Transcriptome Responses of the Soil-Dwelling Collembolan (Entomobrya proxima Folsom) to Fertilizer Type and Concentration
Simple Summary
Abstract
1. Introduction
2. Materials and Methods
2.1. Preparation of Collembolans and Feed
2.2. Design of Experiment
2.3. Sample Collection
2.4. Transcriptome Analysis
2.5. Measurement of Antioxidant Enzyme Activities
2.6. Statistical Analysis
3. Results
3.1. Overview of RNA-Seq
3.2. Effects of Fertilizer Exposure Duration, Type and Concentration on Gene Expression Pattern
3.3. Effects of Fertilizer Type on DEGs
3.3.1. DEGs Analysis
3.3.2. GO and KEGG Enrichment Analysis
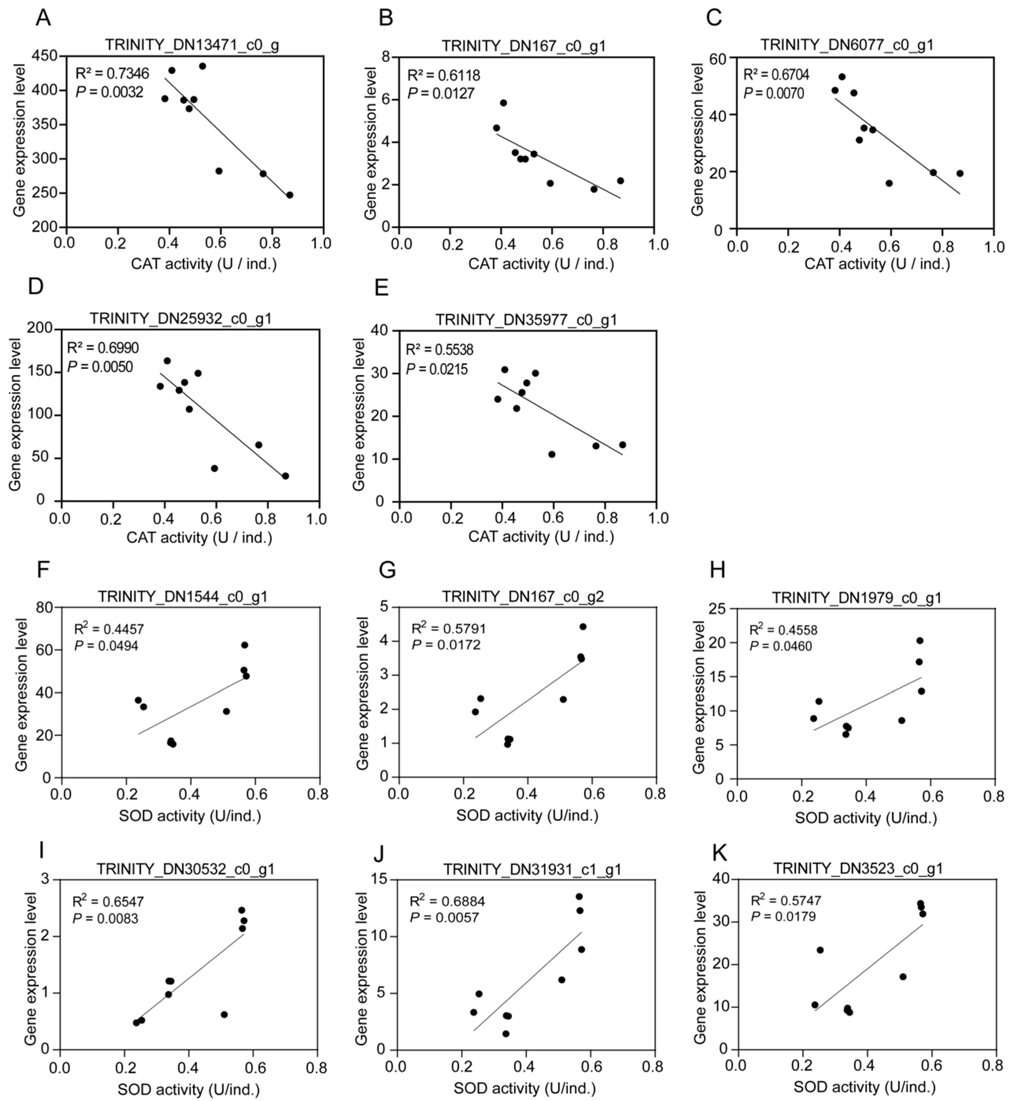
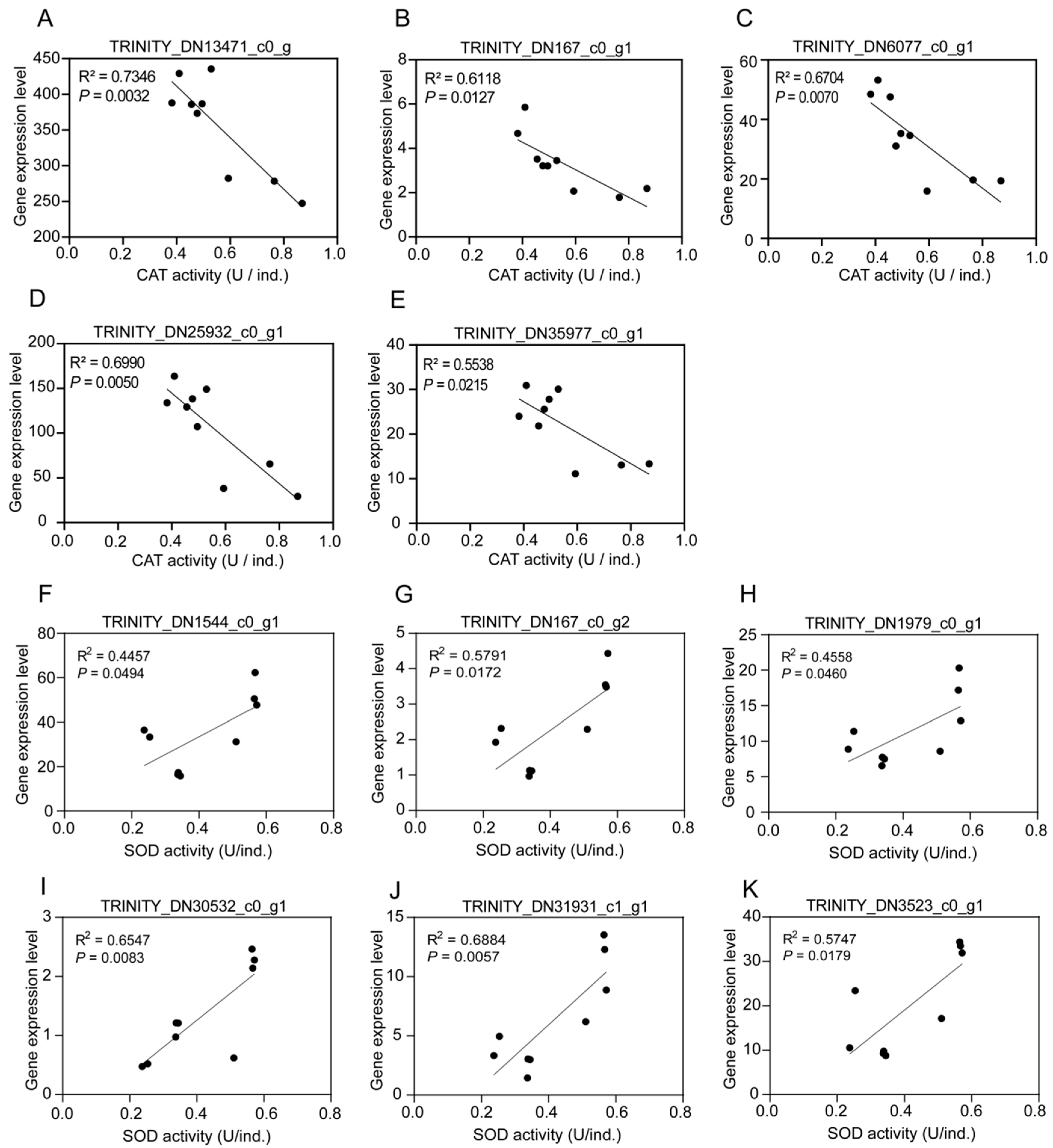
3.4. Changes in Antioxidant Enzymatic Activities Under Inorganic Fertilizer Treatment and Correlations with Common Genes
3.5. Effects of Inorganic Fertilizer Concentrations on DEGs
3.5.1. DEGs Analysis
3.5.2. GO Enrichment Analysis
3.5.3. KEGG Enrichment Analysis
4. Discussion
4.1. Effects of Fertilizer Exposure Duration, Type and Concentration on Gene Expression of E. proxima
4.2. Effects of Fertilizer Type on DEGs and Antioxidant Enzymatic Activities of E. proxima
4.3. Effects of Inorganic Fertilizer Concentration on DEGs of E. proxima
5. Conclusions
Author Contributions
Funding
Institutional Review Board Statement
Informed Consent Statement
Data Availability Statement
Conflicts of Interest
References
- Lavelle, P.; Decaëns, T.; Aubert, M.; Barot, S.; Blouin, M.; Bureau, F.; Margerie, P.; Mora, P.; Rossi, J.P. Soil invertebrates and ecosystem services. Eur. J. Soil Biol. 2006, 42, 3–15. [Google Scholar] [CrossRef]
- Coyle, D.R.; Nagendra, U.J.; Taylor, M.K.; Campbell, J.H.; Cunard, C.E.; Joslin, A.H.; Mundepi, A.; Phillips, C.A.; Callaham, M.A. Soil fauna responses to natural disturbances, invasive species, and global climate change: Current state of the science and a call to action. Soil Biol. Biochem. 2017, 110, 116–133. [Google Scholar] [CrossRef]
- Zhu, D.; An, X.L.; Chen, Q.L.; Yang, X.R.; Christie, P.; Ke, X.; Wu, L.H.; Zhu, Y.G. Antibiotics disturb the microbiome and increase the incidence of resistance genes in the gut of a common soil collembolan. Environ. Sci. Technol. 2018, 52, 3081–3090. [Google Scholar] [CrossRef] [PubMed]
