Identification of Marker Compounds for the Detection of Anthraquinone-Based Reactive Dyes in Foods
Abstract
1. Introduction
1.1. Synthetic Dyes Used in Food
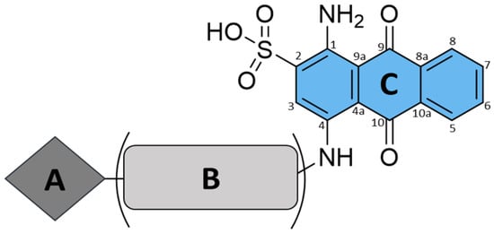
1.2. Reactive Dyes
1.3. Detection of Reactive Dyes
2. Materials and Methods
2.1. Chemicals
2.2. Preparation of Standard Solution of Reactive Dyes
2.3. Synthesis of Cleavage Product Standards
2.3.1. Synthesis of 1-Aminoanthraquinone Sulphonic Acid (AAS)
| Dye Standard (C.I. Name) | Anchor Type | Calculated Ion Mass [M − H]− | Measured Ion Mass [M − H]− | Mol. Formula | Compound Structure (Free Acid) |
|---|---|---|---|---|---|
| Reactive Blue 2 | MCT | 772.00 | 772.0 | C29H20ClN7O11S3 | ![]() |
| Reactive Blue 4 | DCT | 634.96 | 634.8 | C23H14Cl2N6O8S2 | ![]() |
| Reactive Blue 5 | MCT | 772.00 | 771.9 | C29H20ClN7O11S3 | ![]() |
| Reactive Blue 17 | Trichlorodiazine | 747.88 | 747.8 | C24H14Cl3N5O11S3 | ![]() |
| Reactive Blue 19 | VS | 581.00 | 580.9 | C22H18N2O11S3 | ![]() |
| Reactive Blue 27 | VS | 624.99 | 624.8 | C23H18N2O13S3 | ![]() |
| Reactive Blue 29 | Dichloroquinoxaline | 725.99 | (703.9) | C30H19Cl2N5O9S2 | ![]() |
| Reactive Blue 42 | - | - | 667.8 | - | no structure available |
| Reactive Blue 74 | MCT | 687.07 | 731.0 [M − 3H + 2Na]− | C28H25ClN6O9S2 | ![]() |
| Reactive Green 8 | MCT | 1143.98 | 1143.9 | C40H29N11O19S5 | ![]() |
2.3.2. Synthesis of 1,4-Diaminoanthraquinone-2-Sulphonic Acid (DAAS) and Reduction to 1,4-Diaminoanthrahydrochinon-2-Sulphonic Acid (DAHS)
2.4. Food Sample Matrix Preparation
2.5. Reductive Cleavage of Reactive Dyes with Acidic Tin(II)chloride
2.6. Enzymatic Cleavage of Reactive Dyes with Laccase
2.7. Solid Phase Extraction (SPE)
2.8. High-Performance Liquid Chromatography Coupled Mass Spectrometry (LC-ESI-MS/MS)
2.9. Spectroscopic Measurements
3. Identification and Detection Criteria
- The molecular mass and fragmentation pattern of each product, as determined via MS/MS analysis, correlate with the molecular structure of the precursor dye;
- The CPs must not be integral to the anchor structure of the dye to ensure they can be detected when obtained from bound reactive dyes;
- The CPs must not exhibit an identical structure to products derived from approved food colourants or other food constituents to ensure their specific identification;
- The CPs must have at least one weak anionic group, such as a sulphonate or carboxylate group, so that they can be accumulated via anionic exchange SPE.
4. Limit of Detection (LOD)
5. Results and Discussion
5.1. Anthraquinone Dye Acquisition and Characterisation
5.2. Identification of Characteristic CPs in Standard Reaction Solutions
5.3. Application to Matrix-Bound Dyes
5.4. Application on Food Matrices
5.5. LOD of Cleavage Products
6. Conclusions
Supplementary Materials
Author Contributions
Funding
Institutional Review Board Statement
Informed Consent Statement
Data Availability Statement
Acknowledgments
Conflicts of Interest
Appendix A
- 1H-NMR (300 MHz, DMSO)): δ = 9.32 (s, 1H, 1-NH-H), 7.46 (s, 1H, 1-NH-H), 7.16 (s, 1H, 2-SO3H), 8.21 (m, 1H, 8-H), 8.12 (m, 1H, 5-H), 7.93 (d, J = 7.7 Hz, 1H, 3-H), 7.88 (m, 1H, 6-H), 7.83 (m, 1H, 7-H), 7.40 (d, J = 7.7 Hz, 1H, 4-H).
