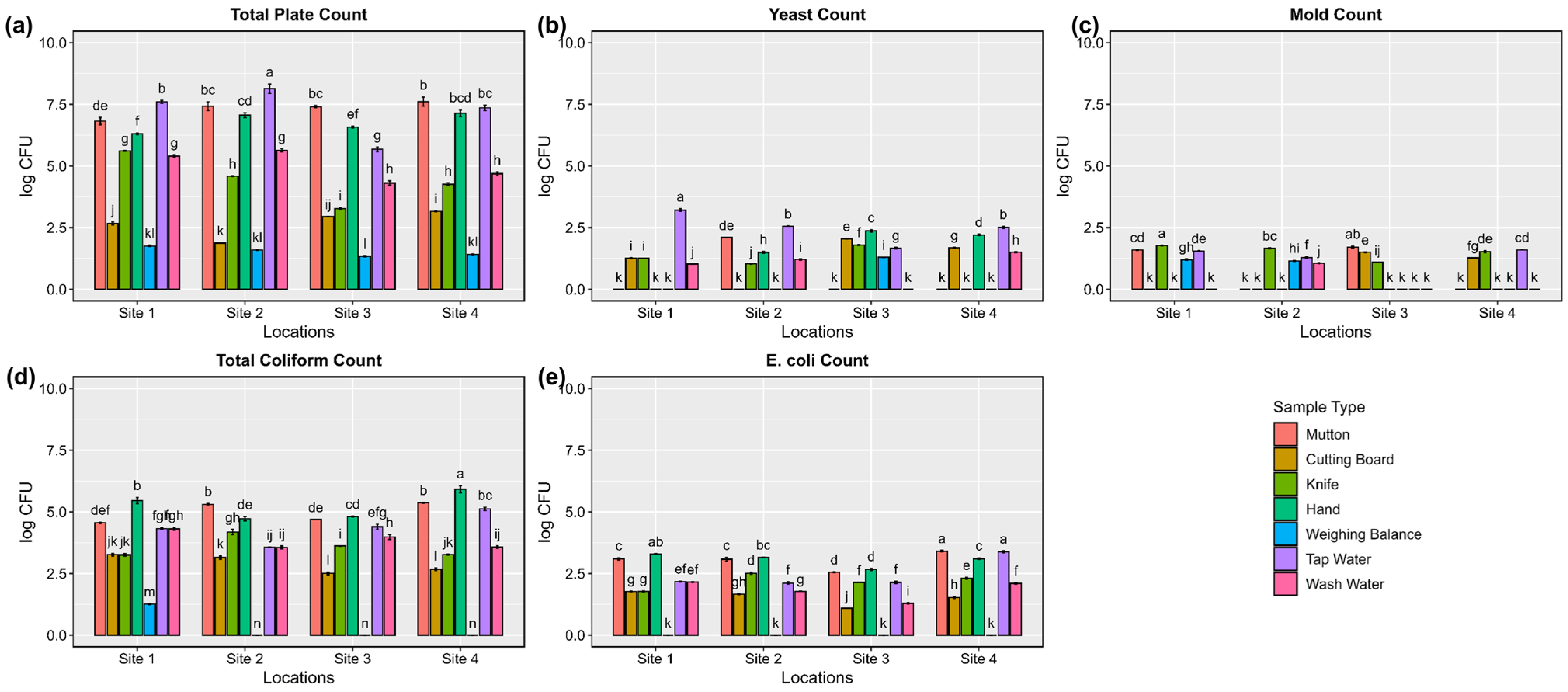
3.1.1. Total Plate Count
3.1.2. Yeast and Mold Counts
3.1.3. Total Coliform Count
3.1.4. E. coli Count
3.1.5. P. aeruginosa
3.1.6. Salmonella sp.
3.1.7. Staphylococcus sp.
3.1.8. Principal Component Analysis
3.1.9. Correlation Analysis
3.2. Outcomes of Automated Pathogen Detection in Mutton Meat Samples Using VITEK 2 Compact and VIDAS
3.2.1. Automated Identification of Foodborne Pathogens Using VITEK 2 Compact for Meat Samples
3.2.2. Automated Identification of Foodborne Pathogens Using VIDAS for Meat Samples
3.3. Potential Biomarker Identification Based on the Metabolites and Volatiles of Goat Meat Matrix for Detection of Foodborne Pathogens Using GCMS
Analysis of Identified Volatiles and Metabolites in Control and Spiked Goat Meat Samples Based on Principle Component Analysis (PCA), Orthogonal Partial Least Squares Discriminant Analysis (OPLS-DA), and Sparse Partial Least Squares Discriminant Analysis (sPLS-DA)
4. Discussion
4.1. Microbial Assessment of Raw Mutton Meat and Chicken Slaughter Units
4.2. Automated Detection of Foodborne Pathogens Using VITEK and VIDAS
4.3. Metabolite and Volatile Profiling of Raw Mutton Meat Matrix Spiked with Foodborne Pathogens for Detection of Foodborne Pathogens
Analysis of Identified Volatiles and Metabolites Between Control and Spiked Samples of Goat Meat Based on Principal Component Analysis (PCA), Orthogonal Partial Least Squares Discriminant Analysis (OPLS-DA), and Sparse Partial Least Squares Discriminant Analysis (sPLS-DA)
5. Conclusions
Supplementary Materials
Author Contributions
Funding
Institutional Review Board Statement
Informed Consent Statement
Data Availability Statement
Acknowledgments
Conflicts of Interest
References
- Mohammad, A.-M.; Chowdhury, T.; Biswas, B.; Absar, N. Food poisoning and intoxication: A global leading concern for human health. In Food Safety and Preservation; Elsevier: Amsterdam, The Netherlands, 2018; pp. 307–352. [Google Scholar]
- Mohammed, M.; Thapa, S. Evaluation of WGS-subtyping methods for epidemiological surveillance of foodborne salmonellosis. One Health Outlook 2020, 2, 13. [Google Scholar] [CrossRef]
- Muthukumar, M.; Naveena, B.; Banerjee, R.; Singh, V.; Barbuddhe, S. An overview of Indian livestock and meat sector. Indian J. Anim. Sci. 2021, 91, 247–254. [Google Scholar] [CrossRef]
- Gawat, M.; Boland, M.; Singh, J.; Kaur, L. Goat meat: Production and quality attributes. Foods 2023, 12, 3130. [Google Scholar] [CrossRef] [PubMed]