- Pathiraja, D.; Wee, J.; Cho, K.; Choi, I.G. Soil environment reshapes microbiota of laboratory-maintained Collembola during host development. Environ. Microbiome 2022, 17, 16. [Google Scholar] [CrossRef] [PubMed]
- Agamennone, V.; Jakupović, D.; Weedon, J.T.; Suring, W.J.; van Straalen, N.M.; Roelofs, D.; Röling, W.F. The microbiome of Folsomia candida: An assessment of bacterial diversity in a Wolbachia-containing animal. FEMS Microbiol. Ecol. 2015, 91, fiv128. [Google Scholar] [CrossRef]
- Braga, A.P.A.; Gonçalves, M.M.C.; de Souza, C.P.; Marin-Morales, M.A. Evaluation of the ecotoxicological effects of biogenic amines derived from cadaverous putrefaction on springtails Folsomia candida. Environ. Monit. Assess 2023, 195, 1494. [Google Scholar] [CrossRef]
- Ilyaskina, D.; Fernandes, S.; Berg, M.P.; Lamoree, M.H.; van Gestel, C.A.M.; Leonards, P.E.G. Exploring the relationship among lipid profile changes, growth, and reproduction in Folsomia candida exposed to teflubenzuron over time. Environ. Toxic Chem. 2024, 43, 1149–1160. [Google Scholar] [CrossRef]
- Li, S.; Li, Z.; Ke, X.; Wisawapipat, W.; Christie, P.; Wu, L. Cadmium toxicity to and accumulation in a soil collembolan (Folsomia candida): Major factors and prediction using a back-propagation neural network model. Environ. Sci. Pollut. R 2024, 31, 23790–23801. [Google Scholar] [CrossRef]
- Lin, X.; Wang, W.; He, F.; Hou, H.; Guo, F. Molecular level toxicity effects of As(V) on Folsomia candida: Integrated transcriptomics and metabolomics analyses. Sci. Total Environ. 2024, 922, 171409. [Google Scholar] [CrossRef]
- Faddeeva-Vakhrusheva, A.; Kraaijeveld, K.; Derks, M.F.L.; Anvar, S.Y.; Agamennone, V.; Suring, W.; Kampfraath, A.A.; Ellers, J.; Le Ngoc, G.; van Gestel, C.A.M.; et al. Coping with living in the soil: The genome of the parthenogenetic springtail Folsomia candida. BMC Genom. 2017, 18, 493. [Google Scholar] [CrossRef]
- Zhu, D.; Bi, Q.; Xiang, Q.; Chen, Q.L.; Christie, P.; Ke, X.; Wu, L.H.; Zhu, Y. Trophic predator-prey relationships promote transport of microplastics compared with the single Hypoaspis aculeifer and Folsomia candida. Environ. Pollut. 2018, 235, 150–154. [Google Scholar] [CrossRef] [PubMed]