- 13C-NMR (70 MHz, DMSO): δ = 184.0 (C=O), 183.0 (C=O), 148.0 (C-NH2), 138.0 (C-4a), 134.6 (C-6), 134.5 (C-8a), 134.5 (C-10a), 134.3 (C-SO3H), 133.6 (C-7), 132.9 (C-3), 129.7 (C-5), 126.6 (C-8) 114.0 (C-4), 113.0 (C-9a).
- δ = 13.29 (m, 2H, 9-OH; 10-OH), 8.29 (m, 2H, 5-H; 8-H), 7.99 (m, 2H, 6-H; 7-H), 7.66 (s, 1H, 3-H), 7.26 (m, 2-SO3H; 1-NH2; 4-NH2).
- δ = 186.7 (C-10), 186.6 (C-9), 155.7 (C-1), 154.7 (C-4), 145.9 (C-2), 135.1 (C-6), 135.0 (C-7), 133.0 (C-8a; C-9a), 126.8 (C-5), 126.7 (C-8), 126.5 (C-3), 113.5 (C-4a; C-10a).
Appendix B
- : concentration of the measuring solution approx. 3x LOD concentration in µg/mL;
- : purity of RB4 standard (35%);
- : employed mass of RB4 standard in µgl;
- : molecular mass of RB4 and respective cleavage compound (CP) of DAHS;
- : volume of measuring solution.
References
- Martins, N.; Roriz, C.L.; Morales, P.; Barros, L.; Ferreira, I.C.F.R. Food Colorants: Challenges, Opportunities and Current Desires of Agro-Industries to Ensure Consumer Expectations and Regulatory Practices. Trends Food Sci. Technol. 2016, 52, 1–15. [Google Scholar] [CrossRef]
- Spence, C. On the Psychological Impact of Food Colour. Flavour 2015, 4, 21. [Google Scholar] [CrossRef]
- Regulation (EC) No 1333/2008 of the European Parliament and of the Council of 16 December 2008 on Food Additives. Available online: https://eur-lex.europa.eu/legal-content/EN/TXT/HTML/?uri=CELEX:02008R1333-20241028#anx_I (accessed on 13 December 2024).
- Ramos-Souza, C.; Bandoni, D.H.; Bragotto, A.P.A.; De Rosso, V.V. Risk Assessment of Azo Dyes as Food Additives: Revision and Discussion of Data Gaps toward Their Improvement. Compr. Rev. Food Sci. Food Saf. 2023, 22, 380–407. [Google Scholar] [CrossRef] [PubMed]
- Silva, M.M.; Reboredo, F.H.; Lidon, F.C. Food Colour Additives: A Synoptical Overview on Their Chemical Properties, Applications in Food Products, and Health Side Effects. Foods 2022, 11, 379. [Google Scholar] [CrossRef]
- EFSA. Opinion of the Scientific Panel on Food Additives, Flavourings, Processing Aids and Materials in Contact with Food (AFC) to Review the Toxicology of a Number of Dyes Illegally Present in Food in the EU. EFSA J. 2005, 3, 263. [Google Scholar] [CrossRef]
- Amchova, P.; Kotolova, H.; Ruda-Kucerova, J. Health Safety Issues of Synthetic Food Colorants. Regul. Toxicol. Pharmacol. 2015, 73, 914–922. [Google Scholar] [CrossRef]
- McCann, D.; Barrett, A.; Cooper, A.; Crumpler, D.; Dalen, L.; Grimshaw, K.; Kitchin, E.; Lok, K.; Porteous, L.; Prince, E.; et al. Food Additives and Hyperactive Behaviour in 3-Year-Old and 8/9-Year-Old Children in the Community: A Randomised, Double-Blinded, Placebo-Controlled Trial. Lancet 2007, 370, 1560–1567. [Google Scholar] [CrossRef]
- Lehto, S.; Buchweitz, M.; Klimm, A.; Straßburger, R.; Bechtold, C.; Ulberth, F. Comparison of Food Colour Regulations in the EU and the US: A Review of Current Provisions. Food Addit. Contam. Part A 2017, 34, 335–355. [Google Scholar] [CrossRef] [PubMed]
- Commission Regulation (EU) No 231/2012 of 9 March 2012 Laying down Specifications for Food Additives Listed in Annexes II and III to Regulation (EC) No 1333/2008 of the European Parliament and of the Council. Available online: http://data.europa.eu/eli/reg/2012/231/2024-10-27 (accessed on 13 December 2024).