- Ortega-Rivas, E.; Salmerón-Ochoa, I. Nonthermal food processing alternatives and their effects on taste and flavor compounds of beverages. Crit. Rev. Food Sci. Nutr. 2014, 54, 190–207. [Google Scholar] [CrossRef] [PubMed]
- Reisch, L.; Eberle, U.; Lorek, S. Sustainable food consumption: An overview of contemporary issues and policies. Sustain. Sci. Pract. Policy 2013, 9, 7–25. [Google Scholar] [CrossRef]
- Jamshidi, A.; Zeinali, T. Significance and characteristics of Listeria monocytogenes in poultry products. Int. J. Food Sci. 2019, 2019, 7835253. [Google Scholar] [CrossRef] [PubMed]
- Afshari, A.; Baratpour, A.; Khanzade, S.; Jamshidi, A. Salmonella Enteritidis and Salmonella Typhimorium identification in poultry carcasses. Iran. J. Microbiol. 2018, 10, 45. [Google Scholar]
- Skarp, C.; Hänninen, M.-L.; Rautelin, H. Campylobacteriosis: The role of poultry meat. Clin. Microbiol. Infect. 2016, 22, 103–109. [Google Scholar] [CrossRef]
- Mersha, G.; Asrat, D.; Zewde, B.; Kyule, M. Occurrence of Escherichia coli O157: H7 in faeces, skin and carcasses from sheep and goats in Ethiopia. Lett. Appl. Microbiol. 2010, 50, 71–76. [Google Scholar] [CrossRef] [PubMed]
- Al–mashhadany, D.A.; Ba-Salamah, H.A.; Shater, A.-R.; Al Sanabani, A.S.; Abd Al Galil, F. Prevalence of Listeria monocytogenes in red meat in Dhamar Governorate/Yemen. Prevalence 2016, 2, 73–78. [Google Scholar]
- Bosilevac, J.M.; Gassem, M.A.; Al Sheddy, I.A.; Almaiman, S.A.; Al-Mohizea, I.S.; Alowaimer, A.; Koohmaraie, M. Prevalence of Escherichia coli O157: H7 and Salmonella in camels, cattle, goats, and sheep harvested for meat in Riyadh. J. Food Prot. 2015, 78, 89–96. [Google Scholar] [CrossRef]
- Morton, V.; Kearney, A.; Coleman, S.; Viswanathan, M.; Chau, K.; Orr, A.; Hexemer, A. Outbreaks of Salmonella illness associated with frozen raw breaded chicken products in Canada, 2015–2019. Epidemiol. Infect. 2019, 147, e254. [Google Scholar] [CrossRef] [PubMed]
- Nawaz, Z.; Aslam, B.; Zahoor, M.A.; Siddique, A.B.; Rafique, A.; Aslam, R.; Qamar, M.U.; Ali, S. Frequency of extended spectrum beta lactamase producing Escherichia coli in fresh and frozen meat. Pak. Vet. J. 2021, 41, 102–106. [Google Scholar] [CrossRef]
- Dominguez, S.A.; Schaffner, D.W. Survival of Salmonella in processed chicken products during frozen storage. J. Food Prot. 2009, 72, 2088–2092. [Google Scholar] [CrossRef] [PubMed]
