Phase Engineering of Cu2S via Ce2S3 Incorporation: Achieving Enhanced Thermal Stability and Mechanical Properties
Abstract
1. Introduction
2. Experimental Sections
2.1. Preparation of the Ce2S3-Doped Cu2S
2.2. Characterization and Performance Analysis
3. Results and Discussion
3.1. Thermal Analysis of Ce2S3-Cu2S
3.2. Effect of Ce2S3 Addition and Sintering Temperature on the Preparation of Ce2S3-Cu2S
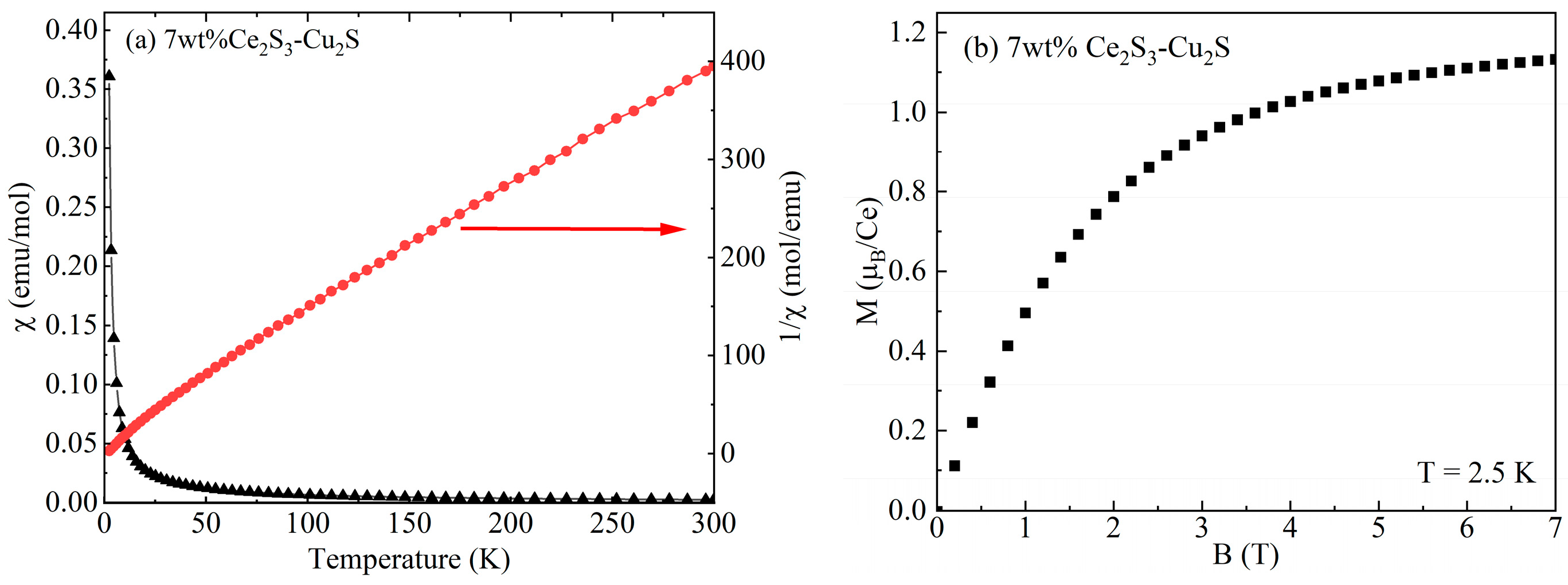
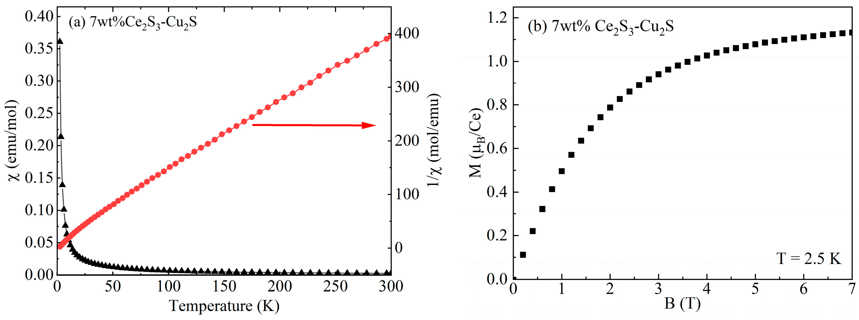
3.3. Magnetic Properties
3.4. UV-VIS of Ce2S3-Cu2S
3.5. Hardness and Density of Ce2S3-Cu2S
3.6. Friction Properties
4. Discussions
5. Conclusions
- (1)
- Ce2S3 addition effectively enhances the high-temperature stability of Cu2S by reducing mass loss. The sintering temperature and Ce2S3 addition significantly affect the crystal structure of Cu2S. The microstructure of Ce2S3-Cu2S sintered at 400 °C is denser than that sintered at 600 °C.
