Abstract
Surface pretreatment significantly influences the hygroscopic behavior of wood, which in turn affects surface stability when exposed to variable climatic conditions. This study focuses on how different surface pretreatment methods impact the performance of protective coating applied on spruce wood (Picea abies (L.) Karst.) during one year of natural weathering. Samples were prepared using various surface treatments: milling and sanding with grit sizes P40, P80, and P120, respectively. Two types of coatings were applied: a solventborne coating (ADLER Pullex Plus-Lasur) and a waterborne coating (DColor FK 47 UV Protect). The samples were exposed for 12 months at an outdoor testing site in Suchdol, Czech. Surface properties were assessed through color changes in the CIE Lab* space, gloss measurements (ISO 2813), contact angle analysis, and visual inspection. The results showed that exposure to UV radiation and microbial activities led to the gradual degradation of the optical properties and aesthetic appearance of the wood. Surfaces with greater roughness preserved their aesthetic properties more effectively, indicating a higher absorption of the coating. Untreated wood exhibited low water repellency, while the coated surface demonstrated enhanced hydrophobicity. Notably, the waterborne coating showed a temporary increase in contact angle around the sixth month, indicating surface clogging by dust particles. In contrast, the solventborne coating had a rapid decrease in wettability during the first nine months. These findings suggested the importance of surface pretreatment and coating type in maintaining the long-term performance and aesthetic appearance for wood used in exterior conditions.
1. Introduction
Wood is a traditional building material that retains its importance in modern construction due to its versatility, aesthetics, and ecological properties. Its use in contemporary architecture covers a wide range of applications—from load-bearing structures to interior cladding and facades. Thanks to new technologies and innovations in the field of surface treatment and surface coatings, wood is further promoted as a material that can meet strict requirements for durability and durability in outdoor conditions [1]. The use of wood for facades and cladding is often associated with the aesthetic, ecological, and functional properties of this material. However, it is necessary to consider its limitations that may affect its suitability for specific applications. For example, wood requires regular maintenance and appropriate surface treatment, such as impregnation, glazing, or UV-protective coatings, for ensuring its long service life [2]. Additionally, due to its naturally porous structure, wood is more susceptible to the accumulation of dirt, dust, and microorganisms [3]. Without a protective coating, these contaminants can clog the pore structure and accelerate surface degradation caused by both abiotic and biotic factors—particularly photodegradation caused by UV radiation, hydrolysis induced by moisture, and biodeterioration due to microbial colonization [4]. These degradation processes lead to a loss of wood’s natural color and result in the development of a characteristic grayish surface color, a result of lignin photochemical oxidation [5]. This weathering-induced patina effect is perceived as degradation, though in some cases it is intentionally used as an aesthetic feature [6]. In contemporary design, a naturally aged wood appearance is often seen as visually attractive and authentic, which reflects growing preferences for natural and sustainable materials [7,8]. However, in the woodworking and construction industry, the standard practice is to minimize natural aging, aiming to preserve the original appearance [9]. Color change is typically the first visible sign of weathering degradation [10], followed by the formation of cracks due to the loosening and erosion of the surface cell fibers that have lost cohesion from long-term weathering exposure [11]. Moisture plays a key synergistic role in this photodegradation process, not only by physically penetrating the material, but also by promoting the chemical disruption of the cell wall structure [12]. The swelling of wood due to moisture opens inaccessible areas of the cell wall, making lignin and cellulose more vulnerable toward UV radiation [13]. Long-term surface degradation can reduce the service life of wooden structural elements and lead to economic losses due to premature maintenance or replacement [14]. Photochemical degradation is often evaluated by monitoring the cellulose crystallinity index and photochemical transformations of lignin over time [5,15]. These parameters are also linked to photoyellowing, an important indicator of lignocellulose degradation [16].