- Hassanein, R.; Ali, S.F.H.; El-Malek, A.; Mohamed, A.; Mohamed, M.A.; Elsayh, K.I. Detection and identification of Salmonella species in minced beef and chicken meats by using Multiplex PCR in Assiut city. Vet. World 2011, 4, 5–11. [Google Scholar] [CrossRef]
- Doyle, M.P.; Erickson, M.C. Emerging microbiological food safety issues related to meat. Meat Sci. 2006, 74, 98–112. [Google Scholar] [CrossRef] [PubMed]
- Fusco, V.; Quero, G.M. Culture-dependent and culture-independent nucleic-acid-based methods used in the microbial safety assessment of milk and dairy products. Compr. Rev. Food Sci. Food Saf. 2014, 13, 493–537. [Google Scholar] [CrossRef] [PubMed]
- Vejarano, R.; Siche, R.; Tesfaye, W. Evaluation of biological contaminants in foods by hyperspectral imaging: A review. Int. J. Food Prop. 2017, 20, 1264–1297. [Google Scholar] [CrossRef]
- Darbandi, F. Parallel Comparison of Accuracy in Vitek2 Auto-analyzer and API 20 E/API20 NE Microsystems. [Internet]. Bada. hb. se. 2018. Available online: https://www.diva-portal.org/smash/record.jsf?pid=diva2%3A1312339&dswid=6182 (accessed on 7 September 2024).
- Favero, M.; McDade, J.; Robertsen, J.; Hoffman, R.; Edwards, R. Microbiological sampling of surfaces. J. Appl. Bacteriol. 1968, 31, 336–343. [Google Scholar] [CrossRef] [PubMed]
- Delbeke, S.; Ceuppens, S.; Hessel, C.T.; Castro, I.; Jacxsens, L.; De Zutter, L.; Uyttendaele, M. Microbial safety and sanitary quality of strawberry primary production in Belgium: Risk factors for Salmonella and Shiga toxin-producing Escherichia coli contamination. Appl. Environ. Microbiol. 2015, 81, 2562–2570. [Google Scholar] [CrossRef] [PubMed]
- ISO 4833-1 (2013); Microbiology of the Food Chain—Horizontal Method for the Enumeration of Microorganisms—Part 1: Colony Count at 30 °C by the Pour Plate Technique. International Organization for Standardization: Geneva, Switzerland, 2013.
- IS 5403:1999; Method for Yeast and Mould Count of Foodstuffs and Animal Feeds. Bureau of Indian Standards: New Delhi, India, 1999.
- Sambrook, J.; Fritschi, E.; Maniatis, T. Molecular Cloning: A Laboratory Manual; Cold Spring Harbor Laboratory Press: New York, NY, USA, 1989; Volume 1, ISBN 0-87969-309-6. [Google Scholar]
- ISO: 6579-1:2017; Microbiology of the Food Chain—Horizontal Method for the Detection, Enumeration, and Serotyping of Salmonella—Part 1: Detection of Salmonella spp. International Organization for Standardization: Geneva, Switzerland, 2017.
