Finite Element Simulation of Multi-Slip Effects on Unsteady MHD Bioconvective Micropolar Nanofluid Flow Over a Sheet with Solutal and Thermal Convective Boundary Conditions
Abstract
1. Introduction
2. Problem Description
3. Implementation of Method
3.1. Variational Formulations
3.2. Finite Element Formulations
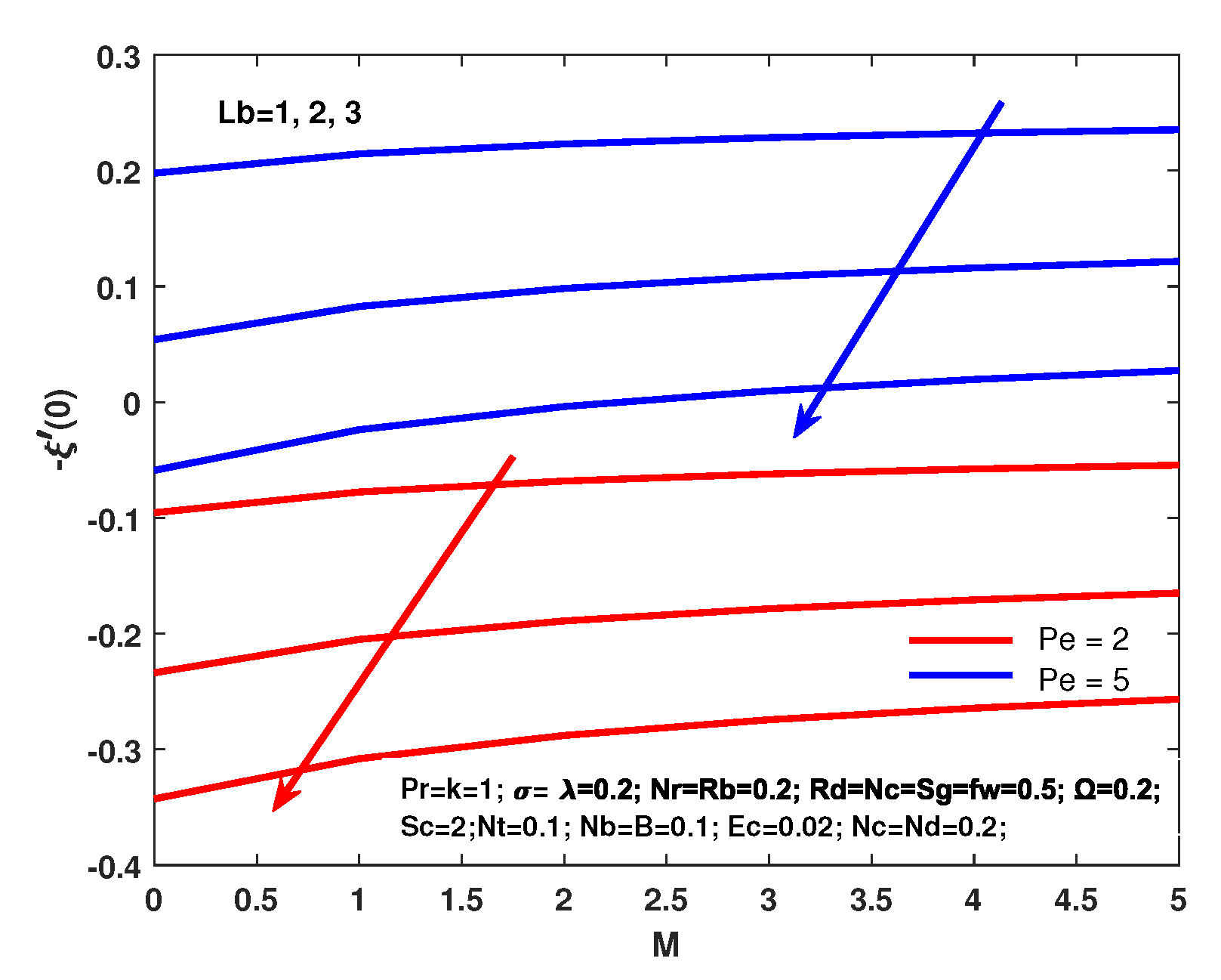
4. Results and Discussion
- (1)
- The Skin-friction coefficient and velocity are increasing while reducing the local Nusselt and density number through improvement in the Magnetic parameter.
