Alternative Sources of Natural Photosensitizers: Role of Algae in Dye-Sensitized Solar Cell
Abstract
1. Introduction
2. Materials and Methods
2.1. Synthetic and Natural Dyes
2.2. Colorants’ Optical Response
2.3. Optical Properties Algae
3. Results
3.1. Electrochemical Characterization of Sensitized Solar Cells Based on Natural Dyes
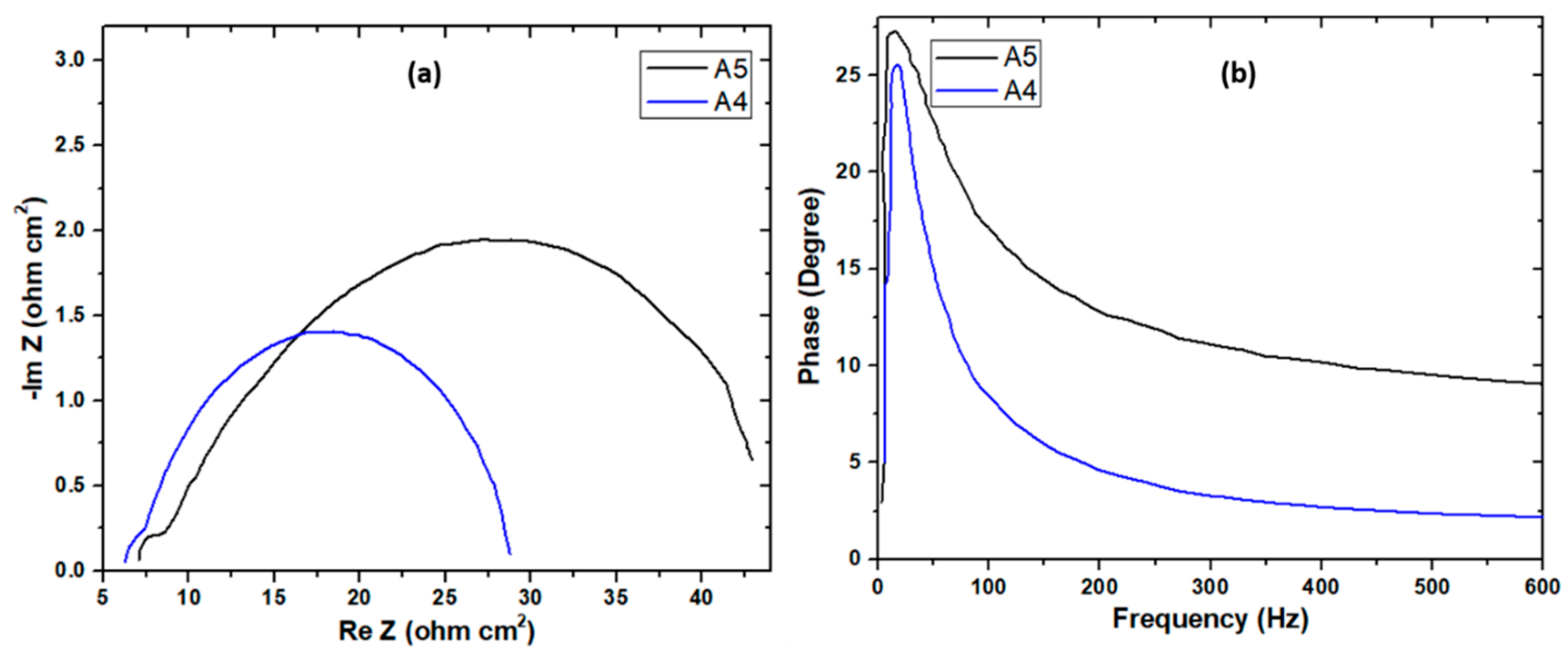
3.2. Electrochemical Impedance Spectroscopy
3.3. Cyclic Voltammetry
4. Discussion
5. Conclusions
Author Contributions
Funding
Institutional Review Board Statement
Informed Consent Statement
Data Availability Statement
Conflicts of Interest
References
- Prabavathy, N.; Shalini, S.; Balasundaraprabhu, R.; Velauthapillai, D.; Prasanna, S.; Muthukumarasamy, N. Enhancement in the Photostability of Natural Dyes for Dye-Sensitized Solar Cell (DSSC) Applications: A Review. Int. J. Energy Res. 2017, 41, 1372–1396. [Google Scholar] [CrossRef]
- Golshan, M.; Osfouri, S.; Azin, R.; Jalali, T.; Moheimani, N.R. Co-Sensitization of Natural and Low-Cost Dyes for Efficient Panchromatic Light-Harvesting Using Dye-Sensitized Solar Cells. J. Photochem. Photobiol. A Chem. 2021, 417, 113345. [Google Scholar] [CrossRef]
- Vinaayak, S.B.; Balasubramani, V.; Shkir, M.; Manthrammel, M.A.; Sreedevi, G. Enhancing the Performance of TiO2 Based N-DSSC Using Dye Extracted from Cladophora Columbiana, Ludwigia Repens and Mixed Sensitizer. Opt. Mater. 2022, 133, 112968. [Google Scholar] [CrossRef]
- Chauhan, R. Scanning Prevalent Technologies to Promote Scalable Devising of DSSCs: An Emphasis on Dye Component Precisely with a Shift to Ambient Algal Dyes. Inorg. Chem. Commun. 2022, 139, 109368. [Google Scholar] [CrossRef]
- Golshan, M.; Osfouri, S.; Azin, R.; Jalali, T.; Moheimani, N.R. Efficiency and Stability Improvement of Natural Dye-Sensitized Solar Cells Using the Electrospun Composite of TiO2 Nanofibres Doped by the Bio-Ca Nanoparticles. Int. J. Energy Res. 2022, 46, 15407–15418. [Google Scholar] [CrossRef]
- Miao, Y.; Wang, X.; Zhang, H.; Zhang, T.; Wei, N.; Liu, X.; Chen, Y.; Chen, J.; Zhao, Y. In Situ Growth of Ultra-Thin Perovskitoid Layer to Stabilize and Passivate MAPbI3 for Efficient and Stable Photovoltaics. eScience 2021, 1, 91–97. [Google Scholar] [CrossRef]
- Wang, M.; Wang, H.; Li, W.; Hu, X.; Sun, K.; Zang, Z. Defect Passivation Using Ultrathin PTAA Layers for Efficient and Stable Perovskite Solar Cells with a High Fill Factor and Eliminated Hysteresis. J. Mater. Chem. A Mater. 2019, 7, 26421–26428. [Google Scholar] [CrossRef]
- Armendáriz-Mireles, E.N.; Pech-Rodríguez, W.J.; Calles-Arriaga, C.A.; Rocha-Rangel, E. Chemical Stability for Humidity Control during the Processing of Solar Cells with Halide Perovskites. Mater. Sci. Semicond. Process. 2020, 112, 105022. [Google Scholar] [CrossRef]