- Rahman, M.M.; Hossain, H.; Chowdhury, M.S.R.; Hossain, M.M.; Saleh, A.; Binsuwaidan, R.; Noreddin, A.; Helmy, Y.A.; El Zowalaty, M.E. Molecular characterization of multidrug-resistant and extended-spectrum β-lactamases-producing Salmonella enterica serovars enteritidis and typhimurium isolated from raw meat in retail markets. Antibiotics 2024, 13, 586. [Google Scholar] [CrossRef]
- Cevallos-Cevallos, J.M.; Danyluk, M.D.; Reyes-De-Corcuera, J.I. GC-MS based metabolomics for rapid simultaneous detection of Escherichia coli O157: H7, Salmonella Typhimurium, Salmonella Muenchen, and Salmonella Hartford in ground beef and chicken. J. Food Sci. 2011, 76, M238–M246. [Google Scholar] [CrossRef]
- González-Peña, D.; Dudzik, D.; García, A.; de Ancos, B.; Barbas, C.; Sánchez-Moreno, C. Metabolomic fingerprinting in the comprehensive study of liver changes associated with onion supplementation in hypercholesterolemic Wistar rats. Int. J. Mol. Sci. 2017, 18, 267. [Google Scholar] [CrossRef]
- Mohanapriya, R.; Paranidharan, V.; Karthikeyan, S.; Balachandar, D. Assessment of microbial safety of fresh vegetables through Caenorhabditis elegans model. Microbe 2024, 4, 100155. [Google Scholar] [CrossRef]
- Kumar, P.; Rao, J.; Haribabu, Y. Microbiological quality of meat collected from municipal slaughter houses and retail meat shops from Hyderabad Karnataka region, India. APCBEE Procedia 2014, 8, 364–369. [Google Scholar] [CrossRef]
- Jaja, I.F.; Green, E.; Muchenje, V. Aerobic mesophilic, coliform, Escherichia coli, and Staphylococcus aureus counts of raw meat from the formal and informal meat sectors in South Africa. Int. J. Environ. Res. Public Health 2018, 15, 819. [Google Scholar] [CrossRef] [PubMed]
- Adesiji, Y.O.; Alli, O.T.; Adekanle, M.A.; Jolayemi, J.B. Prevalence of Arcobacter, Escherichia coli, Staphylococcus aureus and Salmonella species in retail raw chicken, pork, beef and goat meat in Osogbo, Nigeria. Sierra Leone J. Biomed. Res. 2011, 3, 8–12. [Google Scholar] [CrossRef]
- Hassan, H.a.J.; Sadeq, J.N.; Hussain, M.H.; Mohamed, B.J. Isolation and identification of some bacteria from imported meat (beef burger) by using vitek2 technique. Al-Qadisiyah J. Vet. Med. Sci. 2018, 17, 117–124. [Google Scholar] [CrossRef]
- Zangenah, S.; Güleryüz, G.; Boräng, S.; Ullberg, M.; Bergman, P.; Özenci, V. Identification of clinical Pasteurella isolates by MALDI-TOF—A comparison with VITEK 2 and conventional microbiological methods. Diagn. Microbiol. Infect. Dis. 2013, 77, 96–98. [Google Scholar] [CrossRef] [PubMed]
- ISO 6579; Microbiology of Food and Animal Feeding Stuffs—Horizontal Method for the Detection of Salmonella spp. International Organization for Standardization: Geneva, Switzerland, 2002.
- Cetin, E.; Temelli, S.; Eyigor, A. Salmonella prevalence and serovar distribution in healthy slaughter sheep and cattle determined by ISO 6579 and VIDAS UP Salmonella methods. J. Food Sci. Technol. 2019, 56, 5317–5325. [Google Scholar] [CrossRef] [PubMed]
- Walker, R.; Kinde, H.; Anderson, R.; Brown, A. Comparison of VIDAS enzyme-linked fluorescent immunoassay using Moore swab sampling and conventional culture method for Salmonella detection in bulk tank milk and in-line milk filters in California dairies. Int. J. Food Microbiol. 2001, 67, 123–129. [Google Scholar] [CrossRef]
- Abdelrahman, E.S.A.; Morsy, M.K.; Ibrahim, S.S.; El Touchy, E.I.; Abdelhiee, E.Y.; Elsabagh, R.A. Detection of mutton meat fraud with beef meat as a genetically related species using multiplex PCR and GC/MS/MS. Iraqi J. Vet. Sci. 2023, 37, 643–650. [Google Scholar] [CrossRef]