- (2)
- The increment in thermal buoyancy parameters , cause decreasing the Skin-friction coefficient and velocity while increasing the local Nusselt number and density number.
- (3)
- With the increasing unsteadiness parameter The Skin-friction coefficient, local Nusselt and density numbers are also increasing.
- (4)
- The Skin-friction coefficient is increasing with the increment in Prandtl number, also increasing the local Nusselt number and velocity.
- (5)
- The Skin-friction coefficient is increasing with the increasing Rayleigh number and also increment in the local Nusselt number, velocity and density number.
5. Conclusions
- The fluid velocity, temperature and gyrotactic microorganism concentration are found to have declined with enhancement in the unsteadiness parameter.
- The Skin-friction coefficient decreases with the increasing value of slip parameters, magnetic and unsteadiness parameter but the effect is the opposite for escalating values of thermal buoyancy, suction parameter and solutal buoyancy.
- The temperature declines, whereas the gyrotactic microorganism concentration decreases with enhancement in values of magnetic parameter M, Brownian motion parameter , thermophoresis parameter .
- Due to an enhancement in the material parameter K, unsteady parameter as , bio-convection parameter and bioconvection Lewis parameter , the motile concentration profile is declined.
- Mass transfer rate increases as Brownian motion parameter increases whereas decreases with enhancement in thermophoresis parameter .
- Due to an enhancement in the magnetic parameter M, Peclet number as and bioconvection Lewis parameter , the motile concentration profile increases.
Author Contributions
Funding
Acknowledgments
Conflicts of Interest
Nomenclature
| Microorganism concentration | |
| Radiation parameter | |
| Rayleigh number | |
| Wall temperature of the fluid | |
| Temperature of the fluid far away from the sheet | |
| Velocity of sheet | |
| Thermal diffusivity | |
| Rosseland eradicative heat flux | |
| Velocity of cell swimming | |
| Deborah number | |
| Brownian motion parameter | |
| Thermo-phoresis parameter | |
| Molecular density | |
| Lewis number | |
| nanofluid density | |
| Reduced Sherwood number | |
| Magnetic field | |
| Local Reynold number | |
| g | Gravity |
| Prandtl number | |
| Microorganism density | |
| Grashof number | |
| Reduced skin friction co-efficient | |
| Eckert number | |
| Local motile microorganism | |
| Velocity components | |
| T | Non-dimensional temperature |
| Cartesian coordinates |
References
- Wen, D.; Lin, G.; Vafaei, S.; Zhang, K. Review of nanofluids for heat transfer applications. Particuology 2009, 7, 141–150. [Google Scholar] [CrossRef]
- Yang, L.; Huang, J.N.; Ji, W.; Mao, M. Investigations of a new combined application of nanofluids in heat recovery and air purification. Powder Technol. 2019. [Google Scholar] [CrossRef]
- Pradhan, S.; Baag, S.; Mishra, S.; Acharya, M. Free convective MHD micropolar fluid flow with thermal radiation and radiation absorption: A numerical study. Heat Transf. Asian Res. 2019, 48, 2613–2628. [Google Scholar] [CrossRef]