- Yamjala, K.; Nainar, M.S.; Ramisetti, N.R. Methods for the Analysis of Azo Dyes Employed in Food Industry—A Review. Food Chem. 2016, 192, 813–824. [Google Scholar] [CrossRef] [PubMed]
- European Commission. RASFF Window—Search. Search Period: 1 January 2020–1 October 2024. Available online: https://webgate.ec.europa.eu/rasff-window/screen/search (accessed on 1 November 2024).
- Sciuto, S.; Esposito, G.; Dell’Atti, L.; Guglielmetti, C.; Acutis, P.L.; Martucci, F. Rapid Screening Technique To Identify Sudan Dyes (I to IV) in Adulterated Tomato Sauce, Chilli Powder, and Palm Oil by Innovative High-Resolution Mass Spectrometry. J. Food Prot. 2017, 80, 640–644. [Google Scholar] [CrossRef]
- Commission Implementing Regulation (EU) 2019/1793 of 22 October 2019 on the Temporary Increase of Official Controls and Emergency Measures Governing the Entry into the Union of Certain Goods from Certain Third Countries Implementing Regulations (EU) 2017/. Available online: https://eur-lex.europa.eu/eli/reg_impl/2019/1793/oj (accessed on 13 December 2024).
- Müller-Maatsch, J.; Schweiggert, R.M.; Carle, R. Adulteration of Anthocyanin- and Betalain-Based Coloring Foodstuffs with the Textile Dye ‘Reactive Red 195’ and Its Detection by Spectrophotometric, Chromatic and HPLC-PDA-MS/MS Analyses. Food Control 2016, 70, 333–338. [Google Scholar] [CrossRef]
- Januschewski, E.; Bischof, G.; Thanh, B.N.; Bergmann, P.; Jerz, G.; Winterhalter, P.; Heinz, V.; Juadjur, A. Rapid UV/Vis Spectroscopic Dye Authentication Assay for the Determination and Classification of Reactive Dyes, Monascus Pigments, and Natural Dyes in Coloring Foodstuff. J. Agric. Food Chem. 2020, 68, 11839–11845. [Google Scholar] [CrossRef] [PubMed]
- Zollinger, H. Chemismus Der Reaktivfarbstoffe. Angew. Chem. 1961, 73, 125–136. [Google Scholar] [CrossRef]
- Shan, B.; Xiong, W.; Zhang, S. Dyeing Method and Properties of a Novel Blue Azo-Anthraquinone Reactive Dye on Cotton. Molecules 2019, 24, 1334. [Google Scholar] [CrossRef] [PubMed]
- Sarwar, A.; Jabbar, A.; Riaz, S.; Malik, M.I. Sustainable Dyeing of Chemically Modified Cotton Fabric with Reactive Dyes in Acidic Condition. Cellulose 2024, 31, 4025–4041. [Google Scholar] [CrossRef]
- Xiao, H.; Zhao, T.; Li, C.-H.; Li, M.-Y. Eco-Friendly Approaches for Dyeing Multiple Type of Fabrics with Cationic Reactive Dyes. J. Clean. Prod. 2017, 165, 1499–1507. [Google Scholar] [CrossRef]
- Lewis, D.M.; Vo, L.T.T. Dyeing Cotton with Reactive Dyes under Neutral Conditions. Color. Technol. 2007, 123, 306–311. [Google Scholar] [CrossRef]
- Leme, D.M.; de Oliveira, G.A.R.; Meireles, G.; Brito, L.B.; Rodrigues, L.d.B.; Palma de Oliveira, D. Eco- and Genotoxicological Assessments of Two Reactive Textile Dyes. J. Toxicol. Environ. Health Part A 2015, 78, 287–300. [Google Scholar] [CrossRef]
