Luminescence of CsI and CsI:Na Films under LED and X-ray Excitation
Abstract
1. Introduction
2. Materials and Methods
3. Results and Discussion
3.1. Columnar Structure
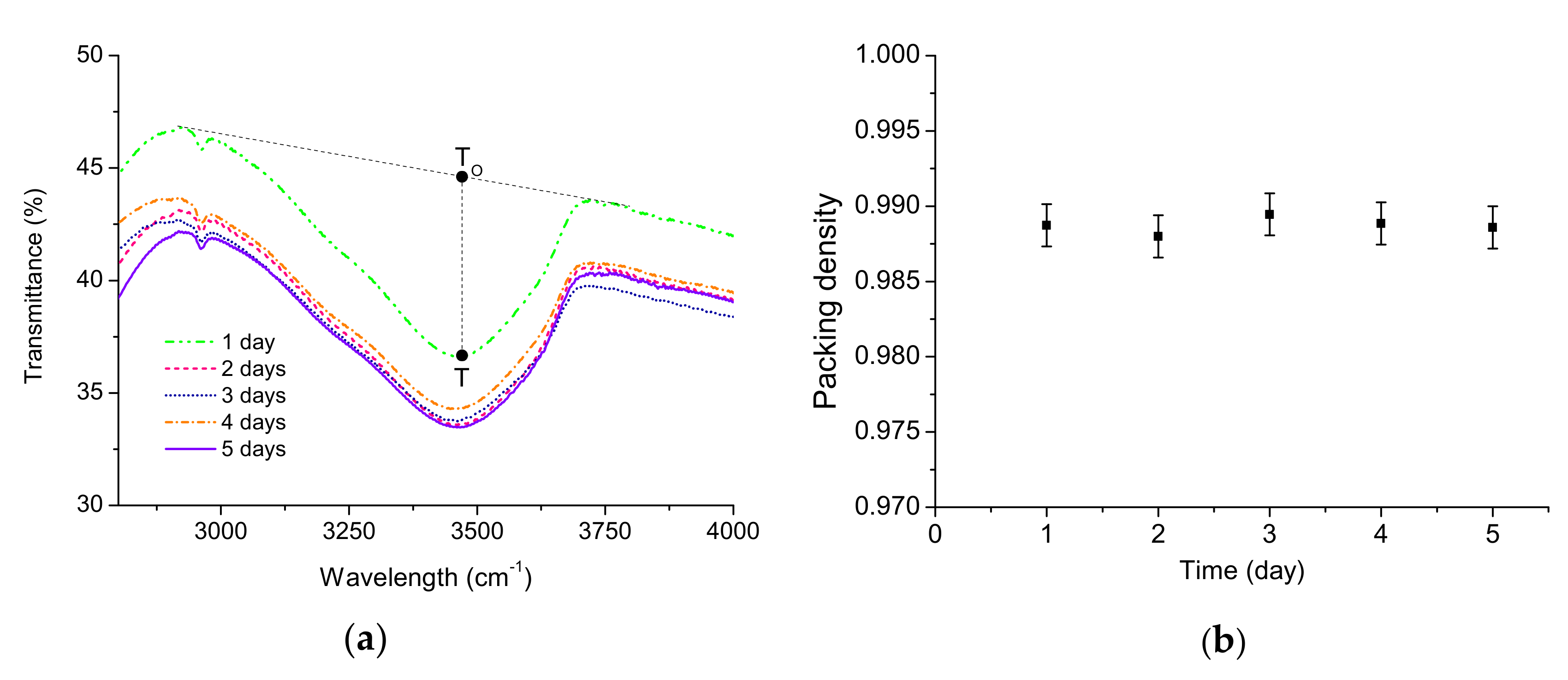
3.2. Moisture Absorption
3.3. X-ray Diffraction Affected by Heat, Thickness, and Na Dopant
3.3.1. XRD of Undoped CsI Film
3.3.2. XRD of CsI:Na Film
3.3.3. The Strain of CsI:Na Film
3.4. Analysis of PL and XL Illumination by Energy Band Path
3.4.1. Fluorescence Spectrometry of UV Luminescence
3.4.2. Fluorescence Spectrometry of X-ray Luminescence
3.4.3. Comparison of PL and XL
4. Conclusions
Author Contributions
Funding
Conflicts of Interest
References
- Breskin, A. CsI UV photocathodes: History and mystery. Nucl. Instrum. Meth. A 1996, 371, 116–136. [Google Scholar] [CrossRef]
- Simons, D.G.; Fraser, G.W.; De Korte, P.A.J.; Pearson, J.F.; De Jong, L. UV and XUV quantum detection efficiencies of CsI-coated microchannel plates. Nucl. Instrum. Meth. A 1987, 261, 579–586. [Google Scholar] [CrossRef]
- Seltzer, S.M.; Berger, M.J. Evaluation of the collision stopping power of elements and compounds for electrons and positrons. Int. J. Appl. Radiat. Isot. 1982, 33, 1189–1218. [Google Scholar] [CrossRef]
- Boutboul, T.; Akkerman, A.; Breskin, A.; Chechik, R. Electron inelastic mean free path and stopping power modeling in alkali halides in the 50 eV–10 keV energy range. J. Appl. Phys. 1996, 79, 6714–6721. [Google Scholar] [CrossRef]
- Kubota, S.; Sakuragi, S.; Hashimoto, S.; Ruan, J.Z. A new scintillation material: Pure CsI with 10 ns decay time. Nucl. Instrum. Meth. Phys. Res. A 1988, 268, 275–277. [Google Scholar] [CrossRef]
- Menefee, J.; Cho, Y.; Swinehart, C. Sodium activated cesium iodide as a gamma ray and charge particle detector. IEEE Trans. Nucl. Sci. 1967, 14, 464–467. [Google Scholar] [CrossRef]
- Kowalski, M.P.; Fritz, G.G.; Cruddace, R.G.; Unzicker, A.E.; Swanson, N. Quantum efficiency of cesium iodide photocathodes at soft X-ray and extreme ultraviolet wavelengths. Appl. Opt. 1986, 25, 2440–2446. [Google Scholar] [CrossRef]
- Mikhailik, K.V.; Kapustyanyk, V.; Tsybulskyi, V.; Rudyk, V.; Kraus, H. Luminescence and scintillation properties of CsI—A potential cryogenic scintillator. Phys. Status Solidi B 2015, 252, 804–810. [Google Scholar] [CrossRef]
- Nishimura, H.; Sakata, M.; Tsujimoto, T.; Nakayama, M. Origin of the 4.1-eV luminescence in pure CsI scintillator. Phys. Rev. B 1995, 51, 2167–2172. [Google Scholar] [CrossRef]
- Yang, P.; Harmon, C.D.; Doty, F.P.; Ohlhausen, J.A. Effect of humidity on scintillation performance in Na and Tl activated CsI crystals. IEEE Trans. Nucl. Sci. 2014, 61, 1024–1031. [Google Scholar] [CrossRef]
- Von der Weid, J.P.; Aegerter, M.A. Magneto-optical effects on the emission of self-trapped exciton perturbed by Na impurity in CsI:Na crystal. J. Lumin. 1979, 18, 858–862. [Google Scholar]
