Research Progress of High-Entropy Ceramic Films via Arc Ion Plating
Abstract
1. Introduction
2. High-Entropy Ceramic Systems and Their Thermodynamic Principles
2.1. High Entropy Effect
2.2. Lattice Distortion Effect
2.3. Sluggish Diffusion Effect
2.4. Cocktail Effect
3. Influence of AIP Process Parameters on the Microstructure of High-Entropy Ceramic Films
3.1. Substrate Bias

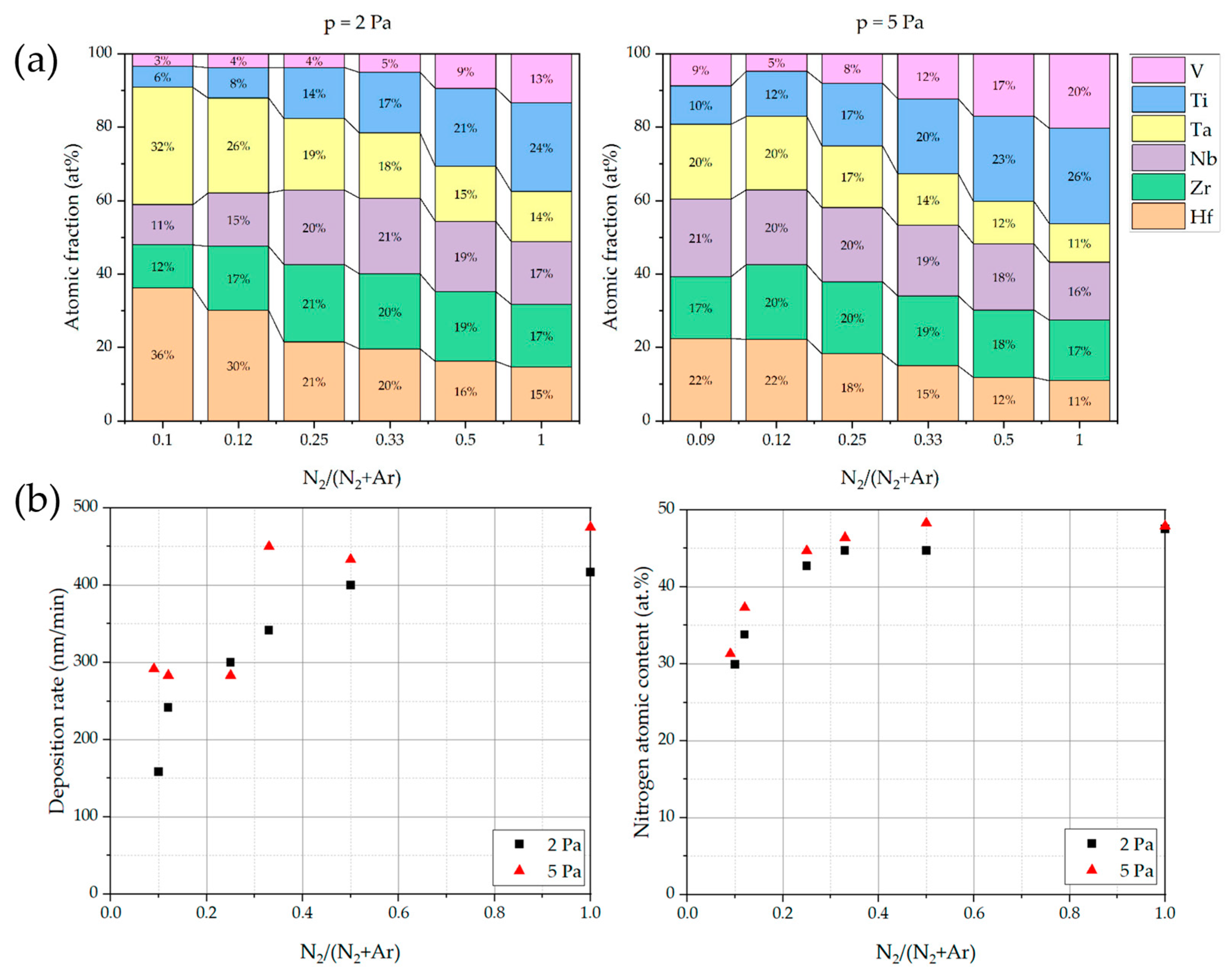
3.2. Reactive Gas Flow Rate


3.3. Arc Current
3.4. Discussion on Film Failure and Durability
4. Primary Properties of High-Entropy Ceramic Films Deposited by AIP
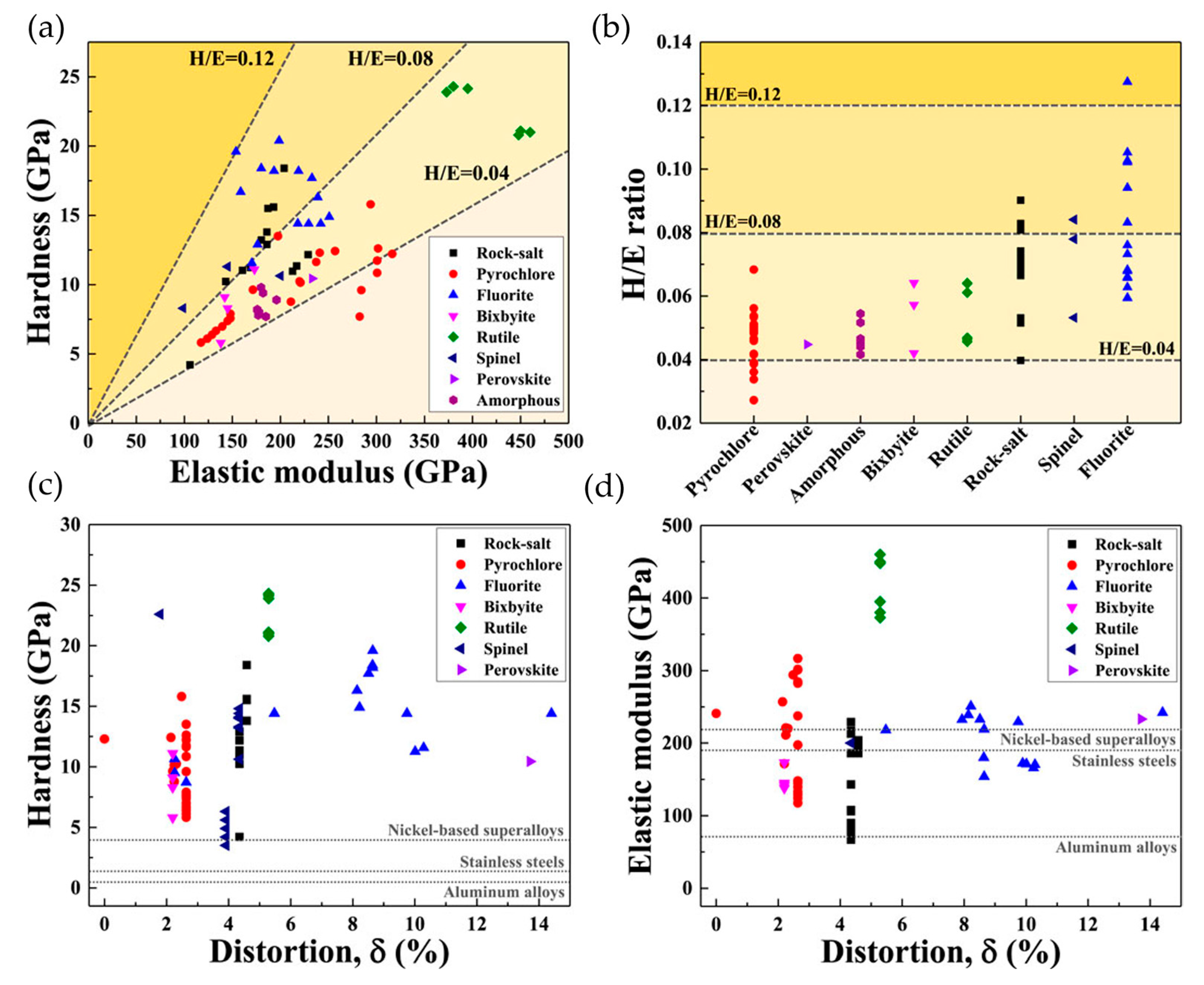
4.1. Mechanical Properties
| Film System | Parameters | Hardness (GPa) | Elastic Modulus (GPa) | Ref. |
|---|---|---|---|---|
| (AlCrMoTiNi)1−xNx | AIP. x = 0, −50 V, 0.15 Pa | 13.3 | 212.7 | [69] |
| (AlCrMoTiNi)1−xNx | AIP. x = 0.45, −50 V, 0.15 Pa | 32.26 | 333.7 | |
| (ZrTiNbV)N | AIP. Rn = 0, −200V, 200 °C, 0.28–0.31 Pa | 7.67 | 176 | [70] |
| (ZrTiNbV)N | AIP. Rn = 3, −200V, 200 °C, 0.54–0.59 Pa | 33.3 | 411 | |
| (MoNbTaVW)1−xNx | AIP/MS. x = 0, 120 A, 5 Pa | 17 | - | [92] |
| (MoNbTaVW)1−xNx | AIP/MS. x = 0.35, 0.15 A, 0.5 Pa | 28 | - | |
| (AlCrTaTiZr)N | MS. −100 V, 150 W | 30 | 277 | [63] |
| (AlCrMoTaTiZr)N | MS. Rn = 40%, 150 W, 0.8 Pa | 40.2 | 420 | |
| (AlCrNbSiTiV)N | MS. −100 V, 200 W | 41 | 410 | |
| (HfNbTiVZr)N | AIP. −110 V, 5 Pa | 44.3 | 460 | |
| (CrHfTiVZr)N | MS. −100 V, 350 W | 34.1 | 316 | |
| (HfNbTaTiVZr)N | AIP. −70 V | 45.32 | 314 | |
| (TiCrZrVAl)N | AIP. Rn = 0%, −200 V | 9.5 | 176 | [93] |
| (TiCrZrVAl)N | AIP. Rn = 80%, −200 V | 32.9 | 400 | |
| (NbMoCrTiAl)N | AIP. Cr-150 A, TiAl-180 A, Mo-90 A, Nb-120 A | 43 | 326 | [94] |
| (TiCrZrVNb)C | AIP. Rc = 0, −200 V, 350 °C | 11.8 | 200 | [71] |
| (TiCrZrVNb)C | AIP. Rc = 1, −200 V, 350 °C | 27.7 | 384 |

4.2. Tribological Performance
4.3. Electrochemical Performance
4.4. Oxidation Resistance
5. Prospects
6. Conclusions
Author Contributions
Funding
Institutional Review Board Statement
Informed Consent Statement
Data Availability Statement
Conflicts of Interest
References
- Yeh, J.-W.; Chen, S.-K.; Lin, S.-J.; Gan, J.-Y.; Chin, T.-S.; Shun, T.-T.; Tsau, C.-H.; Chang, S.-Y. Nanostructured High-Entropy Alloys with Multiple Principal Elements: Novel Alloy Design Concepts and Outcomes. Adv. Eng. Mater. 2004, 6, 299–303. [Google Scholar] [CrossRef]
- Zhao, H.; Sun, W.; Lu, Y.; Song, W.; Liu, H.; Li, M. Research status and prospects of high-entropy composite ceramics. J. Asian Ceram. Soc. 2025, 13, 267–283. [Google Scholar] [CrossRef]
- Patel, P.; Roy, A.; Sharifi, N.; Stoyanov, P.; Chromik, R.R.; Moreau, C. Tribological Performance of High-Entropy Coatings (HECs): A Review. Materials 2022, 15, 3699. [Google Scholar] [CrossRef] [PubMed]
- Muhammad Nadzri, N.I.; Halin, D.S.C.; Al Bakri Abdullah, M.M.; Joseph, S.; Mohd Salleh, M.A.A.; Vizureanu, P.; Burduhos-Nergis, D.-P.; Sandu, A.V. High-Entropy Alloy for Thin Film Application: A Review. Coatings 2022, 12, 1842. [Google Scholar] [CrossRef]
- Li, W.; Liu, P.; Liaw, P.K. Microstructures and properties of high-entropy alloy films and coatings: A review. Mater. Res. Lett. 2018, 6, 199–229. [Google Scholar] [CrossRef]
- Wan, Q.; Jia, B.Y.; Liu, P.; Luo, Y.; Chen, J.; Zhang, X.Y.; Xiao, Y.Y.; Abdelkader, T.K.; Refai, M.; Zhang, J.; et al. Microstructure and mechanical properties of FeCoCrNiAl0.1N high entropy alloy nitride coatings synthesized by cathodic arc ion plating using alloy target. Surf. Coat. Technol. 2023, 457, 129305. [Google Scholar] [CrossRef]
- Wang, W.; Huang, S.; Yasir, M.; Lv, M.; Guo, C.; Shi, Q.; Wei, C.; Lin, S.; Xiong, Y.; Dai, M. Hard and tough AlTiCrNiMo heterostructure high-entropy film deposited by arc ion plating method. Vacuum 2022, 203, 111272. [Google Scholar] [CrossRef]
- Zhang, R.-Z.; Reece, M.J. Review of high entropy ceramics: Design, synthesis, structure and properties. J. Mater. Chem. A 2019, 7, 22148–22162. [Google Scholar] [CrossRef]
- Greer, A.L. Confusion by design. Nature 1993, 366, 303–304. [Google Scholar] [CrossRef]