- (2)
- According to magnetic experiments, 7 wt% Ce2S3-Cu2S has a relatively low saturation magnetization of 1.2 µB/Ce and behaves paramagnetically. Ce2S3-Cu2S sintered at 400 °C has a narrower band gap than that sintered at 600 °C.
- (3)
- The hardness value increases and then decreases with the increase of Ce2S3 addition. Compared to pure Cu2S, the density values with the addition of 3 wt% Ce2S3 and 7 wt% Ce2S3 increased by 52.5% and 34.2%, respectively.
- (4)
- As the addition of Ce2S3 increases, the friction coefficients of Ce2S3-Cu2S first increase and then decrease, reaching a maximum for 1 wt% Ce2S3-Cu2S. The wear mechanism of Ce2S3-Cu2S is the combined effect of abrasive and adhesive wear.
Supplementary Materials
Author Contributions
Funding
Institutional Review Board Statement
Informed Consent Statement
Data Availability Statement
Conflicts of Interest
References
- Hamida, A.; Al-Maiyaly, B. Synthesis and characterization of Cu2S: Al thin films for solar cell applications. Chalcogenide Lett. 2022, 19, 579–590. [Google Scholar] [CrossRef]
- Zhao, B.; Long, X.; Zhao, Q.; Shakouri, M.; Feng, R.; Lin, L.; Zeng, Y.; Zhang, Y.; Fu, X.Z.; Luo, J.L. In situ self-heterogenization of Cu2S/CuS nanostructures with modulated d band centers for promoting photocatalytic degradation and hydrogen evolution performances. Mater. Today Nano 2023, 23, 100362. [Google Scholar] [CrossRef]
- Jiang, Y.; Xu, Y.; Zhang, Q.; Zhao, X.; Xiao, F.; Wang, X.; Ma, G. Templated synthesis of Cu2S hollow structures for highly active ozone decomposition. Catalysts 2024, 14, 153. [Google Scholar] [CrossRef]
- Yu, J.; Liu, X.; Hu, H.; Jiang, Y.; Zhuang, H.L.; Li, H.; Su, B.; Li, J.W.; Han, Z.; Wang, Z. Ultralow thermal conductivity and high ZT of Cu2Se-based thermoelectric materials mediated by TiO2−n nanoclusters. Joule 2024, 8, 2652–2666. [Google Scholar] [CrossRef]
- Yan, Y.; Bai, Y.; Ouyang, T.; Li, X.; Wang, X.; Jiang, X.; Wang, W.; Cai, X.; Cai, J.; Tan, H. The thermoelectric properties of Cu2S are enhanced by doping tin with hydrothermal method. J. Mater. Sci. Mater. Electron. 2024, 35, 1110. [Google Scholar] [CrossRef]
- Qiu, P.; Zhu, Y.; Qin, Y.; Shi, X.; Chen, L. Electrical and thermal transports of binary copper sulfides CuxS with x from 1.8 to 1.96. APL Mater. 2016, 4, 104805. [Google Scholar] [CrossRef]
- Zheng, L.J.; Zhang, B.P.; Li, H.-Z.; Pei, J.; Yu, J.B. CuxS superionic compounds: Electronic structure and thermoelectric performance enhancement. J. Alloys Compd. 2017, 722, 17–24. [Google Scholar] [CrossRef]
- Li, C.Q.; Wang, J.J. Copper sulfide based photocatalysts, electrocatalysts and photoelectrocatalysts: Innovations in structural modulation and application. Small 2024, 20, 2404798. [Google Scholar] [CrossRef] [PubMed]