- Osma, J.F.; Toca-Herrera, J.L.; Rodríguez-Couto, S. Transformation Pathway of Remazol Brilliant Blue R by Immobilised Laccase. Bioresour. Technol. 2010, 101, 8509–8514. [Google Scholar] [CrossRef]
- Alam, R.; Ardiati, F.C.; Solihat, N.N.; Alam, M.B.; Lee, S.H.; Yanto, D.H.Y.; Watanabe, T.; Kim, S. Biodegradation and Metabolic Pathway of Anthraquinone Dyes by Trametes Hirsuta D7 Immobilized in Light Expanded Clay Aggregate and Cytotoxicity Assessment. J. Hazard. Mater. 2021, 405, 124176. [Google Scholar] [CrossRef] [PubMed]
- Chaudhari, A.U.; Paul, D.; Dhotre, D.; Kodam, K.M. Effective Biotransformation and Detoxification of Anthraquinone Dye Reactive Blue 4 by Using Aerobic Bacterial Granules. Water Res. 2017, 122, 603–613. [Google Scholar] [CrossRef] [PubMed]
- Husain, Q. Remediation of Phenolic Compounds from Polluted Water by Immobilized Peroxidases. In Emerging and Eco-Friendly Approaches for Waste Management; Springer: Singapore, 2018; pp. 329–358. [Google Scholar] [CrossRef]
- Silva, E.Z.M.; Sehr, A.; Grummt, T.; de Oliveira, D.P.; Leme, D.M. The Evaluation of Reactive Textile Dyes Regarding Their Potential to Cause Organ-Specific Cyto- and Geno-Toxicity. Ecotoxicol. Environ. Contam. 2022, 17, 60–66. [Google Scholar] [CrossRef]
- Møller, P.; Wallin, H. Genotoxic Hazards of Azo Pigments and Other Colorants Related to 1-Phenylazo-2-Hydroxynaphthalene. Mutat. Res. Mutat. Res. 2000, 462, 13–30. [Google Scholar] [CrossRef] [PubMed]
- Novotný, Č.; Dias, N.; Kapanen, A.; Malachová, K.; Vándrovcová, M.; Itävaara, M.; Lima, N. Comparative Use of Bacterial, Algal and Protozoan Tests to Study Toxicity of Azo- and Anthraquinone Dyes. Chemosphere 2006, 63, 1436–1442. [Google Scholar] [CrossRef]
- Zhu, Y.; Wu, Y.; Zhou, C.; Zhao, B.; Yun, W.; Huang, S.; Tao, P.; Tu, D.; Chen, S. A Screening Method of Oil-Soluble Synthetic Dyes in Chilli Products Based on Multi-Wavelength Chromatographic Fingerprints Comparison. Food Chem. 2016, 192, 441–451. [Google Scholar] [CrossRef] [PubMed]
- Périat, A.; Bieri, S.; Mottier, N. SWATH-MS Screening Strategy for the Determination of Food Dyes in Spices by UHPLC-HRMS. Food Chem. X 2019, 1, 100009. [Google Scholar] [CrossRef] [PubMed]
- Brazeau, J. Identification and Quantitation of Water-Soluble Synthetic Colors in Foods by Liquid Chromatography/Ultraviolet–Visible Method Development and Validation. ACS Omega 2018, 3, 6577–6586. [Google Scholar] [CrossRef] [PubMed]
- Bonan, S.; Fedrizzi, G.; Menotta, S.; Elisabetta, C. Simultaneous Determination of Synthetic Dyes in Foodstuffs and Beverages by High-Performance Liquid Chromatography Coupled with Diode-Array Detector. Dye. Pigment. 2013, 99, 36–40. [Google Scholar] [CrossRef]
- Lepri, L.; Desideri, P.G.; Coas, V. Separation and Identification of Water-Soluble Food Dyes by Ion-Exchange and Soap Thin-Layer Chromatography. J. Chromatogr. A 1978, 161, 279–286. [Google Scholar] [CrossRef]