- Cantor, B.; Chang, I.T.H.; Knight, P.; Vincent, A.J.B. Microstructural development in equiatomic multicomponent alloys. Mater. Sci. Eng. A 2004, 375–377, 213–218. [Google Scholar] [CrossRef]
- Tian, Y.; Zhou, W.; Tan, Q.; Wu, M.; Qiao, S.; Zhu, G.; Dong, A.; Shu, D.; Sun, B. A review of refractory high-entropy alloys. Trans. Nonferrous Met. Soc. China 2022, 32, 3487–3515. [Google Scholar] [CrossRef]
- Otto, F.; Dlouhý, A.; Somsen, C.; Bei, H.; Eggeler, G.; George, E.P. The influences of temperature and microstructure on the tensile properties of a CoCrFeMnNi high-entropy alloy. Acta Mater. 2013, 61, 5743–5755. [Google Scholar] [CrossRef]
- Oses, C.; Toher, C.; Curtarolo, S. High-entropy ceramics. Nat. Rev. Mater. 2020, 5, 295–309. [Google Scholar] [CrossRef]
- Tsai, M.-H.; Yeh, J.-W. High-Entropy Alloys: A Critical Review. Mater. Res. Lett. 2014, 2, 107–123. [Google Scholar] [CrossRef]
- Wang, Z.; Li, Z.-T.; Zhao, S.-J.; Wu, Z.-G. High-entropy carbide ceramics: A perspective review. Tungsten 2021, 3, 131–142. [Google Scholar] [CrossRef]
- Zhang, Y.; Sun, S.-K.; Guo, W.-M.; Xu, L.; Zhang, W.; Lin, H.-T. Optimal preparation of high-entropy boride-silicon carbide ceramics. J. Adv. Ceram. 2021, 10, 173–180. [Google Scholar] [CrossRef]
- Wang, H.; Bi, J.; Yang, Y.; Qiao, L.; Liang, G.; Wang, S.; Yuan, J.; Chen, Y. Preparation, characterization and performance of high-entropy carbonitride ceramics. Ceram. Int. 2024, 50, 3034–3040. [Google Scholar] [CrossRef]
- Liaw, P.K.; Li, W. High Entropy Materials: Challenges and Prospects. Metals 2021, 11, 1643. [Google Scholar] [CrossRef]
- Huang, S.; Zhang, J.; Fu, H.; Xiong, Y.; Ma, S.; Xiang, X.; Xu, B.; Lu, W.; Zhang, Y.; Weber, W.J.; et al. Irradiation performance of high entropy ceramics: A comprehensive comparison with conventional ceramics and high entropy alloys. Prog. Mater. Sci. 2024, 143, 101250. [Google Scholar] [CrossRef]
- Nemani, S.K.; Torkamanzadeh, M.; Wyatt, B.C.; Presser, V.; Anasori, B. Functional two-dimensional high-entropy materials. Commun. Mater. 2023, 4, 16. [Google Scholar] [CrossRef]
- Sun, Y.; Dai, S. High-entropy materials for catalysis: A new frontier. Sci. Adv. 2021, 7, eabg1600. [Google Scholar] [CrossRef] [PubMed]
- Rost, C.M.; Sachet, E.; Borman, T.; Moballegh, A.; Dickey, E.C.; Hou, D.; Jones, J.L.; Curtarolo, S.; Maria, J.-P. Entropy-stabilized oxides. Nat. Commun. 2015, 6, 8485. [Google Scholar] [CrossRef] [PubMed]
- Liu, R.; Chen, H.; Zhao, K.; Qin, Y.; Jiang, B.; Zhang, T.; Sha, G.; Shi, X.; Uher, C.; Zhang, W.; et al. Entropy as a Gene-Like Performance Indicator Promoting Thermoelectric Materials. Adv. Mater. 2017, 29, 1702712. [Google Scholar] [CrossRef]
- Li, F.; Bao, W.; Sun, S.-K.; Zhou, L.; Liu, J.-X.; Xu, F.; Zhang, G.-J. Synthesis of single-phase metal oxycarbonitride ceramics. Scr. Mater. 2020, 176, 17–22. [Google Scholar] [CrossRef]
- Zhao, S. Lattice distortion in high-entropy carbide ceramics from first-principles calculations. J. Am. Ceram. Soc. 2021, 104, 1874–1886. [Google Scholar] [CrossRef]
- He, Q.; Yang, Y. On Lattice Distortion in High Entropy Alloys. Front. Mater. 2018, 5, 42. [Google Scholar] [CrossRef]
- Oh, H.S.; Ma, D.; Leyson, G.P.; Grabowski, B.; Park, E.S.; Körmann, F.; Raabe, D. Lattice Distortions in the FeCoNiCrMn High Entropy Alloy Studied by Theory and Experiment. Entropy 2016, 18, 321. [Google Scholar] [CrossRef]
- Zhang, W.; Kan, D.; Liang, J.; Li, Y.; Bai, W.; Jiao, B.; Li, J.; Zhang, W. Defects Act in an “Introverted” Manner in FeNiCrCoCu High-Entropy Alloy under Primary Damage. Metals 2024, 14, 264. [Google Scholar] [CrossRef]
- Liu, J.-X.; Guo, L.; Wu, Y.; Qin, Y.; Liang, Y.; Zhang, G.-J. Lattice rigidity in high-entropy carbide ceramics with carbon vacancies. J. Am. Ceram. Soc. 2023, 106, 5612–5619. [Google Scholar] [CrossRef]
- Hassan, R.; Fahrenholtz, W.G.; Hilmas, G.E. Thermal properties of high entropy dual phase (Hf,Nb,Ta,Ti,Zr,)C-(Hf,Nb,Ta,Ti,Zr)B2 ceramics: Comparison with the high entropy single-phase ceramics and the effect of WC additions. J. Eur. Ceram. Soc. 2025, 45, 117719. [Google Scholar] [CrossRef]