- Gong, C.; Zeng, Z.; Sun, X.; Luo, C.; Chen, H. Mn-doping method boosts Se doping concentration in Cu2S towards high thermoelectric performance. J. Mater. Chem. C 2025, 13, 326–333. [Google Scholar] [CrossRef]
- Yue, Z.; Zhou, W.; Ji, X.; Zhang, F.; Guo, F. Enhanced thermoelectric properties of Ag doped Cu2S by using hydrothermal method. J. Alloys Compd. 2022, 919, 165830. [Google Scholar] [CrossRef]
- Nieroda, P.; Leszczyński, J.; Kapera, K.; Rutkowski, P.; Ziewiec, K.; Szymańska, A.; Kruszewski, M.J.; Rudnik, M.; Koleżyński, A. Thermoelectric properties of Cu2S doped with P, As, Sb and Bi—Theoretical and experimental studies. Materials 2024, 17, 5440. [Google Scholar] [CrossRef]
- Shen, F.; Zheng, Y.; Miao, L.; Liu, C.; Gao, J.; Wang, X.; Liu, P.; Yoshida, K.; Cai, H. Boosting high thermoelectric performance of Ni-Doped Cu1.9S by significantly reducing thermal conductivity. ACS Appl. Mater. Interfaces 2020, 12, 8385–8391. [Google Scholar] [CrossRef]
- Mulla, R.; Rabinal, M. CuO/CuxS composites fabrication and their thermoelectric properties. Mater. Renew. Sustain. Energy 2021, 10, 3. [Google Scholar] [CrossRef]
- Pokhrel, S.; Martuza, M.A.; Groeneveld, J.D.; Schowalter, M.; Rosenauer, A.; Birkenstock, J.; Mädler, L. Gas phase synthesis of mixed Cu1.8S-ZnS particles and the terminal phases in the reducing atmosphere. Powder Technol. 2025, 465, 121318. [Google Scholar] [CrossRef]
- Mikuła, A.; Koleżyński, A. First principles studies of Fe-doped Cu2S—Theoretical investigation. Solid State Ion. 2019, 334, 36–42. [Google Scholar] [CrossRef]
- Zou, L.; Zhang, B.P.; Ge, Z.H.; Gao, C.; Zhang, D.B.; Liu, Y.C. Size effect of SiO2 on enhancing thermoelectric properties of Cu1.8S. Phys. Status Solidi (A) 2013, 210, 2550–2555. [Google Scholar] [CrossRef]
- Meng, Q.L.; Kong, S.; Huang, Z.; Zhu, Y.; Liu, H.C.; Lu, X.; Jiang, P.; Bao, X. Simultaneous enhancement in the power factor and thermoelectric performance of copper sulfide by In2S3 doping. J. Mater. Chem. A 2016, 4, 12624–12629. [Google Scholar] [CrossRef]
- Qin, P.; Ge, Z.H.; Chen, Y.X.; Chong, X.; Feng, J.; He, J. Achieving high thermoelectric performance of Cu1.8S composites with WSe2 nanoparticles. Nanotechnology 2018, 29, 345402. [Google Scholar] [CrossRef] [PubMed]
- Qin, P.; Ge, Z.H.; Feng, J. Enhanced thermoelectric properties of SiC nanoparticle dispersed Cu1.8S bulk materials. J. Alloys Compd. 2017, 696, 782–787. [Google Scholar] [CrossRef]
- Kharboot, L.H.; Ojaomo, K.E. Advancing quantum dot-sensitized solar cells: Transition metal-sulfide-based counter electrodes for high-efficiency and stable photovoltaics. Quantum J. Eng. Sci. Technol. 2025, 6, 121–133. [Google Scholar] [CrossRef]