- Zortéa, T.; Segat, J.C.; Maccari, A.P.; Sousa, J.P.; Da Silva, A.S.; Baretta, D. Toxicity of four veterinary pharmaceuticals on the survival and reproduction of Folsomia candida in tropical soils. Chemosphere 2017, 173, 460–465. [Google Scholar] [CrossRef] [PubMed]
- Liang, G. Nitrogen fertilization mitigates global food insecurity by increasing cereal yield and its stability. Glob. Food Sec. 2022, 34, 100652. [Google Scholar] [CrossRef]
- Newbold, T.; Hudson, L.N.; Hill, S.L.; Contu, S.; Lysenko, I.; Senior, R.A.; Börger, L.; Bennett, D.J.; Choimes, A.; Collen, B.; et al. Global effects of land use on local terrestrial biodiversity. Nature 2015, 520, 45–50. [Google Scholar] [CrossRef]
- Zhao, J.; Yu, L.; Newbold, T.; Shen, X.; Liu, X.; Hua, F.; Kanniah, K.; Ma, K. Biodiversity responses to agricultural practices in cropland and natural habitats. Sci. Total Environ. 2024, 922, 171296. [Google Scholar] [CrossRef] [PubMed]
- Guo, Z.; Li, W.; Ul-Islam, M.; Wang, Y.; Zhang, Z.; Peng, X. Nitrogen fertilization degrades soil aggregation by increasing ammonium ions and decreasing biological binding agents on a Vertisol after 12 years. Pedosphere 2022, 32, 629–636. [Google Scholar] [CrossRef]
- Betancur-Corredor, B.; Lang, B.; Russell, D.J. Organic nitrogen fertilization benefits selected soil fauna in global agroecosystems. Biol. Fertil. Soils 2023, 59, 1–16. [Google Scholar] [CrossRef]
- Gardi, C.; Jeffery, S.; Saltelli, A. An estimate of potential threats levels to soil biodiversity in EU. Glob. Chang. Biol. 2013, 19, 1538–1548. [Google Scholar] [CrossRef]
- Huang, X.; Tang, S.; Zeng, M.; Wu, Y.; Liang, J.; Yuan, Y.; Yu, F.; Li, Y. Soil aggregate size mediates the impact of different fertilization patterns on the diazotrophic community of mine soils. Appl. Soil Ecol. 2024, 193, 105173. [Google Scholar] [CrossRef]
- Li, J.; Wang, D.; Fan, W.; He, R.; Yao, Y.; Sun, L.; Zhao, X.; Wu, J. Comparative effects of different organic materials on nematode community in continuous soybean monoculture soil. Appl. Soil Ecol. 2018, 125, 12–17. [Google Scholar] [CrossRef]