- Wang, Z.; Zhang, S. Research and Application Progress of High-Entropy Alloys. Coatings 2023, 13, 1916. [Google Scholar] [CrossRef]
- Dąbrowa, J.; Danielewski, M. State-of-the-Art Diffusion Studies in the High Entropy Alloys. Metals 2020, 10, 347. [Google Scholar] [CrossRef]
- Jiang, S.; Shao, L.; Fan, T.-W.; Duan, J.-M.; Chen, X.-T.; Tang, B.-Y. Elastic and thermodynamic properties of high entropy carbide (HfTaZrTi)C and (HfTaZrNb)C from ab initio investigation. Ceram. Int. 2020, 46, 15104–15112. [Google Scholar] [CrossRef]
- Tsai, M.-H. Physical Properties of High Entropy Alloys. Entropy 2013, 15, 5338–5345. [Google Scholar] [CrossRef]
- Tsai, K.Y.; Tsai, M.H.; Yeh, J.W. Sluggish diffusion in Co–Cr–Fe–Mn–Ni high-entropy alloys. Acta Mater. 2013, 61, 4887–4897. [Google Scholar] [CrossRef]
- Li, Q.; Chen, W.; Zhong, J.; Zhang, L.; Chen, Q.; Liu, Z.-K. On Sluggish Diffusion in Fcc Al–Co–Cr–Fe–Ni High-Entropy Alloys: An Experimental and Numerical Study. Metals 2018, 8, 16. [Google Scholar] [CrossRef]
- Xiang, H.; Xing, Y.; Dai, F.; Wang, H.; Su, L.; Miao, L.; Zhang, G.; Wang, Y.; Qi, X.; Yao, L.; et al. High-entropy ceramics: Present status, challenges, and a look forward. J. Adv. Ceram. 2021, 10, 385–441. [Google Scholar] [CrossRef]
- Tokarewicz, M.; Grądzka-Dahlke, M. Review of Recent Research on AlCoCrFeNi High-Entropy Alloy. Metals 2021, 11, 1302. [Google Scholar] [CrossRef]
- Zhang, J.; Liang, J.; Li, H.; Yang, Y.; Huo, D.; Liu, C. A review of high-entropy ceramics preparation methods, properties in different application fields and their regulation methods. J. Mater. Res. Technol. 2024, 32, 1083–1117. [Google Scholar] [CrossRef]
- Li, S.; Ai, S.; Liu, Z.; Wang, X.; Zhou, L.; Wu, T.; Bai, Y. Advancements in particle-reinforced high-entropy alloy coatings: Microstructure, mechanical properties and mechanisms. J. Alloys Compd. 2025, 1029, 180787. [Google Scholar] [CrossRef]
- Li, L.-Y.; Zhang, M.; Jiang, M.; Gao, L.-H.; Ma, Z.; Cao, M.-S. High Entropy Ceramics for Electromagnetic Functional Materials. Adv. Funct. Mater. 2025, 35, 2416673. [Google Scholar] [CrossRef]
- Xue, H.; Wang, F.; Meng, C.; Zhang, P.; Yue, S. The Law Study of Arc Ion Plating on Cyanate Ester Composite Surface. J. Phys. Conf. Ser. 2023, 2468, 012086. [Google Scholar] [CrossRef]
- Li, Y.; Zhou, Z.; He, Y. Solid Lubrication System and Its Plasma Surface Engineering: A Review. Lubricants 2023, 11, 473. [Google Scholar] [CrossRef]
- Wang, Y.; Gao, Y.; Fan, Y. Interfacial Modification of Ti3AlC2/Cu Composites by Multi-Arc Ion Plating Titanium. Coatings 2022, 12, 1754. [Google Scholar] [CrossRef]
- Wen, X.; Li, J.; Gong, Y. Simulation and experimental research on grinding force and grinding surface quality of TiC-coated micro-grinding tools. Int. J. Adv. Manuf. Technol. 2023, 128, 1337–1351. [Google Scholar] [CrossRef]
- Wei, X.; Dong, Y.; Qu, D.; Ma, T.; Shen, J. Effect of Deposition Parameters on Microstructure of the Ti-Mg Immiscible Alloy Thin Film Deposited by Multi-Arc Ion Plating. Metals 2019, 9, 1229. [Google Scholar] [CrossRef]
- Chen, H.; Ma, Z.; Wang, Y.; Wei, T.; Yang, H.; Du, P.; Wang, X.; Zhang, R. An Orthogonal Experimental Study on the Preparation of Cr Coatings on Long-Size Zr Alloy Tubes by Arc Ion Plating. Materials 2022, 15, 7177. [Google Scholar] [CrossRef]
- Saciotto, V.; He, Q.; Guimaraes, M.C.; DePaiva, J.M.; Kohlscheen, J.; Fontana, L.C.; Veldhuis, S.C. A Comparative Study on Al0.6Ti0.4N Coatings Deposited by Cathodic Arc and HiPIMS in End Milling of Stainless Steel 316L. Coatings 2024, 14, 811. [Google Scholar] [CrossRef]
- Hain, C.; Schweizer, P.; Sturm, P.; Borzì, A.; Thomet, J.E.; Michler, J.; Hessler-Wyser, A.; Nelis, T. Microwave plasma-assisted reactive HiPIMS of InN films: Plasma environment and material characterisation. Surf. Coat. Technol. 2023, 454, 129188. [Google Scholar] [CrossRef]
- Du, H.; Zhang, K.; Liu, D.; Lang, W. Progress in the Circular Arc Source Structure and Magnetic Field Arc Control Technology for Arc Ion Plating. Materials 2025, 18, 3498. [Google Scholar] [CrossRef]
