Synthesis and Color Evaluation of Tb4+-Doped Na2ZrO3 for Inorganic Yellow Pigments
Abstract
:1. Introduction
2. Materials and Methods
2.1. Synthesis
2.2. Characterization
3. Results and Discussion
3.1. X-ray Powder Diffraction (XRD) and Scanning Electron Microscopy (SEM)
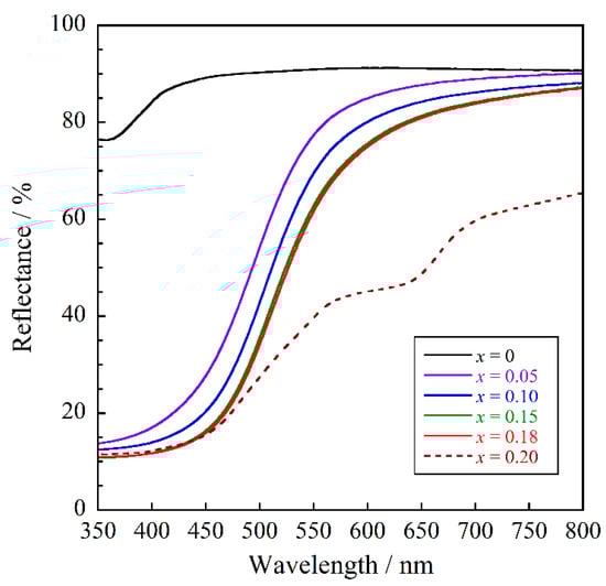
3.2. Ultraviolet-Visible (UV-Vis) Reflectance Spectra
3.3. Color Properties
3.4. Chemical Stability Test
4. Conclusions
Author Contributions
Funding
Institutional Review Board Statement
Informed Consent Statement
Data Availability Statement
Conflicts of Interest
References
- Faulkner, E.B.; Schwartz, R.J. High Performance Pigments, 2nd ed.; Wiley-VCH: Weinheim, Germany, 2009. [Google Scholar]
- Thara, T.R.A.; Rao, P.P.; Raj, A.K.V.; Sreena, T.S. New series of brilliant yellow colorants in rare earth doped scheelite type oxides, (LiRE)1/2WO4- BiVO4 for cool roof applications. Sol. Energy Mater. Sol. Cells 2019, 200, 110015. [Google Scholar] [CrossRef]
- Kumari, L.S.; Rao, P.P.; Radhakrishnan, A.N.P.; James, V. Brilliant yellow color and enhanced NIR reflectance of monoclinic BiVO4 through distortion in VO43− tetrahedra. Sol. Energy Mater. Sol. Cells 2013, 112, 134–143. [Google Scholar] [CrossRef]
- Wendusu; Honda, T.; Masui, T.; Imanaka, N. Novel environmentally friendly (Bi, Ca, Zn, La)VO4 inorganic yellow pigments. RSC Adv. 2013, 3, 24941–24945. [Google Scholar] [CrossRef]
- Šulcová, P.; Trojan, M. Thermal synthesis and properties of the (Bi2O3)1–x(Ho2O3)x pigments. J. Therm. Anal. Calorim. 2006, 83, 557–559. [Google Scholar] [CrossRef]
- Laguna, M.; Núñez, N.O.; Fernández, M.; Ocaña, M. Synthesis and optical properties of environmentally benign and highly uniform NaCe(MoO4)2 based yellow nanopigments. J. Alloys Compd. 2018, 739, 542–548. [Google Scholar] [CrossRef]
- Nero, G.D.; Cappelletti, G.; Ardizzone, S.; Fermo, P.; Gilardoni, S. Yellow Pr-zircon pigments: The role of praseodymium and of the mineralizer. J. Eur. Ceram. Soc. 2004, 24, 3603–3611. [Google Scholar] [CrossRef]
- Guo, D.; Yang, Q.; Chen, P.; Chu, Y.; Zhang, Y.; Rao, P. The influence of micronization on the properties of Pr-ZrSiO4 pigment. Dyes Pigm. 2018, 153, 74–83. [Google Scholar] [CrossRef]
- Sumaletha, N.; Rajesh, K.; Mukundan, P.; Warrier, K.G.K. Environmentally benign sol–gel derived nanocrystalline rod shaped calcium doped cerium phosphate yellow-green pigment. J. Sol-Gel Sci. Technol. 2009, 52, 242–250. [Google Scholar] [CrossRef]
- Sameera, S.F.; Rao, P.P.; Kumari, L.S.; Koshy, P. New scheelite-based environmentally friendly yellow pigments: (BiV)x(CaW)1−xO4. Chem. Lett. 2009, 38, 1088–1089. [Google Scholar] [CrossRef]
- Calatayud, J.M.; Alarcón, J. V-containing ZrO2 inorganic yellow nano-pigments prepared by hydrothermal approach. Dyes Pigm. 2017, 146, 178–188. [Google Scholar] [CrossRef]