- Liu, F.; Ouyang, X.; Tang, M.; Xiao, Y.; Liu, B.; Zhang, X.; Feng, Y.; Zhang, J.; Liu, J. Scaling-induced enhancement of X-ray luminescence in CsI(Na) crystals. Appl. Phys. Lett. 2013, 102, 181107. [Google Scholar] [CrossRef]
- Jammal, N.; Rai, R.; Singh, B.K. Structural and optical properties of CsI thin films: Influence of film thickness and humidity. Phys. B Condens. Matter. 2018, 546, 21–27. [Google Scholar] [CrossRef]
- Zeng, Y.S. The Fluorescence Luminescence Efficiency and X-ray Image Analysis of the Sodium-Doped Cesium Iodide Thin Films Irradiated by UV Light and X-ray. Master’s Thesis, Fu Jen Catholic University, New Taipei City, Taiwan, 2017. [Google Scholar]
- Hsieh, C.C. The Fluorescence Luminescence Efficiency and Anti-Deliquescence of CsI(Na) Film Protected by Organic Film. Master’s Thesis, Fu Jen Catholic University, New Taipei City, Taiwan, 2015. [Google Scholar]
- Chu, C.H. The Fluorescence Luminescence Efficiency by UV Light and X-ray of the Scintillator Sodium-Doped Cesium Iodide Thin Films. Master’s Thesis, Fu Jen Catholic University, New Taipei City, Taiwan, 2014. [Google Scholar]
- Lu, C.C. The Luminescence-Energy Efficiency and Anti-Deliquesce of CsI, NaI and Their Mixture Films. Master’s Thesis, Fu Jen University, New Taipei City, Taiwan, 2019. [Google Scholar]
- Jenkins, R.; Fawcett, T.G.; Smith, D.K.; Visser, J.W.; Morris, M.C.; Frevel, L.K. JCPDS—international centre for diffraction data sample preparation methods in X-Ray Powder Diffraction. Powder Diffr. 1986, 1, 51–63. [Google Scholar] [CrossRef]
- Chen, H.L.; Hsu, J.C.; Lin, Y.H. Luminescence efficiency and optical property of CsI and NaI films. In Proceedings of the 51st SVC Annual Technical Conference, Chicago, IL, USA, 21–22 April 2008. [Google Scholar]
- Hsu, J.C.; Lu, C.C.; Wang, P.W.; Chen, H.L.; Yu, J.C. The luminescence-energy efficiency and anti-deliquesce of CsI, NaI and the mixture films. In Proceedings of the ISSP2009: 10th International Symposium on Sputtering & Plasma Processes, Kanagawa, Japan, 8–10 July 2009. [Google Scholar]
- Menge, P.R. Scintillation Pixel Design and Method of Operation. U.S. Patent 8,324,583, 4 December 2012. [Google Scholar]
- Nitti, M.A.; Cioffi, N.; Nappi, E.; Singh, B.K.; Valentini, A. Influence of bias voltage on the stability of CsI photocathodes exposed to air. Nucl. Instr. Meth. A 2002, 493, 16–24. [Google Scholar] [CrossRef]
- Shahova, K.V.; Panova, A.N.; Goriletsky, V.I.; Prikhod’ko, Y.A.; Gavrylyuk, V.P.; Korsunova, S.P.; Kosinov, N.N. Luminescence and scintillation properties of Na-activated CsI-CsBr crystals. Radiat. Meas. 2001, 33, 769–771. [Google Scholar] [CrossRef]