- Mahmoud, E.; Ghoneim, A.M.; Seleem, M.; Zuhair, R.; El-Refaey, A.; Khalafallah, N. Phosphogypsum and poultry manure enhance diversity of soil fauna, soil fertility, and barley (Hordeum aestivum L.) grown in calcareous soils. Sci. Rep. 2023, 13, 9944. [Google Scholar] [CrossRef] [PubMed]
- Chai, L.; Yang, Y.; Yang, H.; Zhao, Y.; Wang, H. Transcriptome analysis of genes expressed in the earthworm Eisenia fetida in response to cadmium exposure. Chemosphere 2020, 240, 124902. [Google Scholar] [CrossRef]
- Zhao, J.; Duan, G.; Zhu, Y.; Zhu, D. Gut microbiota and transcriptome response of earthworms (Metaphire guillelmi) to polymyxin B exposure. J. Environ. Sci. 2023, 133, 37–47. [Google Scholar] [CrossRef]
- Qiao, M.; Wang, G.; Zhang, C.; Roelofs, D.; van Straalen, N.M.; Zhu, Y. Transcriptional profiling of the soil invertebrate Folsomia candida in pentachlorophenol-contaminated soil. Environ. Toxicol. Chem. 2015, 34, 1362–1368. [Google Scholar] [CrossRef]
- Fang, K.; Han, L.; Liu, Y.; Fang, J.; Wang, X.; Liu, T. Enantioselective bioaccumulation and detoxification mechanisms of earthworms (Eisenia fetida) exposed to mandipropamid. Sci. Total Environ. 2021, 796, 149051. [Google Scholar] [CrossRef] [PubMed]
- Modesto, K.A.; Martinez, C.B.R. Roundup causes oxidative stress in liver and inhibits acetylcholinesterase in muscle and brain of the fish Prochilodus lineatus. Chemosphere 2010, 78, 294–299. [Google Scholar] [CrossRef]
- Dai, W.; Ke, X.; Li, Z.; Gao, M.; Wu, L.; Christie, P.; Luo, Y. Antioxidant enzyme activities of Folsomia candida and avoidance of soil metal contamination. Environ. Sci. Pollut. Res. 2018, 25, 2889–2898. [Google Scholar] [CrossRef] [PubMed]
- Zheng, Y.; Zhou, K.; Tang, J.; Liu, C.; Bai, J. Impacts of di(2-ethylhexyl) phthalate on Folsomia candida (Collembola) assessed with a multi-biomarker approach. Ecotoxicol. Environ. Saf. 2022, 232, 113251. [Google Scholar] [CrossRef] [PubMed]
- Feng, L.; Chang, L.; Zhang, S.; Zhu, X.; Adl, S.; Wu, D. What is the carcass-usage mode of the collembola? A case study of Entomobrya proxima in the laboratory. Insects 2019, 10, 67. [Google Scholar] [CrossRef]
