N-Phenylphenothiazine Radical Cation with Extended π-Systems: Enhanced Heat Resistance of Triarylamine Radical Cations as Near-Infrared Absorbing Dyes
Abstract
1. Introduction
2. Results and Discussion
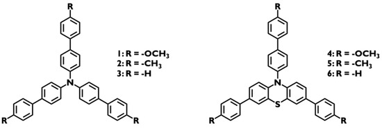
2.1. Syntheses and Crystal Structure
2.2. Solubility
2.3. Electrochemical Properties
2.4. Photophysical Properties
2.5. Isolation of Radical Cation Salts
3. Conclusions
Supplementary Materials
Author Contributions
Funding
Data Availability Statement
Acknowledgments
Conflicts of Interest
References
- Fabian, J.; Nakazumi, H.; Matsuoka, M. Near-infrared absorbing dyes. Chem. Rev. 1992, 92, 1197–1226. [Google Scholar] [CrossRef]
- Meng, D.; Zheng, R.; Zhao, Y.; Zhang, E.; Dou, L.; Yang, Y. Near-Infrared Materials: The Turning Point of Organic Photovoltaics. Adv. Mater. 2022, 34, 202107330. [Google Scholar] [CrossRef] [PubMed]
- Li, C.; Chen, G.; Zhang, Y.; Wu, F.; Wang, Q. Advanced fluorescence imaging technology in the near-infrared-II window for biomedical applications. J. Am. Chem. Soc. 2020, 142, 14789–14804. [Google Scholar] [CrossRef]
- Mu, J.; Xiao, M.; Shi, Y.; Geng, X.; Li, H.; Yin, Y.; Chen, X. The Chemistry of Organic Contrast Agents in the NIR-II Window. Angew. Chem.-Int. Ed. 2022, 61, e202114722. [Google Scholar] [CrossRef]
- Matsumoto, R.; Nagamura, T.; Aratani, N.; Ikeda, T.; Osuka, A. Ultrafast all-optical light modulation in the near infrared region by phase sensitive polymer guided wave mode geometry containing porphyrin tapes. Appl. Phys. Lett. 2009, 94, 253301. [Google Scholar] [CrossRef]
- Clark, J.; Lanzani, G. Organic photonics for communications. Nat. Photonics 2010, 4, 438–446. [Google Scholar] [CrossRef]
- Li, Q.; Guo, Y.; Liu, Y. Exploration of Near-Infrared Organic Photodetectors. Chem. Mater. 2019, 31, 6359–6379. [Google Scholar] [CrossRef]
- Lei, Y.; Dai, W.; Guan, J.; Guo, S.; Ren, F.; Zhou, Y.; Shi, J.; Tong, B.; Cai, Z.; Zheng, J.; et al. Wide-Range Color-Tunable Organic Phosphorescence Materials for Printable and Writable Security Inks. Angew. Chem. 2020, 132, 16188–16194. [Google Scholar] [CrossRef]
- Zhu, S.; Tian, R.; Antaris, A.L.; Chen, X.; Dai, H. Near-Infrared-II Molecular Dyes for Cancer Imaging and Surgery. Adv. Mater. 2019, 31, e1900321. [Google Scholar] [CrossRef]
- Deb, S.K. Optical and photoelectric properties and colour centres in thin films of tungsten oxide. Philos. Mag. 1973, 27, 801–822. [Google Scholar] [CrossRef]
- Lee, S.-H.; Cheong, H.M.; Zhang, J.-G.; Mascarenhas, A.; Benson, D.K.; Deb, S.K. Electrochromic mechanism in a-WO3−y thin films. Appl. Phys. Lett. 1999, 74, 242–244. [Google Scholar] [CrossRef]
- Buga, C.S.; Viana, J.C. A Review on Materials and Technologies for Organic Large-Area Electronics. Adv. Mater. Technol. 2021, 6, 2001016. [Google Scholar] [CrossRef]