- Wang, S.; Wang, P.; Chen, B.; Li, R.; Ren, N.; Li, Y.; Shi, B.; Huang, Q.; Zhao, Y.; Grätzel, M.; et al. Suppressed Recombination for Monolithic Inorganic Perovskite/Silicon Tandem Solar Cells with an Approximate Efficiency of 23%. eScience 2022, 2, 339–346. [Google Scholar] [CrossRef]
- Maaza, M. Chapter 35: Natural Dyes for Photonics Applications. In Novel Plant Bioresources: Applications in Food, Medicine and Cosmetics; John Wiley & Sons: Hoboken, NJ, USA, 2014; pp. 277–292. [Google Scholar] [CrossRef]
- De Bon, M.; Rodríguez Chialanza, M.; Cerdá, M.F. Fucoxanthin from the Antarctic Himantothallus Grandifollius as a Sensitizer in DSSC. J. Iran. Chem. Soc. 2022, 19, 3627–3636. [Google Scholar] [CrossRef]
- Grätzel, M. Dye-Sensitized Solar Cells. J. Photochem. Photobiol. C Photochem. Rev. 2003, 4, 145–153. [Google Scholar] [CrossRef]
- O’Regan, B.; Grätzel, M. A Low-Cost, High-Efficiency Solar Cell Based on Dye-Sensitized Colloidal TiO2 Films. Nature 1991, 353, 737–740. [Google Scholar] [CrossRef]
- Deepak, T.G.; Anjusree, G.S.; Thomas, S.; Arun, T.A.; Nair, S.V.; Sreekumaran Nair, A. A Review on Materials for Light Scattering in Dye-Sensitized Solar Cells. RSC Adv. 2014, 4, 17615–17638. [Google Scholar] [CrossRef]
- Karim, N.A.; Mehmood, U.; Zahid, H.F.; Asif, T. Nanostructured Photoanode and Counter Electrode Materials for Efficient Dye-Sensitized Solar Cells (DSSCs). Sol. Energy 2019, 185, 165–188. [Google Scholar] [CrossRef]
- Aithal, S.; Aithal, P.S. Research Opportunities for Use of Organic Dye-Doped Polymers and Nanomaterials-Doped Polymers in Optoelectronics and Photonics. Int. J. Eng. Res. Mod. Educ. 2017, 2, 90–97. [Google Scholar] [CrossRef]
- Mustafa, C.; Ali Kemal, H.; Ender, A. Dye-Sensitized Solar Cell (DSSC) Applications Based on Cyano Functional Small Molecules Dyes. Int. J. Opt. Photonic Eng. 2021, 6, 6. [Google Scholar] [CrossRef] [PubMed]
- Ammar, A.M.; Mohamed, H.S.H.; Yousef, M.M.K.; Abdel-Hafez, G.M.; Hassanien, A.S.; Khalil, A.S.G. Dye-Sensitized Solar Cells (DSSCs) Based on Extracted Natural Dyes. J. Nanomater. 2019, 2019, 1867271. [Google Scholar] [CrossRef]
- Castillo-Robles, J.A.; Rocha-Rangel, E.; Ramírez-De-león, J.A.; Caballero-Rico, F.C.; Armendáriz-Mireles, E.N. Advances on Dye-Sensitized Solar Cells (DSSCs) Nanostructures and Natural Colorants: A Review. J. Compos. Sci. 2021, 5, 288. [Google Scholar] [CrossRef]
- Bashar, H.; Bhuiyan, M.M.H.; Hossain, M.R.; Kabir, F.; Rahaman, M.S.; Manir, M.S.; Ikegami, T. Study on Combination of Natural Red and Green Dyes to Improve the Power Conversion Efficiency of Dye Sensitized Solar Cells. Optik 2019, 185, 620–625. [Google Scholar] [CrossRef]
- Kabir, F.; Bhuiyan, M.M.H.; Manir, M.S.; Rahaman, M.S.; Khan, M.A.; Ikegami, T. Development of Dye-Sensitized Solar Cell Based on Combination of Natural Dyes Extracted from Malabar Spinach and Red Spinach. Results Phys. 2019, 14, 102474. [Google Scholar] [CrossRef]
- Chandra Maurya, I.; Singh, S.; Srivastava, P.; Maiti, B.; Bahadur, L. Natural Dye Extract from Cassia Fistula and Its Application in Dye-Sensitized Solar Cell: Experimental and Density Functional Theory Studies. Opt. Mater. 2019, 90, 273–280. [Google Scholar] [CrossRef]