- Keillor, M.E.; Cooper, M.W.; Hayes, J.C.; McIntyre, J.I. Degradation of 81 keV 133Xe gamma-rays into the 31 keV X-ray peak in CsI scintillators. J. Radioanal. Nucl. Chem. 2009, 282, 699–702. [Google Scholar] [CrossRef]
- Crannell, C.J.; Kurz, R.J.; Viehmann, W. Characteristics of cesium iodide for use as a particle discriminator for high-energy cosmic rays. Nucl. Instr. Meth. 1974, 115, 253–261. [Google Scholar] [CrossRef]
- Rodnyi, P.A. Physical Processes in Inorganic Scintillators; CRC Press: Boca Raton, FL, USA, 1997; Volume 14. [Google Scholar]
- Bergenius, S. GLAST CsI (Tl) Crystals. Ph.D. Thesis, Aarhus University, Aarhus, Denmark, 2004. [Google Scholar]
- Birks, J.B. The Theory and Practice of Scintillation Counting: International Series of Monographs in Electronics and Instrumentation; Elsevier: Amsterdam, The Netherlands, 1997; Volume 27. [Google Scholar]
- Song, K.S.; Williams, R.T. Self-Trapped Excitons; Springer: New York, NY, USA, 1996; Volume 105. [Google Scholar]
- Ong, C.K.; Song, K.S.; Monnier, R.; Stoneham, A.M. Electronic structure and luminescence of CsI: Na. J. Phys. C 1979, 12, 4641. [Google Scholar] [CrossRef]
- Pai, D.M.; Enck, R.C. Onsager mechanism of photogeneration in amorphous selenium. Phys. Rev. B 1975, 11, 5163. [Google Scholar] [CrossRef]
- Lu, X.; Li, Q.; Bizarri, G.A.; Yang, K.; Mayhugh, M.R.; Menge, P.R.; Williams, R.T. Coupled rate and transport equations modeling proportionality of light yield in high-energy electron tracks: CsI at 295 K and 100 K; CsI: Tl at 295 K. Phys. Rev. B 2015, 92, 115207. [Google Scholar] [CrossRef]
- Hsu, O.L.; Bates, C.W., Jr. Luminescence phenomena In Cs:Na. J. Lumin. 1975, 11, 65–74. [Google Scholar] [CrossRef]
- Hu, J.P.; Liu, F.; Ouyang, X.P. The CL and PL characteristic of different scale CsI: Na crystals. arXiv 2014, arXiv:1408.4212. [Google Scholar]
- Yakovlev, V.; Trefilova, L.; Meleshko, A.; Ganja, Y. Short-living absorption and emission of CsI(Na). J. Lumin. 2011, 131, 2579–2581. [Google Scholar] [CrossRef]
- Jing, T.; Cho, G.; Drewery, J.; Fujieda, I.; Kaplan, S.N.; Mireshghi, A.; Perez-Mendez, V.; Wildermuth, D. Enhanced columnar structure in CsI layer by substrate patterning. IEEE Trans. Nucl. Sci. 1992, 39, 1195–1198. [Google Scholar] [CrossRef][Green Version]
- Ma, Y.S.; Hsu, J.C.; Liu, C.P.; Chen, H.L. Fabrication of columnar CsI and CsI: Na scintillation films deposited by vacuum thermal evaporation at high deposition rates. Vacuum 2015, 122, 96–102. [Google Scholar] [CrossRef]
- Kramer, P.; Sharma, A.K.; Hennecke, E.E.; Yasuda, H. Polymerization of para-xylylene derivatives (parylene polymerization). I. Deposition kinetics for parylene N and parylene C. J. Polym. Sci. 2003, 22, 475–491. [Google Scholar] [CrossRef]