- Sharada, K.; Shankar, B. MHD mixed convection flow of a Casson fluid over an exponentially stretching surface with the effects of Soret, Dufour, thermal radiation and chemical reaction. World J. Mech. 2015, 5, 165. [Google Scholar] [CrossRef]
- Moradikazerouni, A.; Afrand, M.; Alsarraf, J.; Mahian, O.; Wongwises, S.; Tran, M.D. Comparison of the effect of five different entrance channel shapes of a micro-channel heat sink in forced convection with application to cooling a supercomputer circuit board. Appl. Therm. Eng. 2019, 150, 1078–1089. [Google Scholar] [CrossRef]
- Pushpalatha, K.; Reddy, J.R.; Sugunamma, V.; Sandeep, N. Numerical study of chemically reacting unsteady Casson fluid flow past a stretching surface with cross diffusion and thermal radiation. Open Eng. 2017, 7, 69–76. [Google Scholar] [CrossRef]
- Vo, D.D.; Alsarraf, J.; Moradikazerouni, A.; Afrand, M.; Salehipour, H.; Qi, C. Numerical investigation of γ-AlOOH nanofluid convection performance in a wavy channel considering various shapes of nanoadditives. Powder Technol. 2019, 345, 649–657. [Google Scholar] [CrossRef]
- Ullah, I.; Nisar, K.S.; Shafie, S.; Khan, I.; Qasim, M.; Khan, A. Unsteady free convection flow of casson nanofluid over a nonlinear stretching sheet. IEEE Access 2019, 7, 93076–93087. [Google Scholar] [CrossRef]
- Uddin, M.J.; Khan, W.; Ismail, A.M. Free convection boundary layer flow from a heated upward facing horizontal flat plate embedded in a porous medium filled by a nanofluid with convective boundary condition. Transp. Porous Media 2012, 92, 867–881. [Google Scholar] [CrossRef]
- Alsarraf, J.; Moradikazerouni, A.; Shahsavar, A.; Afrand, M.; Salehipour, H.; Tran, M.D. Hydrothermal analysis of turbulent boehmite alumina nanofluid flow with different nanoparticle shapes in a minichannel heat exchanger using two-phase mixture model. Phys. A Stat. Mech. Appl. 2019, 520, 275–288. [Google Scholar] [CrossRef]
- Moradikazerouni, A.; Afrand, M.; Alsarraf, J.; Wongwises, S.; Asadi, A.; Nguyen, T.K. Investigation of a computer CPU heat sink under laminar forced convection using a structural stability method. Int. J. Heat Mass Transf. 2019, 134, 1218–1226. [Google Scholar] [CrossRef]
- Ranjbarzadeh, R.; Moradikazerouni, A.; Bakhtiari, R.; Asadi, A.; Afrand, M. An experimental study on stability and thermal conductivity of water/silica nanofluid: Eco-friendly production of nanoparticles. J. Clean. Prod. 2019, 206, 1089–1100. [Google Scholar] [CrossRef]
- Naseem, F.; Shafiq, A.; Zhao, L.; Naseem, A. MHD biconvective flow of Powell Eyringnanofluid over stretched surface. AIP Adv. 2017, 7, 065013. [Google Scholar] [CrossRef]
- Lee, T.; Parikh, P.; Acrivos, A.; Bershader, D. Natural convection in a vertical channel with opposing buoyancy forces. Int. J. Heat Mass Transf. 1982, 25, 499–511. [Google Scholar] [CrossRef]
- Das, K.; Duari, P.; Kundu, P.K. Nanofluidbioconvection in presence of gyrotactic microorganisms and chemical reaction in a porous medium. J. Mech. Sci. Technol. 2015, 29, 4841–4849. [Google Scholar] [CrossRef]
- Khan, U.; Ahmed, N.; Mohyud-Din, S.T. Influence of viscous dissipation and Joule heating on MHD bio-convection flow over a porous wedge in the presence of nanoparticles and gyrotactic microorganisms. SpringerPlus 2016, 5, 2043. [Google Scholar] [CrossRef]