The proper selection of a surface treatment is important for ensuring the long-term protection of exterior wood [17,18]. The most common coating systems include solventborne coatings and waterborne coatings, which differ in their chemical composition, application, environmental impacts, and long-term performance. Solventborne coatings, usually based on alkyd, polyurethane, or epoxy binders, exhibit a strong resistance to moisture, UV radiation, and mechanical wear. Their ability to penetrate deeper into the wood helps form a robust protective film, making them suitable for surfaces exposed to harsh exterior conditions [19]. However, they tend to have a higher volatile organic compound (VOC) content, which poses environmental and health risks during application and curing. On the other hand, waterborne coatings, such as those based on acrylic or hybrid polymers, are more environmentally friendly alternatives. They have lower VOC emissions and meet strict legislative limits, making them suitable for use in inhabited or sensitive areas [20]. When formulated with advanced additives (e.g., UV absorbers, HALS stabilizers), waterborne coatings can achieve a performance comparable to solventborne coatings, which increases degradation resistance and maintains color [21,22,23]. These coatings also give faster drying and lowered odor, which increases user comfort during application.
The surface pretreatment of wood plays a significant role, affecting the resistance to weathering. Wood mechanical processing, including cutting, milling, and sanding, can fundamentally change the surface layer. For example, milling, which mechanically separates the material with a sharp tool edge, creates a relatively smooth surface, but could also close pores or disrupt cellular structure, potentially reducing coating penetration and protective effectiveness [24]. In contrast, a sanding process uses a different material removal mechanism, involving numerous abrasive grains with a negative rake angle [25]. This method gradually removes fine wood particles without forming continuous chips, thereby minimizing the risk of microcracks or surface damage. A key parameter in sanding is the abrasive grain size (also called grit size), which refers to the average diameter of the abrasive particles used in sandpaper. It is typically defined by the number of mesh openings per inch through which the grains can pass, with higher numbers indicating finer grains. The number of grains per unit area is instead related to the abrasive coating type (closed coat, open coat, semi-open coat) and can be referred to as abrasive grain density or abrasive grit distribution [26]. Higher grain size values correspond to finer abrasives, which lead to smoother and more uniform surfaces. The choice of grain size must align with the desired aesthetic properties of the resulting product.
Given this background, it is clear that the method of surface pretreatment is one of the important parameters in determining the long-term durability of exterior wood. While many studies on wood weathering have been conducted under controlled laboratory conditions [27,28,29], investigating natural weathering conditions provides valuable data for developing service life prediction models and optimizing protective systems for real-world applications. Their main findings highlight the significant role of UV radiation in lignin degradation, as well as the influence of moisture cycles on crack formation, color change, and gloss loss. Although such approaches allow for rapid evaluation and controlled repeatability, they may not fully replicate the complexity of outdoor environments. The aim of this work is to experimentally assess how different surface pretreatment methods—specifically milling and sanding with different grain sizes—affect the effectiveness of protective coatings on spruce (Picea abies (L.) Karst.) during natural weathering. The novelty of this study lies in the combined evaluation of surface pretreatment methods and coating types under one year of natural outdoor weathering. Unlike previous research based mainly on short-term laboratory tests, this work demonstrates how pretreatment and coating interact to influence the long-term durability and aesthetic performance of spruce wood in real exterior conditions.
2. Materials and Methodology
2.1. Sample Preparation
Crack and knot-free Norway spruce (Picea abies (L.) Karst.), originating from the Czech Republic (Kostelec nad Černými lesy 391 m a.s.l.), was cut into dimensions of 378 × 78 × 20 mm3 (Longitudinal (L) × Tangential (T) × Radial (R)) in accordance with the requirements for European Standard EN 927-3 [30]. All samples were conditioned at a relative humidity (RH, ϕ) of 65 ± 5% and temperature (t) of 20 ± 2 °C until an equilibrium moisture content (EMC) of approximately 12% was reached. Surface treatment was performed using a Festool ETS EC 150/5 (Festool GmbH, Wendlingen am Neckar, Deutschland) eccentric sander, and three sanding grades were applied using sandpaper with grit sizes P40, P80, and P120. Nine samples were prepared for each sanding grade, and an additional nine samples with the original milled surface were retained as a control group.
According to the standard, each sample was divided into five equal segments by marking four transverse lines on both longer edges, as illustrated in Figure 1.
Figure 1.
Marking of measurement zones on the sample—green for the spectrophotometer, blue for the glossmeter.