- Marszalek, T.; Gazicki-Lipman, M.; Ulanski, J. Parylene C as a versatile dielectric material for organic field-effect transistors. Beilstein J. Nanotechnol. 2017, 8, 1532–1545. [Google Scholar] [CrossRef]
- Thornton, J.A. Influence of apparatus geometry and deposition conditions on the structure and topography of thick sputtered coatings. J. Vac. Sci. Technol. 1974, 11, 666–670. [Google Scholar] [CrossRef]
- Sharifi, H.; Lahiji, R.R.; Lin, H.C.; Peide, D.Y.; Katehi, L.P.; Mohammadi, S. Characterization of Parylene-N as flexible substrate and passivation layer for microwave and millimeter-wave integrated circuits. IEEE Trans. Adv. Pack. 2009, 32, 84–92. [Google Scholar] [CrossRef]
- Kinosita, K.; Nishibori, M. Porosity of MgF2 films-evaluation based on changes in refractive index due to adsorption of vapors. J. Vac. Sci. Technol. 1969, 6, 730–733. [Google Scholar] [CrossRef]
- Atanassov, G.; Thielsch, R.; Popov, D. Optical properties of TiO2, Y2O3 and CeO2 thin films deposited by electron beam evaporation. Thin Solid Films 1993, 223, 288–292. [Google Scholar] [CrossRef]
- Fairchild, S.B.; Back, T.C.; Murray, P.T.; Cahay, M.M.; Shiffler, D.A. Low work function CsI coatings for enhanced field emission properties. J. Vac. Sci. Technol. A 2011, 29, 031402. [Google Scholar] [CrossRef]
- Garg, P.; Rai, R.; Singh, B.K. Structural characterization of “as-deposited” cesium iodide films studied by X-ray diffraction and transmission electron microscopy techniques. Nucl. Instrum. Meth. Phys. Res. A 2014, 736, 128–134. [Google Scholar]
- Patterson, A.L. The Scherrer formula for X-ray particle size determination. Phys. Rev. 1939, 56, 978. [Google Scholar] [CrossRef]
- Pies, W.; Weiss, A. Landolt–Bornstein tables. In Crystal Structure Data of Inorganic Compounds; Hellwege, K.H., Hellwege, A.M., Eds.; Springer: New York, NY, USA, 1973; Landolt-Bornstein, Group III; Volume 7. [Google Scholar]
- Ahmed, S.N. Physics and Engineering of Radiation Detection; Academic Press Inc.: Cambridge, MA, USA, 2007. [Google Scholar]
- Moszyński, M.; Syntfeld-Każuch, A.; Swiderski, L.; Sibczyński, P.; Grodzicka, M.; Szczęśniak, T.; Gektin, A.V.; Schotanus, P.; Shiran, N.; Williams, R.T. Energy resolution and slow components in undoped CsI crystals. IEEE Trans. Nucl. Sci. 2016, 63, 459–466. [Google Scholar] [CrossRef]
- Sawant, A.; Zeman, H.; Samant, S.; Lovhoiden, G.; Weinberg, B.; DiBianca, F. Theoretical analysis and experimental evaluation of a CsI (Tl) based electronic portal imaging system. Med. Phys. 2002, 29, 1042–1053. [Google Scholar] [CrossRef]
- Nakayama, M.; Ando, N.; Hirai, J.; Nishimura, H. Scintillation activated by nanoparticle formation in CsI:Na thin films. J. Lumin. 2004, 108, 359–363. [Google Scholar] [CrossRef]
- Herman, M.A.; Bimberg, D.; Christen, J. Heterointerfaces in quantum wells and epitaxial growth processes: Evaluation by luminescence techniques. J. Appl. Phys. 1991, 70, R1–R52. [Google Scholar] [CrossRef]