- Vallée, C.; Bonvalot, M.; Belahcen, S.; Yeghoyan, T.; Jaffal, M.; Vallat, R.; Chaker, A.; Lefèvre, G.; David, S.; Bsiesy, A.; et al. Plasma deposition—Impact of ions in plasma enhanced chemical vapor deposition, plasma enhanced atomic layer deposition, and applications to area selective deposition. J. Vac. Sci. Technol. A 2020, 38, 033007. [Google Scholar] [CrossRef]
- Xian, L.; Zhao, H.; Xian, G.; Fan, H.; Xiong, J. Oxidation resistance and thermal insulation performance of thin nano-multilayered (Al,Cr)2O3/ZrO2 coating prepared by arc ion plating technique. Mater. Lett. 2020, 281, 128649. [Google Scholar] [CrossRef]
- Wang, Y.; Fang, T.; Zheng, X.; Jin, H. Microstructure, Esthetics and Engineering Performance of TiN Coatings Deposited by Multi-Arc Ion Plating. Coatings 2025, 15, 1065. [Google Scholar] [CrossRef]
- Novikov, V.; Stepanov, N.; Zherebtsov, S.; Salishchev, G. Structure and Properties of High-Entropy Nitride Coatings. Metals 2022, 12, 847. [Google Scholar] [CrossRef]
- Deng, Y.; Chen, W.; Li, B.; Wang, C.; Kuang, T.; Li, Y. Physical vapor deposition technology for coated cutting tools: A review. Ceram. Int. 2020, 46, 18373–18390. [Google Scholar] [CrossRef]
- Wang, S.; Lin, Z.; Qiao, H.; Ba, D.; Zhu, L. Influence of a Scanning Radial Magnetic Field on Macroparticle Reduction of Arc Ion-Plated Films. Coatings 2018, 8, 49. [Google Scholar] [CrossRef]
- Kong, Y.; Tian, X.; Gong, C.; Tian, Q.; Yang, D.; Wu, M.; Li, M.; Golosov, D.A. Microstructure and mechanical properties of Ti-Al-Cr-N films: Effect of current of additional anode. Appl. Surf. Sci. 2019, 483, 1058–1068. [Google Scholar] [CrossRef]
- Zhang, Z.; Zhang, L.; Yuan, H.; Qiu, M.; Zhang, X.; Liao, B.; Zhang, F.; Ouyang, X. Tribological Behaviors of Super-Hard TiAlN Coatings Deposited by Filtered Cathode Vacuum Arc Deposition. Materials 2022, 15, 2236. [Google Scholar] [CrossRef]
- Tokoroyama, T.; Tagami, Y.; Murashima, M.; Lee, W.Y.; Umehara, N.; Kousaka, H. Tribological Property of ta-CNx:Ta Deposited via Ion Beam Assisted-Filtered Arc Deposition. Tribol. Int. 2022, 168, 107450. [Google Scholar] [CrossRef]
- Zhao, Y.; He, Y.; Chen, Q.; Gong, Z.; Wang, Z.; Wang, K.; Shi, M.; Chen, R. Effect of Substrate Bias Voltage on Structure and Corrosion Resistance of AlCrN Coatings Prepared by Multi-Arc Ion Plating. Int. J. Electrochem. Sci. 2021, 16, 210938. [Google Scholar] [CrossRef]
- Zhang, M.; Hu, X.; Yang, X.; Xu, F.; Kim, K.-H.; Shao, Z. Influence of substrate bias on microstructure and morphology of ZrN thin films deposited by arc ion plating. Trans. Nonferr. Met. Soc. China 2012, 22, s115–s119. [Google Scholar] [CrossRef]
- Kameneva, A.L.; Guselnikova, L.y.N.; Soshina, T.O. Establishing the Relationship between Substrate Bias Voltage and Formation Process of Single Component Ion-Plasma’s Film Based on Tin by Electric-Arc Evaporation. e-J. Surf. Sci. Nanotechnol. 2011, 9, 34–39. [Google Scholar] [CrossRef]
- Kuczyk, M.; Krülle, T.; Zawischa, M.; Kaspar, J.; Zimmer, O.; Leonhardt, M.; Leyens, C.; Zimmermann, M. Microstructure and mechanical properties of high entropy alloy nitride coatings deposited via direct current cathodic vacuum arc deposition. Surf. Coat. Technol. 2022, 448, 128916. [Google Scholar] [CrossRef]
- Jia, B.; Wan, Q.; Yan, L.; Luo, Y.; Wei, Q.; Niu, C.; Yang, B.; Li, S.; Meng, L. Tribological properties and machine learning prediction of FeCoCrNiAlN high entropy coatings. Surf. Coat. Technol. 2024, 477, 130341. [Google Scholar] [CrossRef]
- Zhang, R.; Liu, Y.; Wang, C.; Cao, F.; Fan, Q.; Wang, T. Structure and Properties of Arc Ion Plating Deposited AlCrSiN Coatings Controlled by Pulsed Bias Voltage. Metals 2023, 13, 1448. [Google Scholar] [CrossRef]
- Gong, Z.; Chen, R.; Li, J.; Cao, P.; Geng, H. Effect of N2 Flow Rate on Structure and Corrosion Resistance of AlCrN Coatings Prepared by Multi-Arc Ion Plating. Int. J. Electrochem. Sci. 2020, 15, 1117–1127. [Google Scholar] [CrossRef]
- Yeh, A.-C.; Gorsse, S.; Keppens, V.; Gilbert, D.A. Design and development of high entropy materials. APL Mater. 2023, 11, 030402. [Google Scholar] [CrossRef]