- Kuznetsov, A.V. Nanofluidbioconvection in porous media: oxytactic microorganisms. J. Porous Media 2012, 15, 233–248. [Google Scholar] [CrossRef]
- Khan, W.; Makinde, O.; Khan, Z. MHD boundary layer flow of a nanofluid containing gyrotactic microorganisms past a vertical plate with Navier slip. Int. J. Heat Mass Transf. 2014, 74, 285–291. [Google Scholar] [CrossRef]
- Rahman, M.; Al-Lawatia, M.; Eltayeb, I.; Al-Salti, N. Hydromagnetic slip flow of water based nanofluids past a wedge with convective surface in the presence of heat generation (or) absorption. Int. J. Therm. Sci. 2012, 57, 172–182. [Google Scholar] [CrossRef]
- Ibrahim, W.; Shankar, B. MHD boundary layer flow and heat transfer of a nanofluid past a permeable stretching sheet with velocity, thermal and solutal slip boundary conditions. Comput. Fluids 2013, 75, 1–10. [Google Scholar] [CrossRef]
- Ma, Y.; Shahsavar, A.; Moradi, I.; Rostami, S.; Moradikazerouni, A.; Yarmand, H.; Zulkifli, N.W.B.M. Using finite volume method for simulating the natural convective heat transfer of nanofluid flow inside an inclined enclosure with conductive walls in the presence of a constant temperature heat source. Phys. A Stat. Mech. Appl. 2019. [Google Scholar] [CrossRef]
- Das, K. Slip flow and convective heat transfer of nanofluids over a permeable stretching surface. Comput. Fluids 2012, 64, 34–42. [Google Scholar] [CrossRef]
- Abbas, Z.; Wang, Y.; Hayat, T.; Oberlack, M. Slip effects and heat transfer analysis in a viscous fluid over an oscillatory stretching surface. Int. J. Numer. Methods Fluids 2009, 59, 443–458. [Google Scholar] [CrossRef]
- Makinde, O.D.; Mabood, F.; Ibrahim, M.S. Chemically reacting on MHD boundary-layer flow of nanofluids over a non-linear stretching sheet with heat source/sink and thermal radiation. Therm. Sci. 2018, 22, 495–506. [Google Scholar] [CrossRef]
- Aziz, A.; Khan, W.; Pop, I. Free convection boundary layer flow past a horizontal flat plate embedded in porous medium filled by nanofluid containing gyrotactic microorganisms. Int. J. Therm. Sci. 2012, 56, 48–57. [Google Scholar] [CrossRef]
- Buongiorno, J. Convective transport in nanofluids. J. Heat Transf. 2006, 128, 240–250. [Google Scholar] [CrossRef]
- Pit, R.; Hervet, H.; Leger, L. Direct experimental evidence of slip in hexadecane: Solid interfaces. Phys. Rev. Lett. 2000, 85, 980. [Google Scholar] [CrossRef]
- Wu, X.; Wu, H.; Cheng, P. Pressure drop and heat transfer of Al2O3-H2O nanofluids through silicon microchannels. J. Micromech. Microeng. 2009, 19, 105020. [Google Scholar] [CrossRef]
- Xu, H.; Pop, I. Fully developed mixed convection flow in a horizontal channel filled by a nanofluid containing both nanoparticles and gyrotactic microorganisms. Eur. J. Mech. B/Fluids 2014, 46, 37–45. [Google Scholar] [CrossRef]
- Siddiqa, S.; Begum, N.; Saleem, S.; Hossain, M.A.; Gorla, R.S.R. Numerical solutions of nanofluid bioconvection due to gyrotactic microorganisms along a vertical wavy cone. Int. J. Heat Mass Transf. 2016, 101, 608–613. [Google Scholar] [CrossRef]
- Bin-Mohsin, B.; Ahmed, N.; Khan, U.; Mohyud-Din, S.T. A bioconvection model for a squeezing flow of nanofluid between parallel plates in the presence of gyrotactic microorganisms. Eur. Phys. J. Plus 2017, 132, 187. [Google Scholar] [CrossRef]