- Arif Khalil, R.; Hussain, M.I.; Imran, M.; Hussain, F.; Saeed, N.; Murtaza, G.; Rana, A.M.; Mahata, C. First-principles simulation of structural, electronic and optical properties of cerium trisulfide (Ce2S3) compound. J. Electron. Mater. 2021, 50, 1637–1643. [Google Scholar] [CrossRef]
- Huang, L.; Lu, H. Electronic structure of cerium: A comprehensive first-principles study. Phys. Rev. B 2019, 99, 045122. [Google Scholar] [CrossRef]
- Mani, J.; Radha, S.; Prita, F.J.; Rajkumar, R.; Arivanandhan, M.; Anbalagan, G. Enhancing the thermoelectric performance of Cu2S/CuO nanocomposites through energy-filtering effect and phonon scattering. J. Inorg. Organomet. Polym. Mater. 2024, 34, 1548–1563. [Google Scholar] [CrossRef]
- Sands, T.; Washburn, J.; Gronsky, R. High resolution observations of copper vacancy ordering in chalcocite (Cu2S) and the transformation to djurleite (Cu1.97 to 1.94S). Phys. Status Solidi (A) 1982, 72, 551–559. [Google Scholar] [CrossRef][Green Version]
- Zhang, R.; Pei, J.; Han, Z.J.; Wu, Y.; Zhao, Z.; Zhang, B.P. Optimal performance of Cu1.8S1−xTex thermoelectric materials fabricated via high-pressure process at room temperature. J. Adv. Ceram. 2020, 9, 535–543. [Google Scholar] [CrossRef]
- Bronusiene, A.; Ancutiene, I. Elemental sulfur as a precursor for CuxS layer formation. Chalcogenide Lett. 2018, 15, 483–489. [Google Scholar]
- Hemathangam, S.; Thanapathy, G.; Muthukumaran, S. Tuning of band gap and photoluminescence properties of Zn doped Cu2S thin films by CBD method. J. Mater. Sci. Mater. Electron. 2016, 27, 2042–2048. [Google Scholar] [CrossRef]
- Okechukwu, E.O.; Ekpunobi, A.J.; Azubogu, A.; Onuigbo, E.; Anusiuba, O.; Nwodo, A.; Jeroh, D.M.; Muomeliri, C.B.; Okafor, C.E.; Ozobialu, L. Investigating the doping effects on the optical, electrical, structural, morphological, elemental composition, and magnetic properties of electrodeposited Ti-doped CuS thin films. Mater. Nanosci. 2025, 12, 1191. [Google Scholar] [CrossRef]
- Jie, Y.; Zhang, S.; Houb, H.; Xiec, L. Theoretical study on structural, electronic structure, elastic and optical properties of α-Cu2S. Chalcogenide Lett. 2023, 20, 903–913. [Google Scholar] [CrossRef]
- Lukashev, P.; Lambrecht, W.R.; Kotani, T.; Van Schilfgaarde, M. Electronic and crystal structure of Cu2−xS: Full-potential electronic structure calculations. Phys. Rev. B-Condens. Matter Mater. Phys. 2007, 76, 195202. [Google Scholar] [CrossRef]
- Kim, J.S.; Kim, D.-Y.; Cho, G.B.; Nam, T.H.; Kim, K.W.; Ryu, H.S.; Ahn, J.H.; Ahn, H.J. The electrochemical properties of copper sulfide as cathode material for rechargeable sodium cell at room temperature. J. Power Sources 2009, 189, 864–868. [Google Scholar] [CrossRef]