- Praveen, E.; Peter, I.J.; Kumar, A.M.; Ramachandran, K.; Jayakumar, K. Boosting of Power Conversion Efficiency of 2D ZnO Nanostructures-Based DSSC by the Lorentz Force with Chitosan Polymer Electrolyte. J. Inorg. Organomet. Polym. Mater. 2020, 30, 4927–4943. [Google Scholar] [CrossRef]
- Praveen, E.; Peter, I.J.; Kumar, A.M.; Ramachandran, K.; Jayakumar, K. Performance of Phototronically Activated Chitosan Electrolyte in Rare-Earth Doped Bi2Ti2O7 Nanostructure Based DSSC. Mater. Lett. 2020, 276, 128202. [Google Scholar] [CrossRef]
- Priyono, B.; Yuwono, A.H.; Syahrial, A.Z.; Mustofa, M.H.; Bawono, R.S. Performance of Post-Hidrothermally Treated Xerogel TiO2 Dye-Sensitized Solar Cell (DSSC) and Its Nanostructure Characteristic. IOP Conf. Ser. Mater. Sci. Eng. 2018, 432, 012030. [Google Scholar] [CrossRef]
- Aneesiya, K.R.; Louis, C. Localized Surface Plasmon Resonance of Cu-Doped ZnO Nanostructures and the Material’s Integration in Dye Sensitized Solar Cells (DSSCs) Enabling High Open-Circuit Potentials. J. Alloys Compd. 2020, 829, 154497. [Google Scholar] [CrossRef]
- Fadhilah, N.; Pratama, D.Y.; Sawitri, D.; Risanti, D.D. Preparation of Au@TiO2@SiO2 Core-Shell Nanostructure and Their Light Harvesting Capability on DSSC (Dye Sensitized Solar Cells). AIP Conf. Proc. 2019, 2088, 060007. [Google Scholar] [CrossRef]
- Ashok Kumar, K.; Pandurangan, A.; Arumugam, S.; Sathiskumar, M. Effect of Bi-Functional Hierarchical Flower-like CoS Nanostructure on Its Interfacial Charge Transport Kinetics, Magnetic and Electrochemical Behaviors for Supercapacitor and DSSC Applications. Sci. Rep. 2019, 9, 1228. [Google Scholar] [CrossRef] [PubMed]
- Rajamanickam, N.; Isogami, S.; Ramachandran, K. Effect of Co Doping for Improved Photovoltaic Performance of Dye-Sensitized Solar Cells in BaSnO3 Nanostructures. Mater. Lett. 2020, 275, 128139. [Google Scholar] [CrossRef]
- Aksoy, S.; Polat, O.; Gorgun, K.; Caglar, Y.; Caglar, M. Li Doped ZnO Based DSSC: Characterization and Preparation of Nanopowders and Electrical Performance of Its DSSC. Phys. E Low-Dimens. Syst. Nanostructures 2020, 121, 114127. [Google Scholar] [CrossRef]
- Tsai, C.H.; Chuang, P.Y.; Hsu, H.L. Adding Graphene Nanosheets in Liquid Electrolytes to Improve the Efficiency of Dye-Sensitized Solar Cells. Mater. Chem. Phys. 2018, 207, 154–160. [Google Scholar] [CrossRef]
- Cerdá, M.F.; Botasini, S. Co-Sensitized Cells from Antarctic Resources Using Ag Nanoparticles. Surf. Interface Anal. 2020, 52, 980–984. [Google Scholar] [CrossRef]
- Alim, M.A.; Repon, M.R.; Islam, T.; Mishfa, K.F.; Jalil, M.A.; Aljabri, M.D.; Rahman, M.M. Mapping the Progress in Natural Dye-Sensitized Solar Cells: Materials, Parameters and Durability. ChemistrySelect 2022, 7, e202201557. [Google Scholar] [CrossRef]