- Gou, Y.; Han, Y.; Li, J.; Niu, X.; Ma, G.; Xu, Q. Discriminant Analysis of Aroma Differences between Cow Milk Powder and Special Milk Powder (Donkey, Camel, and Horse Milk Powder) in Xinjiang Based on GC-IMS and Multivariate Statistical Methods. Foods 2023, 12, 4036. [Google Scholar] [CrossRef] [PubMed]
- Sebsibe, M.A.; Asfaw, E.T. Occurrence of multi-drug resistant Escherichia coli and Escherichia coli O157: H7 in meat and swab samples of various contact surfaces at abattoir and butcher shops in Jimma town, Southwest district of Ethiopia. Infect. Drug Resist. 2020, 13, 3853–3862. [Google Scholar] [CrossRef]
- Rezaloo, M.; Motalebi, A.; Mashak, Z.; Anvar, A. Prevalence, antimicrobial resistance, and molecular description of Pseudomonas aeruginosa isolated from meat and meat products. J. Food Qual. 2022, 2022, 9899338. [Google Scholar] [CrossRef]
- Zhao, W.; Wang, G.; Xun, W.; Yu, Y.; Ge, C.; Liao, G. Characterisation of volatile flavour compounds in Chinese Chahua chicken meat using a spectroscopy-based non-targeted metabolomics approach. Int. Food Res. J. 2021, 28, 763–779. [Google Scholar] [CrossRef]
- Chen, L.; Liu, R.; Zhu, J.; Wang, L.; Li, H.; Liu, J.; Lu, Z. Widely targeted metabolomics reveal the distribution of primary and secondary metabolites in pomegranate fruit. Food Sci. Nutr. 2024, 12, 6648–6659. [Google Scholar] [CrossRef] [PubMed]
- Zou, C.-S.; Mo, M.-H.; Gu, Y.-Q.; Zhou, J.-P.; Zhang, K.-Q. Possible contributions of volatile-producing bacteria to soil fungistasis. Soil Biol. Biochem. 2007, 39, 2371–2379. [Google Scholar] [CrossRef]
- Lolli, V.; Zanardi, E.; Moloney, A.P.; Caligiani, A. An overview on cyclic fatty acids as biomarkers of quality and authenticity in the meat sector. Foods 2020, 9, 1756. [Google Scholar] [CrossRef]
- Lolli, V.; Zanardi, E.; Marseglia, A.; Palla, G.; Caligiani, A. Cyclopropane Fatty Acids as Quality Markers in Meat. In Proceedings of the 63rd International Congress of Meat Science and Technology, Cork, Ireland, 13–18 August 2017; pp. 478–479. [Google Scholar]
- Chotimah, C.; Saifullah, K.; Laily, F.N.; Puspita, M.; Kombo, K.O.; Hidayat, S.N.; Sulistyani, E.T.; Triyana, K. Electronic Nose-Based Monitoring of Chicken Freshness in Room and Refrigerated Storage. Available online: https://ssrn.com/abstract=4655149 (accessed on 23 September 2024).
- Hameed, I.H.; Mohammad, G. Analysis of Volatile Metabolites Released by Staphylococcus aureus Using Gas Chromatography-Mass Spectrometry. Oriental J. Chem. 2016, 32, 439–444. [Google Scholar] [CrossRef]
- Greenacre, M.; Groenen, P.J.; Hastie, T.; d’Enza, A.I.; Markos, A.; Tuzhilina, E. Principal component analysis. Nat. Rev. Methods Primers 2022, 2, 100. [Google Scholar] [CrossRef]
- Kang, J.; Guo, X.; Peng, H.; Deng, Y.; Lai, J.; Tang, L.; Aoieong, C.; Tou, T.; Tsai, T.; Liu, X. Metabolic implications of amino acid metabolites in chronic kidney disease progression: A metabolomics analysis using OPLS-DA and MBRole2.0 database. Int. Urol. Nephrol. 2024, 56, 1173–1184. [Google Scholar] [CrossRef] [PubMed]
- Rocchetti, G.; Braceschi, G.P.; Odello, L.; Bertuzzi, T.; Trevisan, M.; Lucini, L. Identification of markers of sensory quality in ground coffee: An untargeted metabolomics approach. Metabolomics 2020, 16, 127. [Google Scholar] [CrossRef] [PubMed]
- Mohanapriya, R.; Paranidharan, V.; Karthikeyan, S.; Balachandar, D. Surveillance and source tracking of foodborne pathogens in the vegetable production systems of India. Food Control 2024, 162, 110427. [Google Scholar] [CrossRef]
- Padola, N.L.; Sanz, M.E.; Blanco, J.E.; Blanco, M.; Blanco, J.; Etcheverria, A.A.I.; Arroyo, G.H.; Usera, M.A.; Parma, A.E. Serotypes and virulence genes of bovine Shigatoxigenic Escherichia coli (STEC) isolated from a feedlot in Argentina. Vet. Microbiol. 2004, 100, 3–9. [Google Scholar] [CrossRef] [PubMed]