- Li, Z.; Sheikholeslami, M.; Chamkha, A.J.; Raizah, Z.; Saleem, S. Control volume finite element method for nanofluid MHD natural convective flow inside a sinusoidal annulus under the impact of thermal radiation. Comput. Methods Appl. Mech. Eng. 2018, 338, 618–633. [Google Scholar] [CrossRef]
- Mahian, O.; Kolsi, L.; Amani, M.; Estellé, P.; Ahmadi, G.; Kleinstreuer, C.; Marshall, J.S.; Siavashi, M.; Taylor, R.A.; Niazmand, H.; et al. Recent advances in modeling and simulation of nanofluid flows—Part I: Fundamental and theory. Phys. Rep. 2018, 790, 1–48. [Google Scholar] [CrossRef]
- Mabood, F.; Shateyi, S. Multiple slip effects on MHD unsteady flow heat and mass transfer impinging on permeable stretching sheet with radiation. Model. Simul. Eng. 2019, 2019, 3052790. [Google Scholar] [CrossRef]
- Malarselvi, A.; Bhuvaneswari, M.; Sivasankaran, S.; Ganga, B.; Hakeem, A.A. Effect of slip and convective heating on unsteady MHD chemically reacting flow over a porous surface with suction. In Applied Mathematics and Scientific Computing; Springer: Berlin/Heidelberg, Germany, 2019; pp. 357–365. [Google Scholar]
- Ali, B.; Nie, Y.; Khan, S.A.; Sadiq, M.T.; Tariq, M. Finite element simulation of multiple slip effects on MHD unsteady maxwell nanofluid flow over a permeable stretching sheet with radiation and thermo-diffusion in the presence of chemical reaction. Processes 2019, 7, 628. [Google Scholar] [CrossRef]
- Mabood, F.; Das, K. Melting heat transfer on hydromagnetic flow of a nanofluid over a stretching sheet with radiation and second-order slip. Eur. Phys. J. Plus 2016, 131, 3. [Google Scholar] [CrossRef]
- Reddy, J.N. An Introduction to the Finite Element Method; McGraw-Hill Education: New York, NY, USA, 1993. [Google Scholar]
- Swapna, G.; Kumar, L.; Rana, P.; Singh, B. Finite element modeling of a double-diffusive mixed convection flow of a chemically-reacting magneto-micropolar fluid with convective boundary condition. J. Taiwan Inst. Chem. Eng. 2015, 47, 18–27. [Google Scholar] [CrossRef]
- Gupta, D.; Kumar, L.; Beg, O.A.; Singh, B. Finite-element analysis of transient heat and mass transfer in microstructural boundary layer flow from a porous stretching sheet. Comput. Therm. Sci. Int. J. 2014, 6, 155–169. [Google Scholar] [CrossRef]
- Uddin, M.; Rana, P.; Bég, O.A.; Ismail, A.M. Finite element simulation of magnetohydrodynamic convective nanofluid slip flow in porous media with nonlinear radiation. Alex. Eng. J. 2016, 55, 1305–1319. [Google Scholar] [CrossRef]
- Chamkha, A.; Aly, A.; Mansour, M. Similarity solution for unsteady heat and mass transfer from a stretching surface embedded in a porous medium with suction/injection and chemical reaction effects. Chem. Eng. Commun. 2010, 197, 846–858. [Google Scholar] [CrossRef]
- Ali, M.E. Heat transfer characteristics of a continuous stretching surface. Wärme-und Stoffübertragung 1994, 29, 227–234. [Google Scholar] [CrossRef]
- Ishak, A.; Nazar, R.; Pop, I. Boundary layer flow and heat transfer over an unsteady stretching vertical surface. Meccanica 2009, 44, 369–375. [Google Scholar] [CrossRef]