- Orona-Navar, A.; Aguilar-Hernández, I.; Nigam, K.D.P.; Cerdán-Pasarán, A.; Ornelas-Soto, N. Alternative Sources of Natural Pigments for Dye-Sensitized Solar Cells: Algae, Cyanobacteria, Bacteria, Archaea and Fungi. J. Biotechnol. 2021, 332, 29–53. [Google Scholar] [CrossRef]
- Patel, V.; Berthold, D.; Puranik, P.; Gantar, M. Screening of Cyanobacteria and Microalgae for Their Ability to Synthesize Silver Nanoparticles with Antibacterial Activity. Biotechnol. Rep. 2015, 5, 112–119. [Google Scholar] [CrossRef] [PubMed]
- González-Ballesteros, N.; Prado-López, S.; Rodríguez-González, J.B.; Lastra, M.; Rodríguez-Argüelles, M.C. Green Synthesis of Gold Nanoparticles Using Brown Algae Cystoseira baccata: Its Activity in Colon Cancer Cells. Colloids Surf. B Biointerfaces 2017, 153, 190–198. [Google Scholar] [CrossRef]
- Calles-Arriaga, C.A.; Armendáriz-Mireles, E.N.; Rocha-Rangel, E.; Pech-Rodríguez, W.J.; Rodríguez-García, J.A.; López-Hernández, J.; Castillo-Robles, J.A. Recent Optical Approaches for Quality Control Monitoring in Manufacturing Processes. In Techniques, Tools and Methodologies Applied to Quality Assurance in Manufacturing; García Alcaraz, J.L., Sánchez-Ramírez, C., Gil López, A.J., Eds.; Springer International Publishing: Cham, Switzerland, 2021; pp. 23–47. [Google Scholar] [CrossRef]
- Dahoumane, S.A.; Wujcik, E.K.; Jeffryes, C. Noble Metal, Oxide and Chalcogenide-Based Nanomaterials from Scalable Phototrophic Culture Systems. Enzym. Microb. Technol. 2016, 95, 13–27. [Google Scholar] [CrossRef] [PubMed]
- FAO. The State of World Fisheries and Aquaculture 2018: Meeting the Sustainable Development Goals; Food and Agriculture Organization of the United Nations. Fisheries and Aquaculture Department: Rome, Italy, 2018. [Google Scholar]
- Li, W.; Pu, Y.; Ge, B.; Wang, Y.; Yu, D.; Qin, S. Dye-Sensitized Solar Cells Based on Natural and Artificial Phycobiliproteins to Capture Low Light Underwater. Int. J. Hydrogen Energy 2019, 44, 1182–1191. [Google Scholar] [CrossRef]
- Enciso, P.; Woerner, M.; Cerdá, M.F. Photovoltaic Cells Based on the Use of Natural Pigments: Phycoerythrin from Red-Antarctic Algae as Sensitizers for DSSC. MRS Adv. 2018, 3, 3557–3562. [Google Scholar] [CrossRef]
- Hagfeldt, A.; Boschloo, G.; Sun, L.; Kloo, L.; Pettersson, H. Dye-Sensitized Solar Cells. Chem. Rev. 2010, 110, 6595–6663. [Google Scholar] [CrossRef]
- Amir-Al Zumahi, S.M.; Arobi, N.; Taha, H.; Hossain, M.K.; Kabir, H.; Matin, R.; Bashar, M.S.; Ahmed, F.; Hossain, M.A.; Rahman, M.M. Extraction, Optical Properties, and Aging Studies of Natural Pigments of Various Flower Plants. Heliyon 2020, 6, e05104. [Google Scholar] [CrossRef]
- Prabavathy, N.; Balasundaraprabhu, R. Investigations on the Effect of Na ca and Alum on Tio2 Nanorods for Natural Dye Sensitized Solar Cells, Anna University. 2020. Available online: http://ir.psgtech.ac.in/jspui/bitstream/123456789/407/1/05_abstracts%207.pdf (accessed on 26 January 2023).