- Kant, C.; Shukla, A.; McGregor, S.K.M.; Lo, S.C.; Namdas, E.B.; Katiyar, M. Large area inkjet-printed OLED fabrication with solution-processed TADF ink. Nat. Commun. 2023, 14, 7220. [Google Scholar] [CrossRef]
- Rao, R.S.; Suman; Singh, S.P. Near-Infrared (>1000 nm) Light-Harvesters: Design, Synthesis and Applications. Chem.–A Eur. J. 2020, 26, 16582–16593. [Google Scholar] [CrossRef]
- Sun, Z.; Ye, Q.; Chi, C.; Wu, J. Low band gap polycyclic hydrocarbons: From closed-shell near infrared dyes and semiconductors to open-shell radicals. Chem. Soc. Rev. 2012, 41, 7857–7889. [Google Scholar] [CrossRef]
- Sun, Z.; Wu, J. Higher order acenes and fused acenes with near-infrared absorption and emission. Aust. J. Chem. 2011, 64, 519–528. [Google Scholar] [CrossRef]
- Li, L.; Dong, X.; Li, J.; Wei, J. A short review on NIR-II organic small molecule dyes. Dye. Pigment. 2020, 183, 108756. [Google Scholar] [CrossRef]
- Davydenko, I.G.; Slominskiy, Y.L.; Obernikhina, N.V.; Kachkovsky, A.D.; Tolmachev, A.I. Near Infrared Polyene Radical-Cation Derived from 7,8-Dihydrobenzo[c,d]Furo [2,3-f]Indole: Synthesis, Spectra and Nature of Electron Transitions. ChemistrySelect 2020, 5, 674–681. [Google Scholar] [CrossRef]
- Zhi, L.; Müllen, K. A bottom-up approach from molecular nanographenes to unconventional carbon materials. J. Mater. Chem. 2008, 18, 1472–1484. [Google Scholar] [CrossRef]
- Diev, V.V.; Hanson, K.; Zimmerman, J.D.; Forrest, S.R.; Thompson, M.E. Fused pyrene-diporphyrins: Shifting near-infrared absorption to 1.5 μm and beyond. Angew. Chem.-Int. Ed. 2010, 49, 5523–5526. [Google Scholar] [CrossRef]
- Jiao, C.; Huang, K.W.; Guan, Z.; Xu, Q.H.; Wu, J. N-annulated perylene fused porphyrins with enhanced near-IR absorption and emission. Org. Lett. 2010, 12, 4046–4049. [Google Scholar] [CrossRef] [PubMed]
- Davis, N.K.S.; Thompson, A.L.; Anderson, H.L. Bis-anthracene fused porphyrins: Synthesis, crystal structure, and near-IR absorption. Org. Lett. 2010, 12, 2124–2127. [Google Scholar] [CrossRef] [PubMed]
- Muranaka, A.; Uchiyama, M. Development of phthalocyanine-based functional molecules with tunable optical and chiroptical properties. Bull. Chem. Soc. Jpn. 2021, 94, 872–878. [Google Scholar] [CrossRef]
- Nelson, R.F.; Philp, R.H. Electrochemical and spectroscopic studies of cation radicals. 4. Stopped-flow determination of triarylaminium radical coupling rate constants. J. Phys. Chem. 1979, 83, 713–716. [Google Scholar] [CrossRef]
- Yano, M.; Tamada, K.; Nakai, M.; Mitsudo, K.; Kashiwagi, Y. Near-Infrared Absorbing Molecule Based on Triphenylamine Radical Cation with Extended Homoaryl π-System. Colorants 2022, 1, 226–235. [Google Scholar] [CrossRef]
- Yano, M.; Sasaoka, M.; Tamada, K.; Nakai, M.; Yajima, T.; Mitsudo, K.; Kashiwagi, Y. Substituent Control of Near-Infrared Absorption of Triphenylamine Radical Cation. Colorants 2022, 1, 354–362. [Google Scholar] [CrossRef]