- Jin, J.; Zhao, Y.; Zhang, G.; Pan, Z.; Zhang, F. The first chromosome-level genome assembly of Entomobrya proxima Folsom, 1924 (Collembola: Entomobryidae). Sci. Data 2023, 10, 541. [Google Scholar] [CrossRef]
- OECD. Guidelines for Testing Chemicals, Section2, Test No.232: Collembolan Reproduction Test in Soil; OECD Publishing: Paris, France, 2016. [Google Scholar]
- Zhu, D.; Zheng, F.; Chen, Q.; Yang, X.; Christie, P.; Ke, X.; Zhu, Y. Exposure of a soil collembolan to Ag nanoparticles and AgNO3 disturbs its associated microbiota and lowers the incidence of antibiotic resistance genes in the gut. Environ. Sci. Technol. 2018, 52, 12748–12756. [Google Scholar] [CrossRef] [PubMed]
- Jomova, K.; Jenisova, Z.; Feszterova, M.; Baros, S.; Liska, J.; Hudecova, D.; Rhodes, C.J.; Valko, M. Arsenic: Toxicity, oxidative stress and human disease. J. Appl. Toxicol. 2011, 31, 95–107. [Google Scholar] [CrossRef]
- Shi, Q.; Xiong, X.; Wen, Z.; Qin, C.; Li, R.; Zhang, Z.; Gong, Q.; Wu, X. Cu/Zn superoxide dismutase and catalase of Yangtze sturgeon, Acipenser dabryanus: Molecular cloning, tissue distribution and response to fasting and refeeding. Fishes 2022, 7, 35. [Google Scholar] [CrossRef]
- Kim, K.Y.; Lee, S.Y.; Cho, Y.S.; Bang, I.C.; Kim, K.H.; Kim, D.S.; Nam, Y.K. Molecular characterization and mRNA expression during metal exposure and thermal stress of copper/zinc- and manganese-superoxide dismutases in disk abalone, Haliotis discus discus. Fish Shellfish Immunol. 2007, 23, 1043–1059. [Google Scholar] [CrossRef]
- Zhao, Y.; Song, M.; Yu, Z.; Pang, L.; Zhang, L.; Karakassis, I.; Dimitriou, P.D.; Yuan, X. Transcriptomic responses of a lightly calcified echinoderm to experimental seawater acidification and warming during early development. Biology 2023, 12, 1520. [Google Scholar] [CrossRef]
- Wang, H.; Zhang, H.; Liu, J.; Ma, Q.; Wu, E.; Gao, J.; Yang, Q.; Feng, B. Trancriptome analysis reveals the mechanism of nitrogen fertilizers in starch synthesis and quality in waxy and non-waxy proso millet. Carbohydr. Polym. 2024, 323, 121372. [Google Scholar] [CrossRef]