- Orona-Navar, A.; Aguilar-Hernández, I.; Cerdán-Pasarán, A.; López-Luke, T.; Rodríguez-Delgado, M.; Cárdenas-Chávez, D.L.; Cepeda-Pérez, E.; Ornelas-Soto, N. Astaxanthin from Haematococcus pluvialis as a Natural Photosensitizer for Dye-Sensitized Solar Cell. Algal Res. 2017, 26, 15–24. [Google Scholar] [CrossRef]
- Ranjitha, S.; Aroulmoji, V.; Selvankumar, T.; Sudhakar, C.; Hariharan, V. Synthesis and Development of Novel Sensitizer from Spirulina Pigment with Silver Doped TiO2 Nano Particles for Bio-Sensitized Solar Cells. Biomass Bioenergy 2020, 141, 105733. [Google Scholar] [CrossRef]
- Borella, L.; Vesce, L.; Mariani, P.; Barichello, J.; di Carlo, A.; Trivellin, N.; Sforza, E. Spectral Changes by Dye Sensitized Solar Modules Influence the Pigment Composition and Productivity of Arthrospira Maxima and Increase the Overall Energy Efficiency. Adv. Sustain. Syst. 2022, 6, 2100346. [Google Scholar] [CrossRef]
- Wang, L.; Tian, L.; Deng, X.; Zhang, M.; Sun, S.; Zhang, W.; Zhao, L. Photosensitizers from Spirulina for Solar Cell. J. Chem. 2014, 2014, 430806. [Google Scholar] [CrossRef]
- Rashid, Z.; Jonas, A.; Buczynski, R.; Kiraz, A. Optofluidic Dye Lasers Based on Holey Fibers: Modeling and Performance Analysis. J. Light. Technol. 2018, 36, 4114–4122. [Google Scholar] [CrossRef]
- Paz, L.F.; Caño-García, M.; Geday, M.A.; Otón, J.M.; Quintana, X. Identification of Dyes and Matrices for Dye Doped Polymer Waveguide Emitters Covering the Visible Spectrum. Sci. Rep. 2022, 12, 6142. [Google Scholar] [CrossRef]
- Koreivienė, J. Microalgae Lipid Staining with Fluorescent BODIPY Dye. Methods Mol. Biol. 2020, 1980, 47–53. [Google Scholar] [CrossRef]
- Wangpraseurt, D.; Lichtenberg, M.; Jacques, S.L.; Larkum, A.W.D.; Kühl, M. Optical Properties of Corals Distort Variable Chlorophyll Fluorescence Measurements. Plant Physiol. 2019, 179, 1608–1619. [Google Scholar] [CrossRef]
- Williamson, C.J.; Cameron, K.A.; Cook, J.M.; Zarsky, J.D.; Stibal, M.; Edwards, A. Glacier Algae: A Dark Past and a Darker Future. Front. Microbiol. 2019, 10, 524. [Google Scholar] [CrossRef]
- Lopez-Garcia, M.; Masters, N.; O’brien, H.E.; Lennon, J.; Atkinson, G.; Cryan, M.J.; Oulton, R.; Whitney, H.M. Light-Induced Dynamic Structural Color by Intracellular 3D Photonic Crystals in Brown Algae. Sci. Adv. 2018, 4, eaan8917. Available online: http://advances.sciencemag.org/ (accessed on 26 January 2023). [CrossRef]
- Gu, H.; Chen, X.; Chen, F.; Zhou, X.; Parsaee, Z. Ultrasound-Assisted Biosynthesis of CuO-NPs Using Brown Alga Cystoseira trinodis: Characterization, Photocatalytic AOP, DPPH Scavenging and Antibacterial Investigations. Ultrason. Sonochem. 2018, 41, 109–119. [Google Scholar] [CrossRef]
- Sharma, M.; Behl, K.; Nigam, S.; Joshi, M. TiO2-GO Nanocomposite for Photocatalysis and Environmental Applications: A Green Synthesis Approach. Vacuum 2018, 156, 434–439. [Google Scholar] [CrossRef]
- Zatirostami, A. Fabrication of Dye-Sensitized Solar Cells Based on the Composite TiO2 Nanoparticles/ZnO Nanorods: Investigating the Role of Photoanode Porosity. Mater. Today Commun. 2021, 26, 102033. [Google Scholar] [CrossRef]
- Sufyan, M.; Mehmood, U.; Qayyum Gill, Y.; Nazar, R.; Ul Haq Khan, A. Hydrothermally Synthesize Zinc Oxide (ZnO) Nanorods as an Effective Photoanode Material for Third-Generation Dye-Sensitized Solar Cells (DSSCs). Mater. Lett. 2021, 297, 130017. [Google Scholar] [CrossRef]