For each surface treatment (milling, P40, P80, and P120), three samples were coated with one of two coating systems for each time the wet film thickness was 60 µm. The first set (n = 12) was coated with a solventborne alkyd coating (ADLER Pullex PLUS-LASUR_Pigmented, ADLER-Werk Lackfabrik GmbH, Schwaz, Austria). These samples are referred to as group 1 in the results. The second set (n = 12) was coated with a waterborne acrylic coating (DColor FK 47 UV PROTECT_Pigmented, MATRIX a.s., Třebešov, Czech Republic). These samples are referred to as group 2. Both coatings were applied in two layers and cured in accordance with the manufacturer’s technical datasheets. The spreading rate of each coating was determined according to the manufacturers’ technical data sheets: ADLER Pullex PLUS-LASUR Pigmented—spreading rate: 8–12 m2/L, DColor FK 47 UV PROTECT Pigmented (MATRIX a.s., Třebešov, Czech Republic)—spreading rate: 9–12 m2/L. Uncoated samples (n = 12) were used as a reference group. The front sides were treated with silicone coating to prevent distortion of the results. After the curing and initial measurements, all samples were exposed to natural weathering.
- All types of samples had the following codes:
- SM F-R: spruce wood—reference.
- SM-120-R: spruce wood—P120-sanded—reference.
- SM-80-R: spruce wood—P80-sanded—reference.
- SM-40-R: spruce wood—P40-sanded—reference.
- SM F-1: spruce wood—reference—solventborne coating.
- SM-120-1: spruce wood—P120-sanded—solventborne coating.
- SM-80-1: spruce wood—P80-sanded—solventborne coating.
- SM-40-1: spruce wood—P40-sanded—solventborne coating.
- SM F-2: spruce wood—reference—waterborne coating.
- SM-120-2: spruce wood—P120-sanded—waterborne coating.
- SM-80-2: spruce wood—P80-sanded—waterborne coating.
- SM-40-2: spruce wood—P40-sanded—waterborne coating.
- Afterwards, these abbreviations are used consistently throughout the manuscript.
2.2. Natural Weathering
Natural weathering was conducted at the Prague-Suchdol site (50°07′49.68′′ N; 14°22′13.87′′ E, 285 m altitude) for 12 months from June 2023 to June 2024. Samples were mounted at a 45° angle to the horizontal, facing south, and positioned approximately 1 m above ground, in accordance with EN 927-3 [30]. Before each measurement, samples were conditioned at 20 °C and RH 65%. Evaluations were carried out at five intervals: 0 months (before exposure), after 3 months, after 6 months, after 9 months, and after 12 months. Climatic conditions were continuously monitored throughout the exposure period, with key parameters presented in Table 1 [31].
Table 1.
Climatic conditions [31].
2.3. Color Measurement
Color changes (ΔE*) were monitored using the CIE Lab* color system [32], which quantifies color differences in three dimensions. Measurements were performed using a CM-600d spectrophotometer (Konica Minolta, Osaka, Japan) under D65 illumination (corresponding to daylight at 6500 K), geometry d/8, and inclusion of the specular component at an angle of 10°. The sensor head was 6 mm in diameter. The internal software contains all necessary colorimetric equations. All values of L*, a*, and b* were obtained after each measurement automatically. These data are used to calculate the other parameters, such as ΔE * (according to Equation (1)). To improve properties of the spectrophotometer, the “SpectraMagic NX (Version. 3.40)” software (Konica Minolta, Osaka, Japan) was used, owing to which the process of color measurement can be easily controlled and all data exported to Excel.
Eight marked measurement points per sample were analyzed, with two replicates taken at each point.
- The CIE Lab* parameters are defined as follows:
- L*—lightness (0 = black, 100 = white).
- a*—red–green color axis (+ = red, − = green).
- b*—yellow–blue color axis (+ = yellow, − = blue).
Total color difference (ΔE) was calculated using Equation (1):
ΔE values classified according to EN 927-3 [30] are shown in Table 2.
Table 2.
Classification of color changes according to EN 927-3 [30].
2.4. Gloss Measurement
Surface gloss was evaluated according to ISO 2813 [33] using a gloss meter MG268-F2 (KSJ, Quanzhou, China) at a incidence angle of 60°, suitable for general surface coating. Prior to testing, the instrument was calibrated on a certified black glass reference standard provided by the manufacturer. Each specimen was measured at four predefined and permanently marked positions to ensure consistency across exposure intervals. At each position, four consecutive readings were taken and averaged to minimize random variability. The reported gloss values therefore represent the mean of 16 readings per sample (4 positions × 4 repeats). Gloss loss (expressed as the percentage decrease relative to the initial value at 0 months) was used as a quantitative indicator of surface aging and coating degradation over the exposure period.