- Mousavi-Kamazani, M.; Salavati-Niasari, M.; Sadeghinia, M. Synthesis and characterization of Cu2S nanostructures via cyclic microwave radiation. Superlattices Microstruct. 2013, 63, 248–257. [Google Scholar] [CrossRef]
- Mitchell, K.; Ibers, J.A. Rare-earth transition-metal chalcogenides. Chem. Rev. 2002, 102, 1929–1952. [Google Scholar] [CrossRef]
- Klicpera, M. Electron Properties of the Substituted Cerium Compounds. Ph.D. Thesis, Charles University, Prague, Czech Republic, 2015. [Google Scholar]
- Gurung, T.; Jagan, R.; Shanubhogue, D.; Poojitha, G.; Rao, A. Enhancement in power factor through rare-earth samarium doping in Cu2SnSe3 system. Phys. Scr. 2024, 99, 105908. [Google Scholar] [CrossRef]
- Baturay, Ş.; Gezgin, S.Y.; Köylü, M.Z.; Kabatas, M.A.B.-M.; Kiliç, H.Ş. Influence of Gd doping on Cu2Sn1−xGdxS3 thin film solar cell. iScience 2025, 28, 112597. [Google Scholar] [CrossRef]
- Pop, A.; Popescu, V.; Danila, M.; Batin, M. Optical properties of cuxs nano-powders. Chalcogenide Lett. 2011, 8, 363–370. [Google Scholar]
- Yu, X.; An, X. Controllable hydrothermal synthesis of Cu2S nanowires on the copper substrate. Mater. Lett. 2010, 64, 252–254. [Google Scholar] [CrossRef]
- Rasal, A.S.; Chang, T.W.; Korupalli, C.; Chang, J.Y. Composition engineered ternary copper chalcogenide alloyed counter electrodes for high-performance and stable quantum dot-sensitized solar cells. Compos. Part B Eng. 2022, 232, 109610. [Google Scholar] [CrossRef]
- Zhao, L. Investigation on the Electronic Structures, Hardness and Thermoelectric Properties of Superionic Thermoelectric Materials. Ph.D. Thesis, University of Wollongong, Wollongong, Australia, 2016. [Google Scholar]
- Sueyoshi, H.; Yamano, Y.; Inoue, K.; Maeda, Y.; Yamada, K. Mechanical properties of copper sulfide-dispersed lead-free bronze. Mater. Trans. 2009, 50, 776–781. [Google Scholar] [CrossRef]
- Zhao, J.; Wang, Y.; Han, B.; Li, M.; Cui, G. Antifriction effects of Cu2S film on Ni-based MMC coating. Surf. Coat. Technol. 2017, 315, 391–398. [Google Scholar] [CrossRef]
- Yang, L.; Yao, Y.; Zhu, G.; Ma, M.; Wang, W.; Wang, L.; Zhang, H.; Zhang, Y.; Jiao, Z. Co doping of worm–like Cu2S: An efficient and durable heterogeneous electrocatalyst for alkaline water oxidation. J. Alloys Compd. 2018, 762, 637–642. [Google Scholar] [CrossRef]
- Xie, Y.; Huang, J.; Xu, R.; He, D.; Niu, M.; Li, X.; Xu, G.; Cao, L.; Feng, L. Mo-doped Cu2S multilayer nanosheets grown in situ on copper foam for efficient hydrogen evolution reaction. Molecules 2022, 27, 5961. [Google Scholar] [CrossRef]
- Malik, J.H.; Islam, I.; Kaur, K.; Ali, A.M.; Khandy, S.A. Electronic and photoluminescent properties of Mn-doped Cu2S nanostructures for possible photocatalytic applications. Inorg. Chem. Commun. 2025, 179, 114814. [Google Scholar] [CrossRef]
