Antimicrobial Double-Layer Coating Prepared from Pure or Doped-Titanium Dioxide and Binders
Abstract
1. Introduction
2. Materials and Methods
2.1. Materials
2.2. Preparation and Characterization of Doped-TiO2 Particles
2.3. Coating Preparation
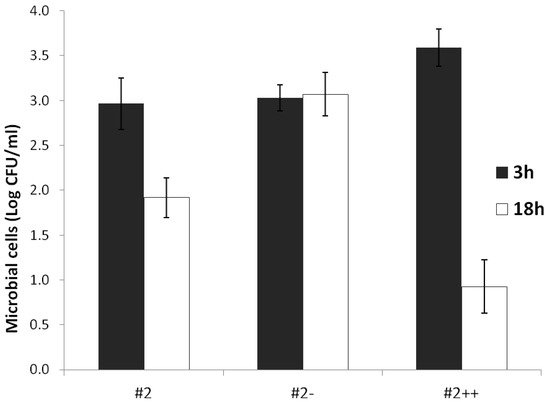
2.4. Antimicrobial Activity Test
2.5. Durability of TiO2 Coating
2.6. Statistical Analysis
3. Results and Discussion
3.1. Doped-TiO2 Preparation
3.2. Microbe-Free Surfaces
4. Conclusions
Acknowledgments
Author Contributions
Conflicts of Interest
References
- USDA Document. Available online: https://www.ers.usda.gov/data-products (accessed on 18 January 2018).
- Wells, H.F.; Buzby, J.C. Dietary Assessment of Major Trends in U.S. Food Consumption, 1970–2005; Economic Information Bulletin No. (EIB-33); U.S. Department of Agriculture Economic Research Service: Washington, DC, USA, 2008.
- USDA Document. Available online: https://www.choosemyplate.gov (accessed on 18 January 2018).
- Beuchat, L.R.; Nail, B.V.; Adler, B.B.; Clavero, M.R.S. Efficacy of spray application of chlorinated water in killing pathogenic bacteria on raw apples, tomatoes, and lettuce. J. Food Prot. 1998, 61, 1305–1311. [Google Scholar] [CrossRef]
- Outbreaks of Escherichia coli O157:H7 infection associated with drinking unpasteurized apple cider—October 1996. Update on emerging infections from the Center for Disease Control and Prevention. Ann. Emerg. Med. 1997, 29, 645–646.
- Lynch, M.F.R.; Tauxe, V.C.; Hedberg, W. The growing burden of foodborne outbreaks due to contaminated fresh produce: Risks and opportunities. Epidemiol. Infect. 2009, 137, 307–315. [Google Scholar] [CrossRef]
- Sapers, G.; Solomon, E.; Matthews, K.R. The Produce Contamination Problem: Causes and Solutions; Academy Press: Burlington, MA, USA, 2009. [Google Scholar]
- Langholz, J.A.; Jay-Russell, M.T. Potential role of wildlife in pathogenic contamination of fresh produce. Hum. Wildl. Interact. 2013, 7, 140–157. [Google Scholar]
- Augugliaro, V.; Bellardita, M.; Loddo, V.; Palmisano, G.; Palmisano, L.; Yurdakal, S. Overview on oxidation mechanism of organic compounds by TiO2 in heterogeneous photocatalysis. J. Photochem. Photobiol. C Photochem. Rev. 2012, 13, 224–245. [Google Scholar] [CrossRef]
- Pelaez, M.; Nolan, N.; Pillai, S.C.; Seery, M.K.; Falaras, P.; Kontos, A.G.; Dunlop, P.S.M.; Hamilton, J.W.J.; Byrne, J.A.; O’shea, K.; et al. A review on the visible light active titanium dioxide photocatalysts for environmental applications. Appl. Catal. B Environ. 2012, 15, 331–349. [Google Scholar] [CrossRef]
- Kedziora, A.; Trek, W.S.; Kepinski, L.; Bulga-Ploskonsa, G.; Doroszkiewicz, W. Synthesis and antibacterial activity of novel titanium dioxide doped with silver. J. Sol-Gel Sci. Technol. 2012, 62, 79–86. [Google Scholar] [CrossRef]
- Roy, A.; Parveen, A.; Koppalkar, A.R.; Prasad, A. Effect of nano-titanium dioxide with different antibiotics against methicillin-resistant Staphylococcus Aureus. J. Biomater. Nanotechnol. 2010, 1, 37–41. [Google Scholar] [CrossRef]