- Yue, Y.; Yang, W.S.; Zhang, L.; Liu, C.P.; Xu, R.M. Topography of histone H3-H4 interaction with the Hat1-Hat2 acetyltransferase complex. Genes Dev. 2022, 36, 7–8. [Google Scholar] [CrossRef] [PubMed]
- Xiao, P.; Hu, Z.; Lang, J.; Pan, T.; Mertens, R.T.; Zhang, H.; Guo, K.; Shen, M.; Cheng, H.; Zhang, X.; et al. Mannose metabolism normalizes gut homeostasis by blocking the TNF-α-mediated proinflammatory circuit. Cell Mol. Immunol. 2022, 20, 119–130. [Google Scholar] [CrossRef]
- Gozdz, A. Proteasome inhibitors against glioblastoma—Overview of molecular mechanisms of cytotoxicity, progress in clinical trials, and perspective for use in personalized medicine. Curr. Oncol. 2023, 30, 9676–9688. [Google Scholar] [CrossRef]
- Liu, G.; Li, J.; He, B.; Yan, J.; Zhao, J.; Wang, X.; Zhao, X.; Xu, J.; Wu, Y.; Zhang, S.; et al. Bre1/RNF20 promotes Rad51-mediated strand exchange and antagonizes the Srs2/FBH1 helicases. Nat. Commun. 2023, 14, 3024. [Google Scholar] [CrossRef]
- Zhang, J.; Huang, Y.; Pei, Y.; Wang, Y.; Li, M.; Chen, H.; Liang, X.; Martyniuk, C.J. Biotransformation, metabolic response, and toxicity of UV-234 and UV-326 in larval zebrafish (Danio rerio). Environ. Int. 2023, 174, 107896. [Google Scholar] [CrossRef] [PubMed]
- Hu, P.; Peng, H.; Man, X.; Xing, Z.; Wang, C.; Yu, C.; Xing, J.; Yan, X.; Zhang, H.; Zeng, M.; et al. Transcriptomic analysis and oxidative stress induces by sodium dichloroisocyanurate in the intestine of Phascolosoma esculenta. Comp. Biochem. Physiol. C Toxicol Pharmacol. 2024, 278, 109857. [Google Scholar] [CrossRef] [PubMed]
- Zheng, Y.; Liu, C.; Chen, J.; Tang, J.; Luo, J.; Zou, D.; Tang, Z.; He, J.; Bai, J. Integrated transcriptomic and biochemical characterization of the mechanisms governing stress responses in soil-dwelling invertebrate (Folsomia candida) upon exposure to dibutyl phthalate. J. Hazard. Mater. 2024, 462, 132644. [Google Scholar] [CrossRef] [PubMed]
- Cordero, H.; Morcillo, P.; Martínez, S.; Meseguer, J.; Pérez-Sirvent, C.; Chaves-Pozo, E.; Martínez-Sanchez, M.J.; Cuesta, A.; Esteban, M.A. Inorganic arsenic causes apoptosis cell death and immunotoxicity on European sea bass (Dicentrarchus labrax). Mar. Pollut. Bull. 2018, 128, 324–332. [Google Scholar] [CrossRef] [PubMed]