- Yano, M.; Inada, Y.; Hayashi, Y.; Yajima, T.; Mitsudo, K.; Kashiwagi, Y. Photo- and Redox-active Benzofuran-appended Triphenylamine and Near-infrared Absorption of Its Radical Cation. Chem. Lett. 2020, 49, 685–688. [Google Scholar] [CrossRef]
- Yano, M.; Inada, Y.; Hayashi, Y.; Nakai, M.; Mitsudo, K.; Kashiwagi, Y. Near-infrared absorption of a benzothiophene-appended triphenylamine radical cation: A novel molecular design of NIR-II dye. Dye. Pigment. 2022, 197, 109929. [Google Scholar] [CrossRef]
- Yano, M.; Ueda, K.; Shimizu, Y.; Arikata, Y.; Nakai, M.; Yajima, T.; Mitsudo, K.; Kashiwagi, Y. Synthesis and properties of thieno[3,2-b]thiophene appended triarylamine radical cations: Near-infrared absorbing dye with absorption beyond 1400 nm. Dye. Pigment. 2024, 222, 111916. [Google Scholar] [CrossRef]
- Hirai, M.; Tanaka, N.; Sakai, M.; Yamaguchi, S. Structurally Constrained Boron-, Nitrogen-, Silicon-, and Phosphorus-Centered Polycyclic π-Conjugated Systems. Chem. Rev. 2019, 119, 8291–8331. [Google Scholar] [CrossRef]
- Hammer, N.; Schaub, T.A.; Meinhardt, U.; Kivala, M. N-Heterotriangulenes: Fascinating Relatives of Triphenylamine. Chem. Rec. 2015, 15, 1119–1131. [Google Scholar] [CrossRef] [PubMed]
- Grisorio, R.; Roose, B.; Colella, S.; Listorti, A.; Suranna, G.P.; Abate, A. Molecular tailoring of phenothiazine-based hole-transporting materials for high-performing perovskite solar cells. ACS Energy Lett. 2017, 2, 1029–1034. [Google Scholar] [CrossRef]
- Salunke, J.K.; Wong, F.L.; Feron, K.; Manzhos, S.; Lo, M.F.; Shinde, D.; Patil, A.; Lee, C.S.; Roy, V.A.L.; Sonar, P.; et al. Phenothiazine and carbazole substituted pyrene based electroluminescent organic semiconductors for OLED devices. J. Mater. Chem. C 2016, 4, 1009–1018. [Google Scholar] [CrossRef]
- Discekici, E.H.; Treat, N.J.; Poelma, S.O.; Mattson, K.M.; Hudson, Z.M.; Luo, Y.; Hawker, C.J.; De Alaniz, J.R. A highly reducing metal-free photoredox catalyst: Design and application in radical dehalogenations. Chem. Commun. 2015, 51, 11705–11708. [Google Scholar] [CrossRef] [PubMed]
- Li, P.; Deetz, A.M.; Hu, J.; Meyer, G.J.; Hu, K. Chloride Oxidation by One- or Two-Photon Excitation of N-Phenylphenothiazine. J. Am. Chem. Soc. 2022, 144, 17604–17610. [Google Scholar] [CrossRef] [PubMed]
- Pan, X.; Lamson, M.; Yan, J.; Matyjaszewski, K. Photoinduced metal-free atom transfer radical polymerization of acrylonitrile. ACS Macro Lett. 2015, 4, 192–196. [Google Scholar] [CrossRef]
- Li, M.; Li, T.; Gong, C.; Ding, D.; Du, J.; Zhou, X.; Song, Y.; Yang, Y.F.; She, Y.; Jia, J. Phenothiazine-based donor-acceptor covalent-organic frameworks with keto-enol irreversible tautomerism as a promising third-order nonlinear optics material. J. Mater. Chem. C 2023, 11, 13897–13904. [Google Scholar] [CrossRef]