- Richhariya, G.; Kumar, A. Fabrication and Characterization of Mixed Dye: Natural and Synthetic Organic Dye. Opt. Mater. 2018, 79, 296–301. [Google Scholar] [CrossRef]
- Zaine, S.N.A.; Mohamed, N.M.; Khatani, M.; Samsudin, A.E.; Shahid, M.U. Trap State and Charge Recombination in Nanocrystalline Passivized Conductive and Photoelectrode Interface of Dye-Sensitized Solar Cell. Coatings 2020, 10, 284. [Google Scholar] [CrossRef]
- Yadav, S.C.; Sharma, A.; Devan, R.S.; Shirage, P.M. Role of Different Counter Electrodes on Performance of TiO2 Based Dye-Sensitized Solar Cell (DSSC) Fabricated with Dye Extracted from Hibiscus Sabdariffa as Sensitizer. Opt. Mater. 2022, 124, 112066. [Google Scholar] [CrossRef]
- Srivastava, A.; Singh Chauhan, B.; Chand Yadav, S.; Kumar Tiwari, M.; Akash Kumar Satrughna, J.; Kanwade, A.; Bala, K.; Shirage, P.M. Performance of Dye-Sensitized Solar Cells by Utilizing Codiaeum Variegatum Leaf and Delonix Regia Flower as Natural Sensitizers. Chem. Phys. Lett. 2022, 807, 140087. [Google Scholar] [CrossRef]
- Omar, A.; Ali, M.S.; Abd Rahim, N. Electron Transport Properties Analysis of Titanium Dioxide Dye-Sensitized Solar Cells (TiO2-DSSCs) Based Natural Dyes Using Electrochemical Impedance Spectroscopy Concept: A Review. Sol. Energy 2020, 207, 1088–1121. [Google Scholar] [CrossRef]
- Bredar, A.R.C.; Chown, A.L.; Burton, A.R.; Farnum, B.H. Electrochemical Impedance Spectroscopy of Metal Oxide Electrodes for Energy Applications. ACS Appl. Energy Mater. 2020, 3, 66–98. [Google Scholar] [CrossRef]
- Abdulrahim, S.M.; Ahmad, Z.; Bahadra, J.; Al-Thani, N.J. Electrochemical Impedance Spectroscopy Analysis of Hole Transporting Material Free Mesoporous and Planar Perovskite Solar Cells. Nanomaterials 2020, 10, 1635. [Google Scholar] [CrossRef]
- George, K.; van Berkel, M.; Zhang, X.; Sinha, R.; Bieberle-Hütter, A. Impedance Spectra and Surface Coverages Simulated Directly from the Electrochemical Reaction Mechanism: A Nonlinear State-Space Approach. J. Phys. Chem. C 2019, 123, 9981–9992. [Google Scholar] [CrossRef]
- Ge, Z.; Wang, C.; Chen, T.; Chen, Z.; Wang, T.; Guo, L.; Qi, G.; Liu, J. Preparation of Cu-Doped ZnO Nanoparticles via Layered Double Hydroxide and Application for Dye-Sensitized Solar Cells. J. Phys. Chem. Solids 2021, 150, 109833. [Google Scholar] [CrossRef]
- Singh, S.; Maurya, I.C.; Sharma, S.; Kushwaha, S.P.S.; Srivastava, P.; Bahadur, L. Application of New Natural Dyes Extracted from Nasturtium Flowers (Tropaeolum majus) as Photosensitizer in Dye-Sensitized Solar Cells. Optik 2021, 243, 167331. [Google Scholar] [CrossRef]
- Fakharuddin, A.; Ahmed, I.; Wali, Q.; Khalidin, Z.; Yusoff, M.M.; Jose, R. Probing Electron Lifetime and Recombination Dynamics in Large Area Dye-Sensitized Solar Cells by Electrochemical Impedance Spectroscop. Adv. Mat. Res. 2014, 925, 553–558. [Google Scholar]
- Kaur, N.; Bhullar, V.; Singh, D.P.; Mahajan, A. Bimetallic Implanted Plasmonic Photoanodes for TiO2 Sensitized Third Generation Solar Cells. Sci. Rep. 2020, 10, 7657. [Google Scholar] [CrossRef] [PubMed]
- Esakki, E.S.; Sarathi, R.; Sundar, S.M.; Devi, L.R. Fabrication of Dye Sensitized Solar Cells Using Ixora macrothyrsa. Mater. Today Proc. 2021, 47, 2182–2187. [Google Scholar] [CrossRef]
- Lim, A.; Haji Manaf, N.; Tennakoon, K.; Chandrakanthi, R.L.N.; Lim, L.B.L.; Bandara, J.M.R.S.; Ekanayake, P. Higher Performance of DSSC with Dyes from Cladophora sp. As Mixed Cosensitizer through Synergistic Effect. J. Biophys. 2015, 2015, 510467. [Google Scholar] [CrossRef] [PubMed]