- Balek, V.; Li, D.; Šubrt, J.; Večerníková, E.; Hishita, S.; Mitsuhashi, T.; Haneda, H. Characterization of nitrogen and fluorine co-doped titania photocatalyst: Effect of temperature on microstructure and surface activity properties. J. Phys. Chem. Solids 2007, 68, 770–784. [Google Scholar] [CrossRef]
- Li, D.; Haneda, H.; Hishita, S.; Ohashi, N. Visible-light-driven N-F-Codoped TiO2 photocatalysts. I. synthesis by spray pyrolysis and surface characterization. Chem. Mater. 2005, 17, 2588–2595. [Google Scholar] [CrossRef]
- Im, J.S.; Yun, S.-M.; Lee, Y.-S. Investigation of multielemental catalysts based on decreasing the ban gap of titinia for enhanced visible light photocatalysis. J. Colloid Interface Sci. 2009, 336, 183–188. [Google Scholar] [CrossRef] [PubMed]
- Corradini, E.A.; de Medeiros, S.; Carvalho, E.; Curvelo, A.J.F.; Mattoso, H.L.C. Mechanical and morphological characterization of starch/zein blends plasticized with glycerol. J. Appl. Polym. Sci. 2006, 101, 4133–4139. [Google Scholar] [CrossRef]
- Parris, N.; Coffin, D.R. Composition factors affecting the water vapor permeability and tensile properties of hydrophilic zein films. J. Agric. Food Chem. 1997, 45, 1596–1599. [Google Scholar] [CrossRef]
- Lawton, J.W. Zein: A history of processing and use. Cereal Chem. 2002, 79, 1–18. [Google Scholar] [CrossRef]
- Liu, L.S.; Fishman, M.L.; Hicks, K.B.; Kende, M.; Ruthel, G. Pectin/Zein Beads for Potential Colon-Specific Drug Delivery: Synthesis and in vitro Evaluation. Drug Deliv. 2006, 13, 417–423. [Google Scholar] [CrossRef] [PubMed]
- Torres-Giner, S.; Gimenez, E.; Lagaron, J.M. Characterization of the morphology and thermal properties of zein prolamine nanostructures obtained by electrospinning. Food Hydrocoll. 2008, 22, 601–614. [Google Scholar] [CrossRef]
- Oh, Y.K.; Flanagan, D. Diffusional properties of zein membranes and matrices. Drug Dev. Ind. Pharm. 2010, 36, 497–507. [Google Scholar] [CrossRef] [PubMed]
- Zhang, B.; Luo, Y.; Wang, Q.A. Development of silver-zein composites as a promising antimicrobial agent. Biomacromolecules 2010, 11, 2366–2375. [Google Scholar] [CrossRef] [PubMed]
- Li, W.; Liu, L.S.; Jin, T.Z. Antimicrobial activity of allyl Isothiocyanate used to coat biodegradable composite films as affected by storage and handling conditions. J. Food Prot. 2012, 75, 2234–2237. [Google Scholar] [CrossRef] [PubMed]
- Chen, C.; Bai, H.; Chang, S.; Chang, C.; Den, W. Preparation of N-doped TiO2 photocatalyst by atmospheric pressure plasma process for VOCs decomposition under UV and visible light sources. J. Nanopart. Res. 2006, 9, 365–375. [Google Scholar] [CrossRef]
- Grey, I.E.; Li, C.; MacRae, C.M.; Bursill, L.A. Boron Incorporation into Rutile. Phase Equilibria and Structure Considerations. J. Solid State Chem. 1996, 127, 240–247. [Google Scholar] [CrossRef]
- Park, H.; Choi, W. Effects of TiO2 Surface Fluorination on Photocatalytic Reactions and Photoelectrochemical Behaviors. J. Phys. Chem. B 2004, 108, 4086–4093. [Google Scholar] [CrossRef]