- Hoodless, R.A.; Pitman, K.G.; Stewart, T.E.; Thomson, J.; Arnold, J.E. Separation and Identification of Food Colours. I. Identification of Synthetic Water Soluble Food Colours Using Thin-Layer Chromatography. J. Chromatogr. 1971, 54, 393–404. [Google Scholar] [CrossRef] [PubMed]
- Yoshioka, N.; Ichihashi, K. Determination of 40 Synthetic Food Colors in Drinks and Candies by High-Performance Liquid Chromatography Using a Short Column with Photodiode Array Detection. Talanta 2008, 74, 1408–1413. [Google Scholar] [CrossRef] [PubMed]
- Ji, C.; Feng, F.; Chen, Z.; Chu, X. Highly Sensitive Determination of 10 Dyes in Food with Complex Matrices Using SPE Followed by UPLC-DAD-Tandem Mass Spectrometry. J. Liq. Chromatogr. Relat. Technol. 2011, 34, 93–105. [Google Scholar] [CrossRef]
- Dossi, N.; Toniolo, R.; Pizzariello, A.; Susmel, S.; Perennes, F.; Bontempelli, G. A Capillary Electrophoresis Microsystem for the Rapid In-Channel Amperometric Detection of Synthetic Dyes in Food. J. Electroanal. Chem. 2007, 601, 1–7. [Google Scholar] [CrossRef]
- Domínguez-Rodríguez, G.; Montero, L.; Herrero, M.; Cifuentes, A.; Castro-Puyana, M. Capillary Electromigration Methods for Food Analysis and Foodomics: Advances and Applications in the Period March 2021 to March 2023. Electrophoresis 2024, 45, 8–34. [Google Scholar] [CrossRef] [PubMed]
- Lehmann, G.; Hahn, H.-G.; Collet, P.; Seiffert-Eistert, B. Beiträge Zur Analytik von Farbstoffen. Z. Lebensm. Unters. Forsch. 1970, 143, 256–263. [Google Scholar] [CrossRef]
- Gilhooley, R.A.; Hoodless, R.A.; Pitman, K.G.; Thomson, J. Separation and Identification of Food Colours. J. Chromatogr. A 1972, 72, 325–331. [Google Scholar] [CrossRef] [PubMed]
- Śmigiel-Kamińska, D.; Kumirska, J.; Wąs-Gubała, J.; Stepnowski, P. The Identification of Cotton Fibers Dyed with Reactive Dyes for Forensic Purposes. Molecules 2020, 25, 5435. [Google Scholar] [CrossRef] [PubMed]
- Sultana, N.; Williams, K.; Ankeny, M.; Vinueza, N.R. Degradation Studies of CI Reactive Blue 19 on Biodegraded Cellulosic Fabrics via Liquid Chromatography-photodiode Array Detection Coupled to High Resolution Mass Spectrometry. Color. Technol. 2019, 135, 475–483. [Google Scholar] [CrossRef]
- Lu, Z.; Xu, J.; Xu, Z.; Zhong, Y.; Mao, Z.; Meng, W. Study of Reactive Dyes and Their Hydrolyzed Forms in a Real Trichromatic Dyeing Process by Capillary Electrophoresis with UV Detection. Anal. Sci. 2024, 40, 1641–1651. [Google Scholar] [CrossRef] [PubMed]
- Dockery, C.R.; Stefan, A.R.; Nieuwland, A.A.; Roberson, S.N.; Baguley, B.M.; Hendrix, J.E.; Morgan, S.L. Automated Extraction of Direct, Reactive, and Vat Dyes from Cellulosic Fibers for Forensic Analysis by Capillary Electrophoresis. Anal. Bioanal. Chem. 2009, 394, 2095–2103. [Google Scholar] [CrossRef]
- Sirén, H.; Sulkava, R. Determination of Black Dyes from Cotton and Wool Fibres by Capillary Zone Electrophoresis with UV Detection: Application of Marker Technique. J. Chromatogr. A 1995, 717, 149–155. [Google Scholar] [CrossRef]