- Alkali, B.; Yerima, J.B.; Ahmed, A.D.; Ezike, S.C. Suppressed Charge Recombination Aided Co-Sensitization in Dye-Sensitized Solar Cells-Based Natural Plant Extracts. Optik 2022, 270, 170072. [Google Scholar] [CrossRef]
- Faraz, S.M.; Mazhar, M.; Shah, W.; Noor, H.; Awan, Z.H.; Sayyad, M.H. Comparative Study of Impedance Spectroscopy and Photovoltaic Properties of Metallic and Natural Dye Based Dye Sensitized Solar Cells. Phys. B Condens. Matter 2021, 602, 412567. [Google Scholar] [CrossRef]
- Kalinauskas, P.; Norkus, E.; Mockus, Z.; Giraitis, R.; Juškėnas, R. Electrochemical and Photoelectrochemical Characterization of Cu 2 SnSe 3 Thin Films Deposited on Mo/Glass Substrates. J. Electrochem. Soc. 2019, 166, H3107–H3111. [Google Scholar] [CrossRef]
- Aderne, R.E.; Borges, B.G.A.L.; Ávila, H.C.; von Kieseritzky, F.; Hellberg, J.; Koehler, M.; Cremona, M.; Roman, L.S.; Araujo, C.M.; Rocco, M.L.M.; et al. On the Energy Gap Determination of Organic Optoelectronic Materials: The Case of Porphyrin Derivatives. Mater. Adv. 2022, 3, 1791–1803. [Google Scholar] [CrossRef]
- Oladipo, A.A.; Gazi, M. Ternary Ni0.5Zn0.5Fe2O4/Carbon Nanocomposite as Counter Electrode for Natural Dye-Sensitized Solar Cells: Electro-Photovoltaic Characterizations. J. Photochem. Photobiol. A Chem. 2022, 425, 113665. [Google Scholar] [CrossRef]
- Liu, Q.; Gao, N.; Liu, D.; Liu, J.; Li, Y. Structure and Photoelectrical Properties of Natural Photoactive Dyes for Solar Cells. Appl. Sci. 2018, 8, 1697. [Google Scholar] [CrossRef]
- Ossai, A.N.; Ezike, S.C.; Timtere, P.; Ahmed, A.D. Enhanced Photovoltaic Performance of Dye-Sensitized Solar Cells-Based Carica Papaya Leaf and Black Cherry Fruit Co-Sensitizers. Chem. Phys. Impact 2021, 2, 100024. [Google Scholar] [CrossRef]
- Khanna, P.; Kaur, A.; Goyal, D. Algae-Based Metallic Nanoparticles: Synthesis, Characterization and Applications. J. Microbiol. Methods 2019, 163, 105656. [Google Scholar] [CrossRef]
- Fawcett, D.; Verduin, J.J.; Shah, M.; Sharma, S.B.; Poinern, G.E.J. A Review of Current Research into the Biogenic Synthesis of Metal and Metal Oxide Nanoparticles via Marine Algae and Seagrasses. J. Nanosci. 2017, 2017, 8013850. [Google Scholar] [CrossRef]
- Michalak, I.; Chojnacka, K. Algae as Production Systems of Bioactive Compounds. Eng. Life Sci. 2015, 15, 160–176. [Google Scholar] [CrossRef]
- Yañuk, J.G.; Cabrerizo, F.M.; Dellatorre, F.G.; Cerdá, M.F. Photosensitizing Role of R-Phycoerythrin Red Protein and β-Carboline Alkaloids in Dye Sensitized Solar Cell. Electrochemical and Spectroscopic Characterization. Energy Rep. 2020, 6, 25–36. [Google Scholar] [CrossRef]
- De Bom, M. Caracterización de Pigmentos Extraídos de Algas Rojas de La Antártida Para Su Posible Uso En Celdas Solares Del Tipo DSSC. Innotec 2018, 14, 44–49. [Google Scholar] [CrossRef] [PubMed]
- Enciso, P.; Cerdá, M.F. Solar Cells Based on the Use of Photosensitizers Obtained from Antarctic Red Algae. Cold Reg. Sci. Technol. 2016, 126, 51–54. [Google Scholar] [CrossRef]
- Montagni, T.; Enciso, P.; Marizcurrena, J.J.; Castro-Sowinski, S.; Fontana, C.; Davyt, D.; Cerdá, M.F. Dye Sensitized Solar Cells Based on Antarctic Hymenobacter sp. UV11 Dyes. Environ. Sustain. 2018, 1, 89–97. [Google Scholar] [CrossRef]