- Gorodylova, N.; Šulcová, P. Polymerizable precursor method vs solid state reaction for the synthesis of Ni3(PO4)2 yellow hue pigment with advanced characteristics. J. Alloys Compd. 2022, 903, 163854. [Google Scholar] [CrossRef]
- Zhou, W.; Ye, J.; Liu, Z.; Wang, L.; Chen, L.; Zhuo, S.; Liu, Y.; Chen, W. High near-infrared reflective Zn1−xAxWO4 pigments with various hues facilely fabricated by tuning doped transition metal ions (A = Co, Mn, and Fe). Inorg. Chem. 2022, 61, 693–699. [Google Scholar] [CrossRef] [PubMed]
- Pettini, F.; Seguelong, T.; Inventors; Chimie, R.; Assignee. Pigmented substrates comprising terbium compound colorants. U.S. Patent 5688316, 18th November 1997. [Google Scholar]
- Mesíková, Ž.; Šulcová, P.; Trojan, M. Synthesis and description of SrSn0.6Ln0.4O3 perovskite pigments. J. Therm. Anal. Calorim. 2008, 91, 163–166. [Google Scholar] [CrossRef]
- Lunáková, P.; Trojan, M.; Luxová, J.; Trojan, J. BaSn1−xTbxO3: A new yellow pigment based on a perovskite structure. Dyes Pigm. 2013, 96, 264–268. [Google Scholar] [CrossRef]
- Oka, R.; Tsukimori, T.; Inoue, H.; Mausi, T. Perovskite-type ALnO3 (A = Ca, Sr, Ba; Ln = Ce, Pr, Tb) oxides as environmentally friendly yellow pigments. J. Ceram. Soc. Jpn. 2017, 125, 652–656. [Google Scholar] [CrossRef] [Green Version]
- Raj, A.K.V.; Rao, P.P.; Sameera, S.; James, V.; Divya, S. Synthesis of novel nontoxic yellow pigments: Sr2Ce1−xTbxO4. Chem. Lett. 2014, 43, 985–987. [Google Scholar] [CrossRef]
- Raj, A.K.V.; Rao, P.P.; Divya, S.; Ajuthara, T.R. Terbium doped Sr2MO4 [M = Sn and Zr] yellow pigments with high infrared reflectance for energy saving applications. Powder Technol. 2017, 311, 52–58. [Google Scholar] [CrossRef]
- Raj, A.K.V.; Rao, P.P.; Sreena, T.S. Color tunable pigments with high NIR reflectance in terbium-doped cerate systems for sustainable energy saving applications. ACS Sustain. Chem. Eng. 2019, 7, 8804–8815. [Google Scholar] [CrossRef]
- Chen, J.; Xie, W.; Guo, X.; Huang, B.; Xiao, Y.; Sun, X. Near infrared reflective pigments based on Bi3YO6 for heat insulation. Ceram. Int. 2020, 46, 24575–24584. [Google Scholar] [CrossRef]
- Bastow, T.J.; Hobday, M.E.; Smith, M.E.; Whitfield, H.J. Structural characterisation of Na2ZrO3. Solid State Nucl. Magn. Reson. 1994, 3, 49–57. [Google Scholar] [CrossRef]
- Alcántar-Vázquez, B.; Diaz, C.; Romero-Ibarra, I.C.; Lima, E.; Pfeiffer, H. Structural and CO2 chemisorption analyses on Na2(Zr1−xAlx)O3 solid solutions. J. Phys. Chem. C 2013, 117, 16483–16491. [Google Scholar] [CrossRef]
- Song, S.; Kotobuki, M.; Zheng, F.; Xu, C.; Hu, N.; Lu, L.; Wang, Y.; Li, W.-D. Y-doped Na2ZrO3: A Na-rich layered oxide as a high-capacity cathode material for sodium-ion batteries. ACS Sustain. Chem. Eng. 2017, 5, 4785–4792. [Google Scholar] [CrossRef]