- AL-Hamdani, A.A.H.; AL-Maiyaly, B.K. Growth and characterization of bi doped Cu2S nano crystalline thin films. AIP Conf. Proc. 2023, 2769, 020048. [Google Scholar] [CrossRef]
- Yang, T.Y.; Wang, Z.Y.; Yan, X.; Wang, C.Y.; Zhang, Y.X.; Ge, Z.H.; Feng, J. Excellent thermoelectric performance realized in copper sulfide magnetic nanocomposites via modified solid states reaction. Adv. Sci. 2025, 12, 2409494. [Google Scholar] [CrossRef]
- Tang, H.; Sun, F.H.; Dong, J.F.; Zhuang, H.L.; Pan, Y.; Li, J.F. Graphene network in copper sulfide leading to enhanced thermoelectric properties and thermal stability. Nano Energy 2018, 49, 267–273. [Google Scholar] [CrossRef]
- Zhang, Y.X.; Ge, Z.H.; Feng, J. Enhanced thermoelectric properties of Cu1.8S via introducing Bi2S3 and Bi2S3@ Bi core-shell nanorods. J. Alloys Compd. 2017, 727, 1076–1082. [Google Scholar] [CrossRef]












| Temp. (°C) | Ce2S3 (wt%) | Crystal Structure | Lattice Constants (Å) | ||
|---|---|---|---|---|---|
| a | b | c | |||
| 400 | 0 | Hexagonal Cu2S | 3.9480 | 3.9480 | 6.6972 |
| 400 | 0 | Monoclinic Cu2S | 15.3358 | 11.7990 | 13.4313 |
| 400 | 3 | Hexagonal Cu2S | 3.9597 | 3.9597 | 6.7215 |
| 400 | 3 | Monoclinic Cu2S | 15.2496 | 11.8858 | 13.5012 |
| 400 | 4 | Hexagonal Cu2S | 3.9491 | 3.9491 | 6.7219 |
| 400 | 4 | Monoclinic Cu2S | 15.2277 | 11.8381 | 13.5147 |
| 400 | 5 | Tetragonal Cu1.96S | 4.0022 | 4.0022 | 11.2776 |
| 400 | 6 | Tetragonal Cu1.81S | 4.0085 | 4.0085 | 11.2508 |
| 500 | 0 | Hexagonal Cu2S | 3.9669 | 3.9669 | 6.7835 |
| 500 | 0 | Monoclinic Cu2S | 14.9545 | 11.7725 | 13.5724 |
| 500 | 0.25 | Hexagonal Cu2S | 3.9653 | 3.9653 | 6.7943 |
| 500 | 0.25 | Monoclinic Cu2S | 14.9761 | 12.1282 | 13.1436 |
| 500 | 0.5 | Hexagonal Cu2S | 3.9600 | 3.9600 | 6.7800 |
| 500 | 0.5 | Monoclinic Cu2S | 15.0928 | 11.9497 | 13.4423 |
| 500 | 0.75 | Hexagonal Cu2S | 4.0050 | 4.0050 | 6.8060 |
| 500 | 0.75 | Monoclinic Cu2S | 15.2258 | 11.8872 | 13.4845 |
| 600 | 0 | Hexagonal Cu2S | 3.9555 | 3.9555 | 6.7210 |
| 600 | 0 | Monoclinic Cu2S | 15.2153 | 11.8716 | 13.4853 |
| 600 | 1 | Hexagonal Cu2S | 3.9618 | 3.9618 | 6.7262 |
| 600 | 1 | Monoclinic Cu2S | 15.2272 | 11.8862 | 13.4935 |
| 600 | 1.5 | Hexagonal Cu2S | 3.9449 | 3.9449 | 6.7758 |
| 600 | 1.5 | Monoclinic Cu2S | 15.2430 | 11.8857 | 13.4790 |
| 600 | 3 | Hexagonal Cu2S | 3.9588 | 3.9588 | 6.7194 |
| 600 | 3 | Monoclinic Cu2S | 15.4160 | 11.8576 | 13.4019 |
| 600 | 5 | Hexagonal Cu2S | 3.9590 | 3.9590 | 6.7100 |
| 600 | 5 | Monoclinic Cu2S | 15.0224 | 11.8588 | 13.3709 |
| 600 | 7 | Hexagonal Cu2S | 3.9399 | 3.9399 | 6.7443 |
| 600 | 7 | Monoclinic Cu2S | 15.1811 | 11.8308 | 13.4457 |
| Temp. (°C) | Ce2S3 (wt%) | Cuact. (wt%) | Cutheo. (wt%) | Sact. (wt%) | Stheo. (wt%) | Ceact. (wt%) | Cetheo. (wt%) |