| Scintillator | Excited Method | Temperature | Wavelength (nm) | STE Style |
|---|---|---|---|---|
| undoped | two-photon absorption of 3.18 eV light | 4.5 K–RT 1 | 288–335 | on-center [9] |
| undoped | CL 2 | RT | 305, 315 | on-center [34] |
| undoped | X-ray | 50 K–RT | 285–340 | on-center [8] |
| undoped | Am-241 gamma ray | RT | 310 | STE [32] |
| doped Na | PL 265 nm/CL | RT | 315 | STE [8,34] |
| doped Na | CL | RT | 305 | on-center [8] |
| doped Na | X-ray | 80 K | 288/335 | STE [35] |
| doped Na | X-ray | 4K | 290 | [10] |
| doped Na | X-ray | 77 K/RT | 344/420 | on/off center [9] |
| doped Na | 217–277 nm UV | LN 3/RT | 350/435 | [33] |
| Part | NaI (wt.%) | Deposition Rate (nm/sec) | Thickness (μm) | Reference |
|---|---|---|---|---|
| 1 | 0, 1, 10 | 3–5 | ~5 | [17] |
| 2 | 0, 1 | 30, 50, 70, 90, 110 | ~8 | [37] |
| 3 | 0, 0.5, 1, 2 | 10–20 | 70–176 | [14,16] |
| 4 | 0, 0.5, 1, 2 | 20-25 | ~15 (rotation) | [15] |
| Part | NaI (wt.%) | Thickness (µm) | Deposition Rate (nm/sec) | Temperature (°C) | Primary XRD |
|---|---|---|---|---|---|
| 1 | 0 | 5 | 3–5 | without heating | (200) |
| Tp: 100, 150, 200, 250, 300 | (200) | ||||
| Ts: 100 | (200) | ||||
| Ts: 150, 200, 250 | (110) | ||||
| Ts: 300 | (200) | ||||
| 1, 10 | without heating | (211) | |||
| 2 | 0 | 8 | 30, 50, 70, 90, 110 | without heating | (200) |
| 30 | Tp: 150, 200, 250, 300 | (200) | |||
| 1 | 30, 50, 70, 110, | without heating | (310) | ||
| 90 | (211) | ||||
| 30 | Tp: 150, 200, 250, 300 | (310), (200) | |||
| 3 | 0 | 176 * | 25 | without heating | (211) |
| 0, 0.5 | 70, 120 * | 25 | Ts: 200 | (200) | |
| 1 | 70 | 25 | Ts: 150 | (200) | |
| 1,2 | 70 | 25 | Ts: 200 | (310) | |
| 4 | 0, 0.5 | 12 | 20 | Ts: 150, 170, 200 | (200) |
| 1, 2 | 12 | 20 | Ts: 170, 200 | (310) |
© 2019 by the authors. Licensee MDPI, Basel, Switzerland. This article is an open access article distributed under the terms and conditions of the Creative Commons Attribution (CC BY) license (http://creativecommons.org/licenses/by/4.0/).
Share and Cite
Hsu, J.-C.; Ma, Y.-S. Luminescence of CsI and CsI:Na Films under LED and X-ray Excitation. Coatings 2019, 9, 751. https://doi.org/10.3390/coatings9110751
Hsu J-C, Ma Y-S. Luminescence of CsI and CsI:Na Films under LED and X-ray Excitation. Coatings. 2019; 9(11):751. https://doi.org/10.3390/coatings9110751
Chicago/Turabian StyleHsu, Jin-Cherng, and Yu-Shen Ma. 2019. "Luminescence of CsI and CsI:Na Films under LED and X-ray Excitation" Coatings 9, no. 11: 751. https://doi.org/10.3390/coatings9110751
APA StyleHsu, J.-C., & Ma, Y.-S. (2019). Luminescence of CsI and CsI:Na Films under LED and X-ray Excitation. Coatings, 9(11), 751. https://doi.org/10.3390/coatings9110751