- Pal, D. Combined effects of non-uniform heat source/sink and thermal radiation on heat transfer over an unsteady stretching permeable surface. Commun. Nonlinear Sci. Numer. Simul. 2011, 16, 1890–1904. [Google Scholar] [CrossRef]
- Haile, E.; Shankar, B. Heat and mass transfer in the boundary layer of unsteady viscous nanofluid along a vertical stretching sheet. J. Comput. Eng. 2014, 2014, 345153. [Google Scholar] [CrossRef]
- Eldabe, N.T.; Ouaf, M.E. Chebyshev finite difference method for heat and mass transfer in a hydromagnetic flow of a micropolar fluid past a stretching surface with Ohmic heating and viscous dissipation. Appl. Math. Comput. 2006, 177, 561–571. [Google Scholar] [CrossRef]
- Hsiao, K.L. Micropolar nanofluid flow with MHD and viscous dissipation effects towards a stretching sheet with multimedia feature. Int. J. Heat Mass Transf. 2017, 112, 983–990. [Google Scholar] [CrossRef]
- Atif, S.; Hussain, S.; Sagheer, M. Magnetohydrodynamic stratified bioconvective flow of micropolar nanofluid due to gyrotactic microorganisms. AIP Adv. 2019, 9, 025208. [Google Scholar] [CrossRef]




















| Number of Elements | |||||
|---|---|---|---|---|---|
| 100 | 1.0538751 | 0.0107318 | 0.0424082 | 0.0316355 | 0.008040 |
| 180 | 1.0539216 | 0.0107317 | 0.0424057 | 0.0316342 | 0.008034 |
| 280 | 1.0539340 | 0.0107317 | 0.0424055 | 0.0316338 | 0.008031 |
| 450 | 1.0539371 | 0.0107315 | 0.0424047 | 0.0316337 | 0.008029 |
| 600 | 1.0539410 | 0.0107314 | 0.0424046 | 0.0316336 | 0.008028 |
| 850 | 1.0539415 | 0.0107314 | 0.0424046 | 0.0316336 | 0.008028 |
| M | Mabood and Das | Fazle and Stanford | FEM | Chamkha et al. | Fazle and Stanford | FEM | |
|---|---|---|---|---|---|---|---|
| [37] | [34] | (Our Results) | [42] | [34] | (Our Results) | ||
| 0 | −1.000008 | −1.0000084 | −1.0000082 | 0.2 | – | – | 1.068024 |
| 1 | 1.4142135 | 1.41421356 | 1.41421353 | 0.4 | – | – | 1.134681 |
| 5 | 2.4494897 | 2.44948974 | 2.44948963 | 0.6 | – | – | 1.199115 |
| 10 | 3.3166247 | 3.31662479 | 3.31662463 | 0.8 | 1.261512 | 1.261042 | 1.261038 |
| 50 | 7.1414284 | 7.14142843 | 7.14142839 | 1.0 | – | – | 1.320516 |
| 100 | 10.049875 | 10.0498756 | 10.0498751 | 1.2 | 1.378052 | 1.377724 | 1.377718 |
| 500 | 22.383029 | 22.3830293 | 22.3830283 | 1.4 | – | – | 1.432829 |
| 1000 | 31.638584 | 31.6385840 | 31.6385833 | 1.6 | – | – | 1.486033 |
| Ali [43] | Fazle and Stanford [34] | Ishak et al. [44] | Dulal Pal. [45] | Haile et al. [46] | Ishak et al. [44] (a) Exact Solution | FEM (b) Our Results | Error in % | |
|---|---|---|---|---|---|---|---|---|
| 0.72 | 0.8058 | 0.8088 | – | – | – | 0.8086313498 | 0.8086339302 | 0.0003 |
| 1.00 | 0.9691 | 1.0000 | 1.0000 | 1.0000 | 1.0004 | 1.000000000 | 1.0000080217 | 0.0008 |
| 3.00 | 1.9144 | 1.9237 | 1.9237 | 1.9236 | 1.9234 | 1.923682594 | 1.9236777225 | 0.0003 |
| 10.0 | 3.7006 | 3.7207 | 3.7207 | 3.7207 | 3.7205 | 3.720673901 | 3.7206681690 | 0.0002 |
| 100 | – | – | 12.2941 | 12.2940 | 12.2962 | 12.294083260 | 12.294051665 | 0.0003 |
| M | K | −f″(0) | −f″(0) [48] | Our Results | g′(0) | g′(0) [48] | Our Results |
|---|---|---|---|---|---|---|---|
| 0.0 | 0.2 | 0.9098 | 0.90976 | 0.909698 | 0.0950 | 0.09500 | 0.094995 |