- Cui, M.; Ding, X.; Lian, Y.; Wu, Y.; Jiao, J.; Cheng, Y.; Yang, J.; Zhang, J.; Sun, Y. Effect of nitrogen flow rates on the structural and properties of TiVCrNiSi(N) high entropy coating deposited by arc ion plating. Surf. Coat. Technol. 2025, 499, 131868. [Google Scholar] [CrossRef]
- Li, J.; Zhao, Y.; Shi, X.; Zheng, J.; Dong, Y.; Chen, J.; Chen, Y.; Sun, D.; Zhang, S.; Wang, S. (AlCrMoTiNi)1-XNX high entropy ceramic with high hardness and toughness prepared by co-filtered cathodic vacuum arc deposition. Ceram. Int. 2023, 49, 40382–40391. [Google Scholar] [CrossRef]
- Yan, D.; Xu, W.; Li, J.; Ji, L.; Liu, X.; Shi, L.; Sun, C.; Li, H. Effect of nitrogen/argon ratios on structures and properties of high-entropy (ZrTiNbV)N nitride films by multi-arc ion plating. Vacuum 2024, 225, 113173. [Google Scholar] [CrossRef]
- Xu, W.; Jia, B.; Liu, X.; Ji, L.; Zhou, H.; Chen, J.; Sun, C.; Li, H. Structural evolution and mechanical properties of multi-element (TiCrZrVNb)C high entropy ceramics films by multi-arc ion plating. Ceram. Int. 2022, 48, 19191–19197. [Google Scholar] [CrossRef]
- Li, H.; Chen, X.; Shen, M.; Guo, C. Effect of oxygen flow rate on structure and properties of Cr-based coatings deposited by arc ion plating. J. Phys. Conf. Ser. 2025, 3009, 012011. [Google Scholar] [CrossRef]
- Krülle, T.; Kuczyk, M.; Leonhardt, M.; Zimmer, O.; Leyens, C. The Influence of Nitrogen Partial Pressure on the Microstructure and Mechanical Properties of HfNbTaTiVZr High-Entropy Nitride Coating Deposited via Direct Current Cathodic Vacuum Arc Deposition. Coatings 2024, 14, 398. [Google Scholar] [CrossRef]
- Chu, Y.; Cui, B.; Monteverde, F. High-entropy ceramics. J. Mater. 2025, 11, 100966. [Google Scholar] [CrossRef]
- Xiang, Y.; Zou, C. Effect of Arc Currents on the Mechanical, High Temperature Oxidation and Corrosion Properties of CrSiN Nanocomposite Coatings. Coatings 2022, 12, 40. [Google Scholar] [CrossRef]
- Zou, S.; Luo, Z.; Li, Y.; Yuan, L.; Tang, Y.; Zhou, J.; Li, H. Effect of Arc Current on the Microstructure of AlTiN-Coated Tools and Milling of 304 Stainless Steel. Coatings 2024, 14, 704. [Google Scholar] [CrossRef]
- Zhou, J.; Fan, X.; Chen, H.; Feng, D. Effect of multi-arc current on the microstructure and properties of TiAlSiN coating on zircaloy-4 alloy. J. Mater. Res. Technol. 2023, 25, 7101–7108. [Google Scholar] [CrossRef]
- Peng, Y.; Du, P.; Liu, Y.; Wang, H.; Liu, S.; Zhang, W. Investigation on Microstructures and High-Temperature Oxidation Resistance of Cr Coatings on Zircaloy-4 by Multi-Arc Ion Plating Technology. Materials 2022, 15, 6755. [Google Scholar] [CrossRef]
- Zhu, S.; Qin, Y.; Mei, H. Influence of Arc Current on Surface Properties and Corrosion Resistance of AlCrN Coatings Deposited by Multi-arc Ion Plating. Int. J. Electrochem. Sci. 2020, 15, 5352–5361. [Google Scholar] [CrossRef]
- Yang, D.; Yan, F.; Zhang, W.; Xie, Z. Microstructure, Wear Resistance and Corrosion Resistance of CrN Coating with Platinum-Iridium Co-Doping. Coatings 2024, 14, 238. [Google Scholar] [CrossRef]
- Zhang, Y.; Du, Q.; Lin, T.; Tang, S.; Hu, J. A Study on the Corrosion Resistance of Hydrophobic Coatings on 65Mn Steel. Coatings 2021, 11, 1399. [Google Scholar] [CrossRef]
- Alamgir, A.; Bogatov, A.; Jõgiaas, T.; Viljus, M.; Raadik, T.; Kübarsepp, J.; Sergejev, F.; Lümkemann, A.; Kluson, J.; Podgursky, V. High-Temperature Oxidation Resistance and Tribological Properties of Al2O3/ta-C Coating. Coatings 2022, 12, 547. [Google Scholar] [CrossRef]
- Geng, M.; He, G.; Sun, Z.; Chen, J.; Yang, Z.; Li, Y. Corrosion Damage Mechanism of TiN/ZrN Nanoscale Multilayer Anti-Erosion Coating. Coatings 2018, 8, 400. [Google Scholar] [CrossRef]
- Sousa, V.F.C.; Fernandes, F.; Silva, F.J.G.; Costa, R.D.F.S.; Sebbe, N.; Sales-Contini, R.C.M. Wear Behavior Phenomena of TiN/TiAlN HiPIMS PVD-Coated Tools on Milling Inconel 718. Metals 2023, 13, 684. [Google Scholar] [CrossRef]
- Jurków, D.; Stiernstedt, J. Investigation of High Temperature Co-fired Ceramics sintering conditions using Taguchi Design of the experiment. Ceram. Int. 2014, 40, 10447–10455. [Google Scholar] [CrossRef]