- Carey, A.; Rodewijk, N.; Xu, X.; van der Weerd, J. Identification of Dyes on Single Textile Fibers by HPLC-DAD-MS. Anal. Chem. 2013, 85, 11335–11343. [Google Scholar] [CrossRef] [PubMed]
- Rendle, D.F.; Crabtree, S.R.; Wiggins, K.G.; Salter, M.T. Cellulase Digestion of Cotton Dyed with Reactive Dyes and Analysis of the Products by Thin Layer Chromatography. J. Soc. Dye. Colour. 1994, 110, 338–341. [Google Scholar] [CrossRef]
- Januschewski, E.; Thanh, B.N.; Bischof, G.; Jerz, G.; Winterhalter, P.; Heinz, V.; Juadjur, A. Textilfarbstoffe in Lebensmitteln—Methoden Zum Nachweis Einer Unerlaubten Färbung Mit Reaktivfarbstoffen. Dtsch. Lebensm. Rundsch. 2021, 117, 113–120. [Google Scholar]
- Voyksner, R.D.; Straub, R.; Keever, J.T.; Freeman, H.S.; Hsu, W.N. Determination of Aromatic Amines Originating from Azo Dyes by Chemical Reduction Combined with Liquid Chromatography/Mass Spectrometry. Environ. Sci. Technol. 1993, 27, 1665–1672. [Google Scholar] [CrossRef]
- Pereira, L.; Coelho, A.V.; Viegas, C.A.; Ganachaud, C.; Iacazio, G.; Tron, T.; Robalo, M.P.; Martins, L.O. On the Mechanism of Biotransformation of the Anthraquinonic Dye Acid Blue 62 by Laccases. Adv. Synth. Catal. 2009, 351, 1857–1865. [Google Scholar] [CrossRef]
- Guo, M.; Lu, F.; Liu, M.; Li, T.; Pu, J.; Wang, N.; Liang, P.; Zhang, C. Purification of Recombinant Laccase from Trametes Versicolor in Pichia Methanolica and Its Use for the Decolorization of Anthraquinone Dye. Biotechnol. Lett. 2008, 30, 2091–2096. [Google Scholar] [CrossRef] [PubMed]
- Janusz, G.; Pawlik, A.; Świderska-Burek, U.; Polak, J.; Sulej, J.; Jarosz-Wilkołazka, A.; Paszczyński, A. Laccase Properties, Physiological Functions, and Evolution. Int. J. Mol. Sci. 2020, 21, 966. [Google Scholar] [CrossRef] [PubMed]
- Peralta-Zamora, P.; Pereira, C.M.; Tiburtius, E.R.; Moraes, S.G.; Rosa, M.A.; Minussi, R.C.; Durán, N. Decolorization of Reactive Dyes by Immobilized Laccase. Appl. Catal. B Environ. 2003, 42, 131–144. [Google Scholar] [CrossRef]
- Zhao, J.; Xu, L.; Wu, H. Process for Preparing Sodium 1-Amino-4-Bromoanthraquinone-2-Sulfonate. CN106083660. 2016. Available online: https://scifinder-n.cas.org/searchDetail/reference/678fb19c4ffe954bd9555ac6/referenceDetails (accessed on 20 January 2025).
- National Center for Biotechnology Information. PubChem Compound Summary for CID 656725, Reactive Blue 2; CID 25863, Procion Blue MX-R; CID 85599, Reactive Blue 5; CID 17410; CID 57574068 and CID 6337269. Available online: https://pubchem.ncbi.nlm.nih.gov (accessed on 1 December 2024).
- Ebner, G.; Schelz, D. Textilfärberei Und Farbstoffe; Springer: Berlin/Heidelberg, Germany, 1989. [Google Scholar] [CrossRef]
- Dehghani, M.H.; Naghizadeh, A.; Rashidi, A.; Derakhshani, E. Adsorption of Reactive Blue 29 Dye from Aqueous Solution by Multiwall Carbon Nanotubes. Desalin. Water Treat. 2013, 51, 7655–7662. [Google Scholar] [CrossRef]