- Sergeev, N.; Volokhov, D.; Chizhikov, V.; Rasooly, A. Simultaneous analysis of multiple staphylococcal enterotoxin genes by an oligonucleotide microarray assay. J. Clin. Microbiol. 2004, 42, 2134–2143. [Google Scholar] [CrossRef]
- Fratamico, P.M. Comparison of culture, polymerase chain reaction (PCR), TaqMan Salmonella, and Transia Card Salmonella assays for detection of Salmonella spp. in naturally-contaminated ground chicken, ground Turkey, and ground beef. Mol. Cell. Probes 2003, 17, 215–221. [Google Scholar] [CrossRef] [PubMed]






| Samples | Salmonella | Staphylococcus | Pseudomonas | |||||||||
|---|---|---|---|---|---|---|---|---|---|---|---|---|
| Site 1 | Site 2 | Site 3 | Site 4 | Site 1 | Site 2 | Site 3 | Site 4 | Site 1 | Site 2 | Site 3 | Site 4 | |
| Mutton | + | − | − | − | + | − | − | + | − | + | − | + |
| Cutting board swab | + | + | − | + | + | − | + | − | + | − | + | − |
| Hand swab | − | − | − | − | + | − | + | − | − | − | − | − |
| Knife swab | − | − | − | − | − | − | + | − | − | − | − | − |
| Weighing balance swab | − | − | − | − | + | − | − | − | − | − | − | − |
| Tap water | − | − | − | − | − | − | − | − | − | − | − | + |
| Mutton-washed water | + | − | − | + | + | − | − | + | + | − | − | + |
| Isolate | Time | Organism | Probability (%) |
|---|---|---|---|
| 1 | 6.85 | Staph. hyicus | 89 |
| 2 | 5.85 | Staph. chromogenes | 95 |
| 3 | 2.43 | Staph. gallinarum | 99 |
| 4 | 4.62 | Staph. sciuri | 99 |
| 5 | 2.65 | Streptococcus iniae | 87 |
| 6 | 4.85 | Staph. xylosus | 97 |
| 7 | 4.13 | Staph. xylosus | 97 |
| 8 | 5.82 | Staph. xylosus | 97 |
| 9 | 4.82 | Staph. xylosus | 97 |
| 10 | 7.25 | Unidentified | - |
Disclaimer/Publisher’s Note: The statements, opinions and data contained in all publications are solely those of the individual author(s) and contributor(s) and not of MDPI and/or the editor(s). MDPI and/or the editor(s) disclaim responsibility for any injury to people or property resulting from any ideas, methods, instructions or products referred to in the content. |
© 2024 by the authors. Licensee MDPI, Basel, Switzerland. This article is an open access article distributed under the terms and conditions of the Creative Commons Attribution (CC BY) license (https://creativecommons.org/licenses/by/4.0/).
Share and Cite
Muthusamy, G.; Karthikeyan, S.; Arun Giridhari, V.; Alhimaidi, A.R.; Balachandar, D.; Ammari, A.A.; Paranidharan, V.; Maruthamuthu, T. Foodborne Pathogen Prevalence and Biomarker Identification for Microbial Contamination in Mutton Meat. Biology 2024, 13, 1054. https://doi.org/10.3390/biology13121054
Muthusamy G, Karthikeyan S, Arun Giridhari V, Alhimaidi AR, Balachandar D, Ammari AA, Paranidharan V, Maruthamuthu T. Foodborne Pathogen Prevalence and Biomarker Identification for Microbial Contamination in Mutton Meat. Biology. 2024; 13(12):1054. https://doi.org/10.3390/biology13121054
Chicago/Turabian StyleMuthusamy, Gayathri, Subburamu Karthikeyan, Veeranan Arun Giridhari, Ahmad R. Alhimaidi, Dananjeyan Balachandar, Aiman A. Ammari, Vaikuntavasan Paranidharan, and Thirunavukkarasu Maruthamuthu. 2024. "Foodborne Pathogen Prevalence and Biomarker Identification for Microbial Contamination in Mutton Meat" Biology 13, no. 12: 1054. https://doi.org/10.3390/biology13121054
APA StyleMuthusamy, G., Karthikeyan, S., Arun Giridhari, V., Alhimaidi, A. R., Balachandar, D., Ammari, A. A., Paranidharan, V., & Maruthamuthu, T. (2024). Foodborne Pathogen Prevalence and Biomarker Identification for Microbial Contamination in Mutton Meat. Biology, 13(12), 1054. https://doi.org/10.3390/biology13121054