- Dumas, A.; Lercher, L.; Spicer, C.D.; Davis, B.G. Designing Logical Codon Reassignment-Expanding the Chemistry in Biology. Chem. Sci. 2015, 6, 50–69. [Google Scholar] [CrossRef]
- Cano, M.; Karns, D.A.J.; Weissman, J.C.; Heinnickel, M.L.; Posewitz, M.C. Pigment Modulation in Response to Irradiance Intensity in the Fast-Growing Alga Picochlorum Celeri. Algal Res. 2021, 58, 102370. [Google Scholar] [CrossRef]
- Selva Esakki, E.; Vivek, P.; Sarathi, R.; Devi, L.R.; Sheeba, N.L.; Meenakshi Sundar, S. Investigation on Electrochemical Analysis of ZnO Nanoparticles and Its Performance for Dye-Sensitized Solar Cells Using Various Natural Dyes. J. Indian Chem. Soc. 2023, 100, 100889. [Google Scholar] [CrossRef]



| Algae Type/Colorant | Extraction Technique | Medium | FF (%) | Voc (V) | η (%) | Ref. |
|---|---|---|---|---|---|---|
| Porphyridium cruentum | Centrifuged, ultrafiltration, and chromatography with an anion exchange column | Acetic acid–sodium acetate buffer | 0.569 | 0.545 | 1 | [40] |
| Palmaria decipiens | Mortar crush, centrifuged. Phycoerythrin was purified using Sephadex G-25 disposable columns | Milli-Q water | 0.67 | 0.53 | 0.12 | [41] |
| Delesseria lancifolia | Mortar crush, centrifuged. Phycoerythrin was purified using Sephadex G-25 disposable columns | Milli-Q water | 0.45 | 0.45 | 0.08 | [41] |
| H. pluvialis | Column chromatography, | Modified WC medium | 0.72 | 0.449 V | 0.1 | [45] |
| Spirulina platensis. | Ultrasonicated and centrifuged. | Water, ethanol, and acetone and pure. | - | 0.75 | 1.2 | [46] |
| Arthrospira maxima | Centrifuged | CaCl2 | - | - | 2.29% | [47] |
| Spirulina sp. | Freezing and melting technology under ultrasonic. | - | 0.407 | - | [48] |
Disclaimer/Publisher’s Note: The statements, opinions and data contained in all publications are solely those of the individual author(s) and contributor(s) and not of MDPI and/or the editor(s). MDPI and/or the editor(s) disclaim responsibility for any injury to people or property resulting from any ideas, methods, instructions or products referred to in the content. |
© 2023 by the authors. Licensee MDPI, Basel, Switzerland. This article is an open access article distributed under the terms and conditions of the Creative Commons Attribution (CC BY) license (https://creativecommons.org/licenses/by/4.0/).
Share and Cite
Armendáriz-Mireles, E.N.; Calles-Arriaga, C.A.; Pech-Rodríguez, W.; Castillo-Robles, A.; Rocha-Rangel, E. Alternative Sources of Natural Photosensitizers: Role of Algae in Dye-Sensitized Solar Cell. Colorants 2023, 2, 137-150. https://doi.org/10.3390/colorants2010010
Armendáriz-Mireles EN, Calles-Arriaga CA, Pech-Rodríguez W, Castillo-Robles A, Rocha-Rangel E. Alternative Sources of Natural Photosensitizers: Role of Algae in Dye-Sensitized Solar Cell. Colorants. 2023; 2(1):137-150. https://doi.org/10.3390/colorants2010010
Chicago/Turabian StyleArmendáriz-Mireles, Eddie Nahúm, Carlos Adrián Calles-Arriaga, Wilian Pech-Rodríguez, Adalberto Castillo-Robles, and Enrique Rocha-Rangel. 2023. "Alternative Sources of Natural Photosensitizers: Role of Algae in Dye-Sensitized Solar Cell" Colorants 2, no. 1: 137-150. https://doi.org/10.3390/colorants2010010
APA StyleArmendáriz-Mireles, E. N., Calles-Arriaga, C. A., Pech-Rodríguez, W., Castillo-Robles, A., & Rocha-Rangel, E. (2023). Alternative Sources of Natural Photosensitizers: Role of Algae in Dye-Sensitized Solar Cell. Colorants, 2(1), 137-150. https://doi.org/10.3390/colorants2010010