- Li, M.; Chen, Y. Analysis of Sulfonated Anthraquinone Dyes by Electrospray Ionization Quadrupole Time-of-Flight Tandem Mass Spectrometry. J. Text. Sci. Eng. 2015, 6, 1–5. [Google Scholar] [CrossRef]



| Cleavage Method | Cleavage Product | Reactive Dye | Detected Ion m/z | Detected Fragmentation Ion m/z | Retention Time | Peak Intensity |
|---|---|---|---|---|---|---|
| SnCl2/HCl | DAHS | RB2 | 318.7 | 254.7 | 34.8 | 2.10 × 107 |
| RB4 | 318.8 | 254.7 | 34.5 | 3.10 × 107 | ||
| RB5 | 318.8 | 254.7 | 34.9 | 1.90 × 107 | ||
| RB17 | 318.8 | 254.7 | 34.8 | 1.80 × 107 | ||
| RB19 | 318.8 | 254.7 | 34.8 | 1.60 × 107 | ||
| RB27 | 318.8 | 254.7 | 34.7 | 2.30 × 107 | ||
| RB29 | 318.8 | 254.7 | 34.9 | 2.00 × 107 | ||
| RB42 | 318.8 | 254.7 | 34.7 | 2.70 × 107 | ||
| RB74 | 318.8 | 254.7 | 34.8 | 2.40 × 107 | ||
| RG8 | 318.8 | 254.7 | 34.4 | 3.50 × 107 | ||
| AAS | RB2 | 301.7 | 237.7 | 37.0 | 7.00 × 106 | |
| RB4 | 301.8 | 237.7 | 36.6 | 1.90 × 107 | ||
| RB5 | 301.7 | 237.7 | 36.8 | 1.50 × 107 | ||
| RB17 | 301.8 | 237.7 | 36.9 | 1.30 × 107 | ||
| RB19 | 301.8 | 237.7 | 36.7 | 1.60 × 107 | ||
| RB27 | 301.7 | 237.7 | 36.9 | 1.20 × 107 | ||
| RB29 | 301.8 | 237.7 | 37.0 | 1.00 × 107 | ||
| RB42 | 301.8 | 237.7 | 36.9 | 1.00 × 107 | ||
| RB74 | 301.8 | 237.7 | 36.9 | 1.30 × 107 | ||
| RG8 | 301.8 | 237.7 | 36.9 | 7.00 × 106 | ||
| Laccase | DAHS | RB2 | n.d. | |||
| RB4 | n.d. | |||||
| RB5 | 318.8 | 254.7 | 35.2 | 4.00 × 105 | ||
| RB17 | 318.9 | 254.7 | 35.0 | 4.00 × 105 | ||
| RB19 | 318.8 | 254.7 | 35.0 | 8.00 × 106 | ||
| RB27 | 301.8 | 254.7 | 35.0 | 8.00 × 106 | ||
| RB29 | n.d. | |||||
| RB42 | 318.8 | 254.7 | 35.0 | 2.00 × 106 | ||
| RB74 | 318.8 | 254.7 | 35.1 | 7.00 × 106 | ||
| RG8 | 318.8 | 254.7 | 35.0 | 1.00 × 107 | ||
| AAS | RB2 | 301.8 | 237.7 | 36.9 | 7.00 × 106 | |
| RB4 | 301.8 | 237.7 | 36.6 | 1.60 × 107 | ||
| RB5 | 301.8 | 237.7 | 36.9 | 1.50 × 107 | ||
| RB17 | 301.7 | 237.7 | 38.8 | 1.00 × 107 | ||
| RB19 | 301.8 | 237.7 | 36.8 | 1.00 × 107 | ||
| RB27 | 301.8 | 237.7 | 36.9 | 1.20 × 107 | ||
| RB29 | 301.8 | 237.7 | 36.8 | 1.00 × 107 | ||
| RB42 | 301.8 | 237.7 | 37.0 | 1.00 × 107 | ||
| RB74 | 301.8 | 237.7 | 36.9 | 1.40 × 107 | ||
| RG8 | 301.8 | 237.7 | 36.9 | 5.00 × 106 |
| Cleavage Method | Cleavage Product | Reactive Dye | Detected | Detected Fragmentation Ion m/z | Retention Time [min] | Peak Intensity [Counts] |
|---|---|---|---|---|---|---|
| on Matrix | m/z [M − H]− | |||||
| SnCl2/HCl | DAHS | RB2 | 318.7 | 254.7 | 34.6 | 2.30 × 107 |
| RB4 | 318.7 | 254.6 | 34.7 | 1.90 × 107 | ||
| RB5 | 318.7 | 254.7 | 34.8 | 1.90 × 107 | ||
| RB17 | 318.7 | 254.7 | 35.0 | 1.60 × 107 | ||
| RB19 | 318.7 | 254.7 | 34.8 | 1.90 × 107 | ||
| RB27 | 318.8 | 254.7 | 34.8 | 1.70 × 107 | ||
| RB29 | 318.8 | 254.7 | 34.8 | 1.80 × 107 | ||
| RB42 | 318.7 | 254.7 | 34.8 | 1.90 × 107 | ||
| RB74 | 318.7 | 254.7 | 34.4 | 2.60 × 107 | ||