- Kretschmer, A.; Kirnbauer, A.; Pitthan, E.; Primetzhofer, D.; Yalamanchili, K.; Rudigier, H.; Mayrhofer, P.H. High-entropy alloy inspired development of compositionally complex superhard (Hf,Ta,Ti,V,Zr)-B-N coatings. Mater. Des. 2022, 218, 110695. [Google Scholar] [CrossRef]
- Brune, P.M.; Hilmas, G.E.; Fahrenholtz, W.G.; Watts, J.L.; Ryan, C.J.; DeSalle, C.M.; Wolfe, D.E.; Curtarolo, S. Hardness of single phase high entropy carbide ceramics with different compositions. J. Appl. Phys. 2024, 135, 165106. [Google Scholar] [CrossRef]
- Chen, X.; Du, Y.; Chung, Y.-W. Commentary on using H/E and H3/E2 as proxies for fracture toughness of hard coatings. Thin Solid Films 2019, 688, 137265. [Google Scholar] [CrossRef]
- Lin, Y.-C.; Hsu, S.-Y.; Song, R.-W.; Lo, W.-L.; Lai, Y.-T.; Tsai, S.-Y.; Duh, J.-G. Improving the hardness of high entropy nitride (Cr0.35Al0.25Nb0.12Si0.08V0.20)N coatings via tuning substrate temperature and bias for anti-wear applications. Surf. Coat. Technol. 2020, 403, 126417. [Google Scholar] [CrossRef]
- Cao, Z.; Sun, J.; Meng, L.; Zhang, K.; Zhao, J.; Huang, Z.; Yun, X. Progress in densification and toughening of high entropy carbide ceramics. J. Mater. Sci. Technol. 2023, 161, 10–43. [Google Scholar] [CrossRef]
- Park, H.J.; Kim, Y.S.; Lee, Y.H.; Hong, S.H.; Kim, K.S.; Park, Y.K.; Kim, K.B. Design of nano-scale multilayered nitride hard coatings deposited by arc ion plating process: Microstructural and mechanical characterization. J. Mater. Res. Technol. 2021, 15, 572–581. [Google Scholar] [CrossRef]
- Xia, A.; Dedoncker, R.; Glushko, O.; Cordill, M.J.; Depla, D.; Franz, R. Influence of the nitrogen content on the structure and properties of MoNbTaVW high entropy alloy thin films. J. Alloys Compd. 2021, 850, 156740. [Google Scholar] [CrossRef]
- Xu, W.; Liao, M.; Liu, X.; Ji, L.; Ju, P.; Li, H.; Zhou, H.; Chen, J. Microstructures and properties of (TiCrZrVAl)N high entropy ceramics films by multi-arc ion plating. Ceram. Int. 2021, 47, 24752–24759. [Google Scholar] [CrossRef]
- Ivanov, Y.F.; Akhmadeev, Y.K.; Prokopenko, N.A.; Krysina, O.V.; Koval, N.N.; Petrikova, E.A.; Tolkachev, O.S.; Shugurov, V.V.; Uglov, V.V.; Shmakov, A.N. Structure and Properties of NbMoCrTiAl High-Entropy Alloy Coatings Formed by Plasma-Assisted Vacuum Arc Deposition. Coatings 2023, 13, 1191. [Google Scholar] [CrossRef]
- Lee, J.Y.; Cai, W. From fabrication to mechanical properties: Exploring high-entropy oxide thin films and coatings for high-temperature applications. Front. Coat. Dye. Interface Eng. 2024, 2, 1417527. [Google Scholar] [CrossRef]
- Cui, S.; Liu, Y.; Wang, T.; Tieu, K.; Wang, L.; Zeng, D.; Li, Z.; Li, W. Tribological behavior comparisons of high chromium stainless and mild steels against high-speed steel and ceramics at high temperatures. Friction 2022, 10, 436–453. [Google Scholar] [CrossRef]
- Wu, J.; Shen, M.; Wang, W.; Cheng, Y.; Zhu, S. High power arc ion plating of thick Cr2N hard coating on Ti-based alloys: Oxidation and wear behaviors. Surf. Coat. Technol. 2022, 448, 128924. [Google Scholar] [CrossRef]
- Li, D.; Lu, X.; Li, J.; Chen, Y. Study on high-temperature friction and wear properties of Arc Ion plating Cr coating. J. Phys. Conf. Ser. 2024, 2760, 012080. [Google Scholar] [CrossRef]
- Feltrin, A.C.; Xing, Q.; Akinwekomi, A.D.; Waseem, O.A.; Akhtar, F. Review of Novel High-Entropy Protective Materials: Wear, Irradiation, and Erosion Resistance Properties. Entropy 2023, 25, 73. [Google Scholar] [CrossRef] [PubMed]
- Mishra, A.; Jatti, V.S. Prediction of Wear Rate in Al/SiC Metal Matrix Composites Using a Neurosymbolic Artificial Intelligence (NSAI)-Based Algorithm. Lubricants 2023, 11, 261. [Google Scholar] [CrossRef]
- Lothrop, A.; Yang, Q.; Huang, X. Microstructure, Mechanical Properties, Wear and Erosion Performance of a Novel High Entropy Nitride (AlCrTiMoV)N Coating Produced by Cathodic Arc Evaporation. Coatings 2023, 13, 619. [Google Scholar] [CrossRef]
- Akhter, R.; Zhou, Z.; Xie, Z.; Munroe, P. Influence of substrate bias on the scratch, wear and indentation response of TiSiN nanocomposite coatings. Surf. Coat. Technol. 2021, 425, 127687. [Google Scholar] [CrossRef]