- Liao, Z.; Chuang, H.; Huang, H.; Wang, P.; Chen, B.; Lee, P.; Wu, Y.S.; Nan, F.H. Bioaccumulation of arsenic and immunotoxic effect in white shrimp (Penaeus vannamei) exposed to trivalent arsenic. Fish Shellfish Immun. 2022, 122, 376–385. [Google Scholar] [CrossRef]
- Lin, X.; Wang, W.; Ma, J.; Sun, Z.; Hou, H.; Zhao, L. Study on molecular level toxicity of Sb(V) to soil springtails: Using a combination of transcriptomics and metabolomics. Sci. Total Environ. 2021, 761, 144097. [Google Scholar] [CrossRef]
- Yan, J.; Horng, T. Lipid metabolism in regulation of macrophage functions. Trends Cell Biol. 2020, 30, 979–989. [Google Scholar] [CrossRef]









| Gene Expression | Duration | Concentration | Duration × Concentration | |||||||||
|---|---|---|---|---|---|---|---|---|---|---|---|---|
| df | p | R2 | F | df | p | R2 | F | df | p | R2 | F | |
| TRINITY_DN1544_c0_g1 | 2 | ˂0.001 | 3070.621 | 82.424 | 2 | 0.323 | 44.922 | 1.206 | 4 | 0.122 | 78.621 | 2.110 |
| TRINITY_DN167_c0_g2 | 2 | ˂0.001 | 17.173 | 13.829 | 2 | 0.764 | 0.340 | 0.274 | 4 | 0.893 | 0.336 | 0.271 |
| TRINITY_DN1979_c0_g1 | 2 | ˂0.001 | 220.651 | 35.371 | 2 | 0.283 | 8.458 | 1.356 | 4 | 0.033 | 20.730 | 3.323 |
| TRINITY_DN30532_c0_g1 | 2 | ˂0.001 | 7.175 | 35.322 | 2 | 0.844 | 0.035 | 0.172 | 4 | 0.884 | 0.058 | 0.284 |
| TRINITY_DN31931_c1_g1 | 2 | ˂0.001 | 199.562 | 43.887 | 2 | 0.128 | 10.483 | 2.305 | 4 | 0.189 | 7.830 | 1.722 |
| TRINITY_DN3523_c0_g1 | 2 | ˂0.001 | 1347.576 | 44.219 | 2 | 0.388 | 30.447 | 0.999 | 4 | 0.210 | 49.687 | 1.630 |
| TRINITY_DN13471_c0_g2 | 2 | ˂0.001 | 51,054.440 | 15.265 | 2 | 0.460 | 2712.385 | 0.811 | 4 | 0.732 | 1690.552 | 0.505 |
| TRINITY_DN167_c0_g1 | 2 | ˂0.001 | 16.050 | 12.760 | 2 | 0.346 | 1.415 | 1.125 | 4 | 0.368 | 1.439 | 1.144 |
| TRINITY_DN25932_c0_g1 | 2 | ˂0.001 | 25,901.322 | 101.637 | 2 | 0.165 | 507.931 | 1.993 | 4 | 0.003 | 1509.255 | 5.922 |
| TRINITY_DN35977_c0_g1 | 2 | ˂0.001 | 615.572 | 43.848 | 2 | 0.432 | 12.361 | 0.880 | 4 | 0.068 | 37.124 | 2.644 |
| TRINITY_DN6077_c0_g1 | 2 | ˂0.001 | 2224.836 | 37.721 | 2 | 0.879 | 7.662 | 0.130 | 4 | 0.800 | 24.134 | 0.409 |
| Enzyme Activity (U/ind.) | Duration | Concentration | Duration × Concentration | |||||||||