| AAS | RG8 | 318.7 | 254.6 | 34.7 | 2.00 × 107 | |
| RB2 | 301.7 | 237.7 | 36.9 | 7.00 × 106 | ||
| RB4 | 301.8 | 237.6 | 36.9 | 5.00 × 106 | ||
| RB5 | 301.7 | 237.6 | 36.9 | 7.00 × 106 | ||
| RB17 | 301.7 | 237.7 | 36.8 | 1.10 × 107 | ||
| RB19 | 301.7 | 237.7 | 36.8 | 1.00 × 107 | ||
| RB27 | 301.7 | 237.7 | 36.8 | 1.10 × 107 | ||
| RB29 | n.d. | |||||
| RB42 | 301.8 | 237.6 | 36.8 | 1.00 × 106 | ||
| RB74 | n.d. | |||||
| RG8 | 301.7 | 237.6 | 36.7 | 6.00 × 106 | ||
| Laccase | DAHS | RB2 | 318.8 | 254.7 | 35.0 | 3.00 × 106 |
| RB4 | 318.8 | 254.7 | 35.1 | 3.00 × 106 | ||
| RB5 | 318.8 | 254.7 | 35.1 | 2.00 × 106 | ||
| RB17 | 318.7 | 254.7 | 34.9 | 1.60 × 107 | ||
| RB19 | 318.8 | 254.7 | 35.1 | 5.00 × 105 | ||
| RB27 | 318.8 | 254.7 | 35.1 | 1.00 × 106 | ||
| RB29 | 318.8 | 254.7 | 35.0 | 8.00 × 106 | ||
| RB42 | 318.8 | 254.7 | 35.1 | 6.00 × 106 | ||
| RB74 | 318.8 | 254.7 | 35.1 | 4.00 × 106 | ||
| RG8 | 318.8 | 254.7 | 35.2 | 4.00 × 106 | ||
| AAS | RB2 | 301.8 | 237.7 | 36.8 | 1.00 × 106 | |
| RB4 | n.d. | |||||
| RB5 | n.d. | |||||
| RB17 | 301.8 | 237.7 | 36.8 | 1.10 × 107 | ||
| RB19 | 301.7 | 237.7 | 36.9 | 7.00 × 105 | ||
| RB27 | n.d. | |||||
| RB29 | n.d. | |||||
| RB42 | n.d. | |||||
| RB74 | n.d. | |||||
| RG8 | n.d. |
Disclaimer/Publisher’s Note: The statements, opinions and data contained in all publications are solely those of the individual author(s) and contributor(s) and not of MDPI and/or the editor(s). MDPI and/or the editor(s) disclaim responsibility for any injury to people or property resulting from any ideas, methods, instructions or products referred to in the content. |
© 2025 by the authors. Licensee MDPI, Basel, Switzerland. This article is an open access article distributed under the terms and conditions of the Creative Commons Attribution (CC BY) license (https://creativecommons.org/licenses/by/4.0/).
Share and Cite
Küchner, L.; Nguyen Thanh, B.; Diers, L.; Tautz, C.; Jerz, G.; Winterhalter, P. Identification of Marker Compounds for the Detection of Anthraquinone-Based Reactive Dyes in Foods. Colorants 2025, 4, 6. https://doi.org/10.3390/colorants4010006
Küchner L, Nguyen Thanh B, Diers L, Tautz C, Jerz G, Winterhalter P. Identification of Marker Compounds for the Detection of Anthraquinone-Based Reactive Dyes in Foods. Colorants. 2025; 4(1):6. https://doi.org/10.3390/colorants4010006
Chicago/Turabian StyleKüchner, Laurenz, Binh Nguyen Thanh, Lina Diers, Chantal Tautz, Gerold Jerz, and Peter Winterhalter. 2025. "Identification of Marker Compounds for the Detection of Anthraquinone-Based Reactive Dyes in Foods" Colorants 4, no. 1: 6. https://doi.org/10.3390/colorants4010006
APA StyleKüchner, L., Nguyen Thanh, B., Diers, L., Tautz, C., Jerz, G., & Winterhalter, P. (2025). Identification of Marker Compounds for the Detection of Anthraquinone-Based Reactive Dyes in Foods. Colorants, 4(1), 6. https://doi.org/10.3390/colorants4010006