- Duan, Y.; Lekse, J.; Wang, X.; Li, B.; Alcántar-Vázquez, B.; Pfeiffer, H.; Halley, J.W. Electronic structure, phonon dynamical properties, and CO2 capture capability of Na2−xMxZrO3 (M = Li,K): Density-functional calculations and experimental validations. Phys. Rev. Appl. 2015, 3, 044013. [Google Scholar] [CrossRef] [Green Version]
- Shannon, R.D. Revised effective ionic radii and systematic studies of interatomic distances in halides and chalcogenides. Acta Crystallogr. Sect. A Found. Adv. 1976, 32, 751–767. [Google Scholar] [CrossRef]
- Verma, R.K.; Kumar, K.; Rai, S.B. Inter-conversion of Tb3+ and Tb4+ states and its fluorescence properties in MO–Al2O3: Tb (M = Mg, Ca, Sr, Ba) phosphor materials. Solid State Sci. 2010, 12, 1146–1151. [Google Scholar] [CrossRef]






| Sample | L* | a* | b* | C | h° |
|---|---|---|---|---|---|
| Na2ZrO3 | 98.0 | −0.14 | +0.62 | 0.64 | 103 |
| Na2Zr0.95Tb0.05O3 | 91.5 | −6.95 | +50.9 | 51.4 | 97.8 |
| Na2Zr0.90Tb0.10O3 | 86.4 | −3.70 | +61.5 | 61.6 | 93.4 |
| Na2Zr0.85Tb0.15O3 | 82.6 | −0.62 | +66.1 | 66.1 | 90.5 |
| Na2Zr0.82Tb0.18O3 | 82.4 | −0.17 | +67.2 | 67.2 | 90.1 |
| Na2Zr0.80Tb0.20O3 | 66.2 | −1.26 | +46.5 | 46.5 | 91.6 |
| BiVO4 | 93.3 | −15.7 | +80.3 | 81.8 | 101 |
| PbCrO4 | 89.9 | +1.12 | +96.5 | 96.5 | 89.3 |
| ZrSiO4:Pr | 83.5 | −3.28 | +70.3 | 70.4 | 92.7 |
| Treatment | L* | a* | b* | C | h° |
|---|---|---|---|---|---|
| As synthesized | 82.4 | −0.17 | +67.2 | 67.2 | 90.1 |
| Water | 62.1 | +17.2 | +60.4 | 62.8 | 74.1 |
| 4% CH3COOH | 63.1 | +15.8 | +65.6 | 67.5 | 76.5 |
| 4% NH4HCO3 | 63.5 | +16.1 | +61.1 | 63.2 | 75.2 |
Publisher’s Note: MDPI stays neutral with regard to jurisdictional claims in published maps and institutional affiliations. |
© 2022 by the authors. Licensee MDPI, Basel, Switzerland. This article is an open access article distributed under the terms and conditions of the Creative Commons Attribution (CC BY) license (https://creativecommons.org/licenses/by/4.0/).
Share and Cite
Oka, R.; Nouchi, T.; Masui, T. Synthesis and Color Evaluation of Tb4+-Doped Na2ZrO3 for Inorganic Yellow Pigments. Colorants 2022, 1, 347-353. https://doi.org/10.3390/colorants1030020
Oka R, Nouchi T, Masui T. Synthesis and Color Evaluation of Tb4+-Doped Na2ZrO3 for Inorganic Yellow Pigments. Colorants. 2022; 1(3):347-353. https://doi.org/10.3390/colorants1030020
Chicago/Turabian StyleOka, Ryohei, Tomoyo Nouchi, and Toshiyuki Masui. 2022. "Synthesis and Color Evaluation of Tb4+-Doped Na2ZrO3 for Inorganic Yellow Pigments" Colorants 1, no. 3: 347-353. https://doi.org/10.3390/colorants1030020
APA StyleOka, R., Nouchi, T., & Masui, T. (2022). Synthesis and Color Evaluation of Tb4+-Doped Na2ZrO3 for Inorganic Yellow Pigments. Colorants, 1(3), 347-353. https://doi.org/10.3390/colorants1030020