- Giannakopoulou, T.; Todorova, N.; Trapalis, C.; Vaimakis, T. Effect of fluorine doping and SiO2 under-layer on the optical properties of TiO2 thin films. Mater. Lett. 2007, 61, 4474–4477. [Google Scholar] [CrossRef]
- Yu, J.; Zhao, X.; Zhao, Q.; Wang, G. Preparation and characterization of super-hydrophilic porous TiO2 coating films. Mater. Chem. Phys. 2001, 68, 253–259. [Google Scholar] [CrossRef]
- Mi, Y.Y.; Wang, S.J.; Chai, J.W.; Pan, J.S.; Huan, C.H.A.; Feng, Y.P. Effect of nitrogen doping on optical properties and electronic structures of SrTiO3 film. Appl. Phys. Lett. 2006, 89, 231922. [Google Scholar] [CrossRef]
- Serpone, N. Is the band gap of pristine TiO2 narrowed by anion- and cation-doping of titanium dioxide in second-generation photocatalysts? J. Phys. Chem. B 2006, 110, 24287–24293. [Google Scholar] [CrossRef] [PubMed]
- Zaleska, A. Doped-TiO2: A Review. Recent Pat. Eng. 2008, 2, 157–164. [Google Scholar] [CrossRef]
- Grabowska, E.; Reszczyńska, J.; Zaleska, A. Mechanism of phenol photodegradation in the presence of pure and modified-TiO2: A review. Water Res. 2012, 46, 5453–5471. [Google Scholar] [CrossRef] [PubMed]
- Liou, J.W.; Chang, H.H. Bactericidal effects and mechanisms of visible light-responsive titanium dioxide photocatalysts on pathogenic bacteria. Arch. Immunol. Ther. Exp. 2012, 60, 267–275. [Google Scholar] [CrossRef] [PubMed]
- Chen, F.; Yang, X.; Wu, Q. Photocatalytic Oxidation of Escherischia coli, Aspergillus niger, and Formaldehyde under Different Ultraviolet Irradiation Conditions. Environ. Sci. Technol. 2009, 43, 4606–4611. [Google Scholar] [CrossRef] [PubMed]
- Wu, P.; Xie, R.; Imlay, K.; Shang, J.K. Visible-Light-Induced Bactericidal Activity of Titanium Dioxide Codoped with Nitrogen and Silver. Environ. Sci. Technol. 2010, 44, 6992–6997. [Google Scholar] [CrossRef] [PubMed]








| Sample | B | C | N | O | F | Ti |
|---|---|---|---|---|---|---|
| Non-treated TiO2 | 0.0 | 0.0 | 0.0 | 68.2 | 0.0 | 30.8 |
| Modified TiO2 | 0.4 | 17.8 | 0.6 | 56.0 | 1.2 | 22.5 |
© 2018 by the authors. Licensee MDPI, Basel, Switzerland. This article is an open access article distributed under the terms and conditions of the Creative Commons Attribution (CC BY) license (http://creativecommons.org/licenses/by/4.0/).
Share and Cite
Li, R.; Jin, T.Z.; Liu, Z.; Liu, L. Antimicrobial Double-Layer Coating Prepared from Pure or Doped-Titanium Dioxide and Binders. Coatings 2018, 8, 41. https://doi.org/10.3390/coatings8010041
Li R, Jin TZ, Liu Z, Liu L. Antimicrobial Double-Layer Coating Prepared from Pure or Doped-Titanium Dioxide and Binders. Coatings. 2018; 8(1):41. https://doi.org/10.3390/coatings8010041
Chicago/Turabian StyleLi, Ran, Tony Z. Jin, Zengshe Liu, and LinShu Liu. 2018. "Antimicrobial Double-Layer Coating Prepared from Pure or Doped-Titanium Dioxide and Binders" Coatings 8, no. 1: 41. https://doi.org/10.3390/coatings8010041
APA StyleLi, R., Jin, T. Z., Liu, Z., & Liu, L. (2018). Antimicrobial Double-Layer Coating Prepared from Pure or Doped-Titanium Dioxide and Binders. Coatings, 8(1), 41. https://doi.org/10.3390/coatings8010041