- Chen, Y.; Xuan, T.; Li, X.; Liu, T.; Wu, B.; Tuo, Y.; Chen, X.; Gao, B. Pyrochlore-structured high-entropy rare-earth zirconates (La0.2Nd0.2Sm0.2Eu0.2A0.2)2Zr2O7 (A = Dy, Ho, or Er): Promising NTC thermistor ceramics for ultra-high temperature sensing. Ceram. Int. 2025, 51, 43583–43590. [Google Scholar] [CrossRef]
- Yoon, H.W.; Choi, Y.; Yeo, K.H.; Kim, S.G.; Cho, Y.K. Chromium Coatings Applied to Zr Alloy Claddings by Cathodic Arc Ion Plating: Effect of Nitrogen Inclusion on Limiting Columnar Defects. Adv. Eng. Mater. 2024, 26, 2400804. [Google Scholar] [CrossRef]
- Dou, L.; Yang, B.; Ye, X.; Zhang, Y.; Zhu, W.; Chen, H.; Jiang, Y.; Fang, B.; Lan, S.; Li, Q.; et al. Flexible high-entropy functional ceramics. Nat. Commun. 2025, 16, 5915. [Google Scholar] [CrossRef]
- Shu, H.; Zhong, W.; Feng, J.; Zhao, H.; Chen, Y.; Hong, F.; Yue, B. Observation of superconductivity and ferromagnetism in high-entropy carbide ceramics. Acta Mater. 2025, 285, 120693. [Google Scholar] [CrossRef]
- Fu, Y.; Li, J.; Luo, H.; Du, C.; Li, X. Recent advances on environmental corrosion behavior and mechanism of high-entropy alloys. J. Mater. Sci. Technol. 2021, 80, 217–233. [Google Scholar] [CrossRef]
- Yang, Z.; Fan, X.; Qiu, C.; Yang, X.; Liu, Y.; Wang, X. High temperature and high pressure flowing water corrosion resistance of multi-arc ion plating Cr/TiAlN and Cr/TiAlSiN coatings. Mater. Res. Express 2019, 6, 086449. [Google Scholar] [CrossRef]
- Yan, W.; Zhao, Y.; Zhang, Y.; Li, Q.; Chen, S.; Yuan, H.; Zhang, Z.; Chen, L.; Luo, J.; Pang, P.; et al. Corrosion-resistant and interfacial conductive AlTiVCrMo high-entropy alloy and (AlTiVCrMo)Nx high-entropy ceramics coatings for surface modification of bipolar plates in proton exchange membrane fuel cells. J. Power Sources 2022, 527, 231217. [Google Scholar] [CrossRef]
- Kim, J.-G.; Na, S.-I.; Kim, H.-K. Flexible and transparent IWO films prepared by plasma arc ion plating for flexible perovskite solar cells. AIP Adv. 2018, 8, 105122. [Google Scholar] [CrossRef]
- Gao, P.-H.; Fu, R.-T.; Chen, B.-Y.; Zeng, S.-C.; Zhang, B.; Yang, Z.; Guo, Y.-C.; Liang, M.-X.; Li, J.-P.; Lu, Y.-Q.; et al. Corrosion Resistance of CoCrFeNiMn High Entropy Alloy Coating Prepared through Plasma Transfer Arc Claddings. Metals 2021, 11, 1876. [Google Scholar] [CrossRef]
- Gao, Z.; Guo, Q.; Wang, Y.; Li, M.; Yang, Z. Effect of Micro-arc Oxidation/Multi-arc Ion Plating on the Galvanic Corrosion Behavior of TC4/AH36 Steel. J. Mater. Eng. Perform. 2025, 34, 22406–22416. [Google Scholar] [CrossRef]
- Deng, C.; Wang, T.; Wu, P.; Zhu, W.; Dai, S. High entropy materials for catalysis: A critical review of fundamental concepts and applications. Nano Energy 2024, 120, 109153. [Google Scholar] [CrossRef]
- Chen, J.; Zhou, X.; Wang, W.; Liu, B.; Lv, Y.; Yang, W.; Xu, D.; Liu, Y. A review on fundamental of high entropy alloys with promising high–temperature properties. J. Alloys Compd. 2018, 760, 15–30. [Google Scholar] [CrossRef]
- Veselkov, S.; Samoilova, O.; Shaburova, N.; Trofimov, E. High-Temperature Oxidation of High-Entropic Alloys: A Review. Materials 2021, 14, 2595. [Google Scholar] [CrossRef]
- Fu, Y.; Wang, G.; Zhu, Y.; Shi, C.; Lu, G.; Han, Y.; Yuan, Y.; Xu, J.; Lan, R. Critical processing parameters optimization and characterization of CrAlSiWN coating by industrial arc ion plating. Vacuum 2024, 226, 113313. [Google Scholar] [CrossRef]
- Cao, Y.; Liu, Y.; Liu, B.; Zhang, W.; Wang, J.; Du, M. Effects of Al and Mo on high temperature oxidation behavior of refractory high entropy alloys. Trans. Nonferr. Met. Soc. China 2019, 29, 1476–1483. [Google Scholar] [CrossRef]
- Ding, N.; Jiang, H.-H.; Xu, C.-R.; Shao, L.; Tang, B.-Y. Lattice distortion, mechanical and thermodynamic properties of (TiZrHf)C and (TiZrHf)N ceramics. Appl. Phys. A 2023, 129, 720. [Google Scholar] [CrossRef]
- Peng, X.; Chen, L. Effect of high entropy alloys TiVCrZrHf barrier layer on microstructure and texture of Cu thin films. Mater. Lett. 2018, 230, 5–8. [Google Scholar] [CrossRef]