|---|---|---|---|---|---|---|---|
| 400 | 0 | 81.74 | 79.89 | 18.26 | 20.11 | - | - |
| 400 | 3 | 81.18 | 77.09 | 17.84 | 19.31 | 0.98 | 3.600 |
| 400 | 4 | 76.95 | 75.92 | 18.95 | 19.01 | 4.10 | 5.07 |
| 400 | 5 | 74.03 | 74.75 | 18.44 | 18.71 | 7.53 | 6.54 |
| 400 | 6 | 73.73 | 73.58 | 17.25 | 18.42 | 9.02 | 8.00 |
| 500 | 0 | 80.93 | 79.86 | 19.07 | 20.14 | - | - |
| 500 | 0.25 | 79.62 | 79.76 | 20.09 | 20.14 | 0.29 | 0.19 |
| 500 | 0.5 | 80.53 | 79.44 | 19.25 | 20.03 | 0.22 | 0.37 |
| 500 | 0.75 | 80.00 | 79.13 | 18.61 | 19.93 | 0.39 | 0.55 |
| 600 | 0 | 81.90 | 79.86 | 18.10 | 20.14 | - | - |
| 600 | 1 | 80.21 | 79.06 | 18.92 | 20.18 | 0.87 | 0.74 |
| 600 | 1.5 | 79.47 | 78.66 | 18.84 | 20.20 | 1.69 | 1.11 |
| 600 | 3 | 78.53 | 77.66 | 19.44 | 20.30 | 2.03 | 2.23 |
| 600 | 5 | 76.66 | 75.87 | 20.21 | 20.48 | 3.13 | 3.65 |
| 600 | 7 | 75.63 | 74.07 | 18.63 | 20.66 | 5.74 | 5.27 |
| Ce2S (wt%) | Cu (wt%) | S (wt%) | Ce (wt%) | O (wt%) | Total (wt%) |
|---|---|---|---|---|---|
| 1 | 78.24 | 19.36 | 1.39 | 1.02 | 100 |
| 1.5 | 76.23 | 18.98 | 3.17 | 1.61 | 100 |
| 5 | 76.54 | 18.15 | 3.43 | 1.88 | 100 |
Disclaimer/Publisher’s Note: The statements, opinions and data contained in all publications are solely those of the individual author(s) and contributor(s) and not of MDPI and/or the editor(s). MDPI and/or the editor(s) disclaim responsibility for any injury to people or property resulting from any ideas, methods, instructions or products referred to in the content. |
© 2025 by the authors. Licensee MDPI, Basel, Switzerland. This article is an open access article distributed under the terms and conditions of the Creative Commons Attribution (CC BY) license (https://creativecommons.org/licenses/by/4.0/).
Share and Cite
Sun, B.; Li, L.; Wang, Y.; Chen, Y.; Song, Z.; Han, M. Phase Engineering of Cu2S via Ce2S3 Incorporation: Achieving Enhanced Thermal Stability and Mechanical Properties. Coatings 2025, 15, 1135. https://doi.org/10.3390/coatings15101135
Sun B, Li L, Wang Y, Chen Y, Song Z, Han M. Phase Engineering of Cu2S via Ce2S3 Incorporation: Achieving Enhanced Thermal Stability and Mechanical Properties. Coatings. 2025; 15(10):1135. https://doi.org/10.3390/coatings15101135
Chicago/Turabian StyleSun, Boke, Liang Li, Yitong Wang, Yuqi Chen, Zhaoshuai Song, and Ming Han. 2025. "Phase Engineering of Cu2S via Ce2S3 Incorporation: Achieving Enhanced Thermal Stability and Mechanical Properties" Coatings 15, no. 10: 1135. https://doi.org/10.3390/coatings15101135
APA StyleSun, B., Li, L., Wang, Y., Chen, Y., Song, Z., & Han, M. (2025). Phase Engineering of Cu2S via Ce2S3 Incorporation: Achieving Enhanced Thermal Stability and Mechanical Properties. Coatings, 15(10), 1135. https://doi.org/10.3390/coatings15101135