|---|---|---|---|---|---|---|---|---|---|---|---|---|
| df | p | R2 | F | df | p | R2 | F | df | p | R2 | F | |
| CAT | 2 | ˂0.001 | 0.430 | 87.963 | 2 | 0.004 | 0.032 | 6.591 | 4 | ˂0.001 | 0.037 | 7.645 |
| SOD | 2 | ˂0.001 | 0.266 | 55.277 | 2 | 0.001 | 0.038 | 7.910 | 4 | ˂0.001 | 0.040 | 8.245 |
| Item | Duration | Concentration | Duration × Concentration | |||||||||
|---|---|---|---|---|---|---|---|---|---|---|---|---|
| df | p | R2 | F | df | p | R2 | F | df | p | R2 | F | |
| DEGs number | 2 | ˂0.001 | 1,9067,320.48 | 27.938 | 2 | 0.854 | 108,775.59 | 0.159 | 4 | 0.944 | 125,415.82 | 0.184 |
Disclaimer/Publisher’s Note: The statements, opinions and data contained in all publications are solely those of the individual author(s) and contributor(s) and not of MDPI and/or the editor(s). MDPI and/or the editor(s) disclaim responsibility for any injury to people or property resulting from any ideas, methods, instructions or products referred to in the content. |
© 2024 by the authors. Licensee MDPI, Basel, Switzerland. This article is an open access article distributed under the terms and conditions of the Creative Commons Attribution (CC BY) license (https://creativecommons.org/licenses/by/4.0/).
Share and Cite
Yang, X.; Li, G.; Xiu, W. Transcriptome Responses of the Soil-Dwelling Collembolan (Entomobrya proxima Folsom) to Fertilizer Type and Concentration. Biology 2024, 13, 950. https://doi.org/10.3390/biology13110950
Yang X, Li G, Xiu W. Transcriptome Responses of the Soil-Dwelling Collembolan (Entomobrya proxima Folsom) to Fertilizer Type and Concentration. Biology. 2024; 13(11):950. https://doi.org/10.3390/biology13110950
Chicago/Turabian StyleYang, Xinyue, Gang Li, and Weiming Xiu. 2024. "Transcriptome Responses of the Soil-Dwelling Collembolan (Entomobrya proxima Folsom) to Fertilizer Type and Concentration" Biology 13, no. 11: 950. https://doi.org/10.3390/biology13110950
APA StyleYang, X., Li, G., & Xiu, W. (2024). Transcriptome Responses of the Soil-Dwelling Collembolan (Entomobrya proxima Folsom) to Fertilizer Type and Concentration. Biology, 13(11), 950. https://doi.org/10.3390/biology13110950