- Yan, X.; Constantin, L.; Lu, Y.; Silvain, J.-F.; Nastasi, M.; Cui, B. (Hf0.2Zr0.2Ta0.2Nb0.2Ti0.2)C high-entropy ceramics with low thermal conductivity. J. Am. Ceram. Soc. 2018, 101, 4486–4491. [Google Scholar] [CrossRef]
- Jin, H.; Lv, Z.; Zhang, F.; He, S.; Luo, Y.; Wang, L.; Yin, F. Exploring the electronic structures and mechanical properties of (TiZrHfNbTa)C1-xNx high-entropy carbonitrides from first-principles calculations. Solid State Commun. 2025, 399, 115890. [Google Scholar] [CrossRef]
- Ye, B.; Wen, T.; Liu, D.; Chu, Y. Oxidation behavior of (Hf0.2Zr0.2Ta0.2Nb0.2Ti0.2)C high-entropy ceramics at 1073–1473 K in air. Corros. Sci. 2019, 153, 327–332. [Google Scholar] [CrossRef]
- Suvorova, V.; Suvorov, D.; Volodko, S.; Poliakov, M.; Volkova, L.; Nepapushev, A.; Moskovskikh, D. High-entropy carbonitrides with superior oxidation resistance: Fabrication and investigation of oxidation behavior under non-isothermal and isothermal conditions. J. Eur. Ceram. Soc. 2025, 45, 116980. [Google Scholar] [CrossRef]
- Gild, J.; Samiee, M.; Braun, J.L.; Harrington, T.; Vega, H.; Hopkins, P.E.; Vecchio, K.; Luo, J. High-entropy fluorite oxides. J. Eur. Ceram. Soc. 2018, 38, 3578–3584. [Google Scholar] [CrossRef]
- Han, Y.; Liu, X.; Zhang, Q.; Huang, M.; Li, Y.; Pan, W.; Zong, P.-a.; Li, L.; Yang, Z.; Feng, Y.; et al. Ultra-dense dislocations stabilized in high entropy oxide ceramics. Nat. Commun. 2022, 13, 2871. [Google Scholar] [CrossRef] [PubMed]
- Tang, Y.; Xia, Y.; Yao, D.; Zhu, M.; Zhao, J.; Zeng, Y.-P. Thermal conductivity and mechanical properties of fluorite-type porous (Ce0.2Zr0.2Ti0.2Sn0.2Ca0.2)O2-δ high-entropy ceramics. J. Porous Mater. 2024, 31, 2031–2041. [Google Scholar] [CrossRef]
- Ma, Z.; Gao, Y.; Ma, C.; Zhang, L.; Zhang, Y.; Xu, W.; Zhang, G.; Li, J.; Feng, S.; Li, J. A Novel Strategy for Preparing High-Entropy Ceramics Through Full Glass Crystallization. Energy Environ. Mater. 2025, 8, e70065. [Google Scholar] [CrossRef]
- Liu, S.; Sun, Y.; Yang, J.; Zhang, Y.; Cai, Z. Highly Loaded and Binder-Free Molybdenum Trioxide Cathode Material Prepared Using Multi-Arc Ion Plating for Aqueous Zinc Ion Batteries. Materials 2022, 15, 5954. [Google Scholar] [CrossRef]
- Feng, S.; Lu, W.; Guo, F.; Wang, C.; Zou, L. Effects of Pulse Ion Source Arc Voltage on the Structure and Friction Properties of Ta-C Thin Films on NBR Surface. Coatings 2025, 15, 809. [Google Scholar] [CrossRef]
- Gu, Y.; Wang, J.; Zhang, J.; Zhang, Y.; Dai, B.; Li, Y.; Liu, G.; Bao, L.; Lu, R. Machine Learning-Driven Design and Optimization of Multi-Metal Nitride Hard Coatings via Multi-Arc Ion Plating Using Genetic Algorithm and Support Vector Regression. Materials 2025, 18, 3478. [Google Scholar] [CrossRef] [PubMed]








Disclaimer/Publisher’s Note: The statements, opinions and data contained in all publications are solely those of the individual author(s) and contributor(s) and not of MDPI and/or the editor(s). MDPI and/or the editor(s) disclaim responsibility for any injury to people or property resulting from any ideas, methods, instructions or products referred to in the content. |
© 2026 by the authors. Licensee MDPI, Basel, Switzerland. This article is an open access article distributed under the terms and conditions of the Creative Commons Attribution (CC BY) license.
Share and Cite
Chen, H.; Mi, B.; Wang, J.; Chen, T.; Ma, X.; Liu, P.; Li, W. Research Progress of High-Entropy Ceramic Films via Arc Ion Plating. Coatings 2026, 16, 82. https://doi.org/10.3390/coatings16010082
Chen H, Mi B, Wang J, Chen T, Ma X, Liu P, Li W. Research Progress of High-Entropy Ceramic Films via Arc Ion Plating. Coatings. 2026; 16(1):82. https://doi.org/10.3390/coatings16010082
Chicago/Turabian StyleChen, Haoran, Baosen Mi, Jingjing Wang, Tianju Chen, Xun Ma, Ping Liu, and Wei Li. 2026. "Research Progress of High-Entropy Ceramic Films via Arc Ion Plating" Coatings 16, no. 1: 82. https://doi.org/10.3390/coatings16010082
APA StyleChen, H., Mi, B., Wang, J., Chen, T., Ma, X., Liu, P., & Li, W. (2026). Research Progress of High-Entropy Ceramic Films via Arc Ion Plating. Coatings, 16(1), 82. https://doi.org/10.3390/coatings16010082