| 0.5 | – | 1.1148 | 1.11437 | 1.114368 | 0.1051 | 0.10509 | 0.105085 |
| 1.0 | – | 1.2871 | 1.28711 | 1.287147 | 0.1121 | 0.11212 | 0.112058 |
| – | 0.0 | 1.4142 | 1.41423 | 1.414208 | 0.0000 | 0.00000 | 0.000000 |
| – | 0.5 | 1.1408 | 1.14073 | 1.140781 | 0.2112 | 0.21116 | 0.211157 |
| – | 2.0 | 0.7697 | 0.76958 | 0.769749 | 0.3586 | 0.35855 | 0.358659 |
| M | |||||||||
|---|---|---|---|---|---|---|---|---|---|
| 0.0 | 0.2 | 0.2 | 0.2 | 0.2 | 1 | 0.0273443 | 0.559615 | 0.168901 | 1.417108 |
| 0.5 | – | – | – | – | – | 0.0283705 | 0.636141 | 0.167315 | 1.398302 |
| 1.0 | – | – | – | – | – | 0.0287677 | 0.695106 | 0.166101 | 1.383229 |
| 0.5 | 0.2 | 0.2 | 0.2 | 0.2 | 1 | 0.0283702 | 0.636141 | 0.167315 | 1.398302 |
| – | 0.4 | – | – | – | – | 0.0283024 | 0.632248 | 0.167371 | 1.399311 |
| – | 0.7 | – | – | – | – | 0.0282043 | 0.626489 | 0.167452 | 1.400790 |
| 0.5 | 0.2 | 0.2 | 0.2 | 0.2 | 1 | 0.0283702 | 0.636141 | 0.167315 | 1.398302 |
| – | – | 0.4 | – | – | – | 0.0283844 | 0.636741 | 0.167206 | 1.398143 |
| – | – | 0.7 | – | – | – | 0.0284058 | 0.636744 | 0.167292 | 1.397903 |
| 0.5 | 0.2 | 0.2 | 0.2 | 0.2 | 1 | 0.0283702 | 0.636141 | 0.167315 | 1.398302 |
| – | – | – | 0.4 | – | – | 0.0283531 | 0.638059 | 0.167298 | 1.397888 |
| – | – | – | 0.7 | – | – | 0.0283275 | 0.640943 | 0.167273 | 1.397264 |
| 0.5 | 0.2 | 0.2 | 0.2 | 0.2 | 1 | 0.0283702 | 0.636141 | 0.167315 | 1.398302 |
| – | – | – | – | 0.6 | – | 0.0244409 | 0.673190 | 0.173017 | 1.516147 |
| – | – | – | – | 1.0 | – | 0.0220812 | 0.706038 | 0.176332 | 1.609329 |
| 0.5 | 0.2 | 0.2 | 0.2 | 0.2 | 1 | 0.0283702 | 0.636141 | 0.167315 | 1.398302 |
| – | – | – | – | – | 4 | 0.0284366 | 0.641055 | 0.185297 | 1.411401 |
| – | – | – | – | – | 6 | 0.0284335 | 0.641570 | 0.188534 | 1.420791 |
© 2019 by the authors. Licensee MDPI, Basel, Switzerland. This article is an open access article distributed under the terms and conditions of the Creative Commons Attribution (CC BY) license (http://creativecommons.org/licenses/by/4.0/).
Share and Cite
Ali, L.; Liu, X.; Ali, B.; Mujeed, S.; Abdal, S. Finite Element Simulation of Multi-Slip Effects on Unsteady MHD Bioconvective Micropolar Nanofluid Flow Over a Sheet with Solutal and Thermal Convective Boundary Conditions. Coatings 2019, 9, 842. https://doi.org/10.3390/coatings9120842
Ali L, Liu X, Ali B, Mujeed S, Abdal S. Finite Element Simulation of Multi-Slip Effects on Unsteady MHD Bioconvective Micropolar Nanofluid Flow Over a Sheet with Solutal and Thermal Convective Boundary Conditions. Coatings. 2019; 9(12):842. https://doi.org/10.3390/coatings9120842
Chicago/Turabian StyleAli, Liaqat, Xiaomin Liu, Bagh Ali, Saima Mujeed, and Sohaib Abdal. 2019. "Finite Element Simulation of Multi-Slip Effects on Unsteady MHD Bioconvective Micropolar Nanofluid Flow Over a Sheet with Solutal and Thermal Convective Boundary Conditions" Coatings 9, no. 12: 842. https://doi.org/10.3390/coatings9120842
APA StyleAli, L., Liu, X., Ali, B., Mujeed, S., & Abdal, S. (2019). Finite Element Simulation of Multi-Slip Effects on Unsteady MHD Bioconvective Micropolar Nanofluid Flow Over a Sheet with Solutal and Thermal Convective Boundary Conditions. Coatings, 9(12), 842. https://doi.org/10.3390/coatings9120842