- Inada, H.; Ohnishi, K.; Nomura, S.; Higuchi, A.; Nakano, H.; Shirota, Y. Photo- and electro-active amorphous molecular materials: Morphology, structures, and hole transport properties of tri(biphenyl-4-yl)amine. J. Mater. Chem. 1994, 4, 171. [Google Scholar] [CrossRef]
- Okamoto, T.; Mitsui, C.; Yamagishi, M.; Nakahara, K.; Soeda, J.; Hirose, Y.; Miwa, K.; Sato, H.; Yamano, A.; Matsushita, T.; et al. V-shaped organic semiconductors with solution processability, high mobility, and high thermal durability. Adv. Mater. 2013, 25, 6392–6397. [Google Scholar] [CrossRef]








| Compound | E0 (V vs. Fc/Fc+) |
|---|---|
| 1 | 0.33 |
| 2 | 0.37 |
| 3 | 0.42 |
| 4 | 0.15 |
| 5 | 0.20 |
| 6 | 0.23 |
| Compound | Absorption Spectra | Fluorescence Spectra | |
|---|---|---|---|
| λmax (nm) | log ε | λmax (nm) | |
| 1 | 343 | 4.75 | 412 |
| 2 | 345 | 4.83 | 411 |
| 3 | 344 | 4.78 | 416 |
| 4 | 283 | 5.22 | 456 |
| 5 | 281 | 4.98 | 459 |
| 6 | 282 | 5.07 | 461 |
| Compound | Absorption Spectra | |
|---|---|---|
| λmax (nm) | log ε | |
| 1•+ | 1053 | 4.65 |
| 2•+ | 925 | 4.78 |
| 3•+ | 862 | 4.34 |
| 4•+ | 879 | 4.23 |
| 5•+ | 735 | 4.28 |
| 6•+ | 687 | 4.28 |
Disclaimer/Publisher’s Note: The statements, opinions and data contained in all publications are solely those of the individual author(s) and contributor(s) and not of MDPI and/or the editor(s). MDPI and/or the editor(s) disclaim responsibility for any injury to people or property resulting from any ideas, methods, instructions or products referred to in the content. |
© 2024 by the authors. Licensee MDPI, Basel, Switzerland. This article is an open access article distributed under the terms and conditions of the Creative Commons Attribution (CC BY) license (https://creativecommons.org/licenses/by/4.0/).
Share and Cite
Yano, M.; Ueda, M.; Yajima, T.; Mitsudo, K.; Kashiwagi, Y. N-Phenylphenothiazine Radical Cation with Extended π-Systems: Enhanced Heat Resistance of Triarylamine Radical Cations as Near-Infrared Absorbing Dyes. Colorants 2024, 3, 350-359. https://doi.org/10.3390/colorants3040024
Yano M, Ueda M, Yajima T, Mitsudo K, Kashiwagi Y. N-Phenylphenothiazine Radical Cation with Extended π-Systems: Enhanced Heat Resistance of Triarylamine Radical Cations as Near-Infrared Absorbing Dyes. Colorants. 2024; 3(4):350-359. https://doi.org/10.3390/colorants3040024
Chicago/Turabian StyleYano, Masafumi, Minami Ueda, Tatsuo Yajima, Koichi Mitsudo, and Yukiyasu Kashiwagi. 2024. "N-Phenylphenothiazine Radical Cation with Extended π-Systems: Enhanced Heat Resistance of Triarylamine Radical Cations as Near-Infrared Absorbing Dyes" Colorants 3, no. 4: 350-359. https://doi.org/10.3390/colorants3040024
APA StyleYano, M., Ueda, M., Yajima, T., Mitsudo, K., & Kashiwagi, Y. (2024). N-Phenylphenothiazine Radical Cation with Extended π-Systems: Enhanced Heat Resistance of Triarylamine Radical Cations as Near-Infrared Absorbing Dyes. Colorants, 3(4), 350-359. https://doi.org/10.3390/colorants3040024