2.5. Wettability Changes
Surface hydrophobicity was quantified by static contact angle measurements using a Krüss DSA 30E goniometer (Krüss GmbH, Hamburg, Germany). Contact angles were measured using the sessile drop method, in which a small droplet of water is placed on the sample surface and the angle formed between the droplet and the surface is recorded. This method allows for the assessment of surface wettability and hydrophobicity. Measurements were performed on tangential surfaces at 10 randomly selected points per sample using the sessile drop method with 5 µL distilled water. Contact angles were recorded 5 s after droplet deposition, based on preliminary tests that confirmed droplet stabilization.
A contact angle < 90° indicates a hydrophilic (wetting) surface, while angles > 90° indicate hydrophobic (non-wetting) behavior. Changes in wettability over time reflect coating degradation and changes in chemical composition and morphology due to photodegradation and environmental influences.
2.6. Adhesion Test
See Table 3 ČSN EN ISO 2409 [34]. A series of parallel cuts are made in two directions on the surface of the coating, creating a grid (usually 6 × 6 squares). The cuts must penetrate all the way to the substrate. Adhesive tape is then applied to the grid, which is then peeled off after a short time. The spacing between the cuts was chosen according to the coating thickness of 1 mm recommended for coatings up to 60 µm. The evaluation of the results of the grid adhesion test according to ČSN EN ISO 2409 [34] is shown below (Table 3):
Table 3.
Evaluation according to ČSN EN ISO 2409 [34].
2.7. Visual Evaluation and Microscopic Analyses
Macroscopic changes were recorded using a desktop scanner (Canon 2520 MFP, Canon Inc., Tokyo, Japan) with a resolution of 300 DPI. This allowed visual documentation of changes in color, gloss, and surface defects. Each sample was scanned at the same orientation and under consistent lighting conditions at predefined intervals (0, 3, 6, 9, and 12 months).
Detailed surface morphology was characterized via confocal laser scanning microscopy (CLSM) using a Lext OLS 4100 (Olympus Corporation, Tokyo, Japan). This allowed 3D imaging of the surface at submicron resolution, enabling observation of microcracks, cell loosening, and surface degradation caused by weathering. Measurements at multiple predefined locations on each sample were analyzed to correlate microscopic surface alterations with macroscopic changes in color and gloss.
2.8. Roughness Measurement
Surface roughness (Ra) was measured using a tip surface profilometer (Form Talysurf Intra 2, Leicester, UK). Measurements were carried out at five predefined points on each sample to ensure representative results. The arithmetic average roughness (Ra) was calculated from these points. The instrument was set with the following parameters: diamond tip radius 2 µm, tip angle 90°, tracing length 4.8 mm, cut-off 0.8 mm, and tip speed 0.5 mm/s. Mean Ra values with standard deviations are reported to represent the surface characteristics of each sample. The instrument recorded the surface profile in terms of peak height, width, and shape and ridges on the machine surfaces. The average surface roughness (Ra) is measured as the arithmetic mean of the absolute values of all peak and ridge deviations from the mean value. This value was selected as the most appropriate based on previous studies [5,8,26].
- The instrument settings were as follows:
- Range/Resolution: 32 mm stylus: 32 mm/125 nm (1.26 in/4.8 μin),
- Reach: 50 mm,
- Shank clearance: 5.3 mm,
- Tip radius: 2 µm,
- Tip angle: 90°,
- Minimum bore: 10 mm.
2.9. Statistical Analyses
Data analysis was conducted using MS Excel 2024 (Microsoft, Redmond, WA, USA) and Statistica 14 softwares (StatSoft, Palo Alto, CA, USA). The arithmetic mean and degree of variation were calculated for all parameters. Statistical differences among groups were tested using Duncan’s multiple range test at a 95% confidence level. Results were visualized using graphs with significance indications.
3. Results and Discussion
The effects of different surface pretreatments on spruce wood revealed that the type of machining and the abrasive grain size significantly influenced the behavior and performance of the applied surface coatings during natural weathering. Throughout the study, visual changes, color changes, gloss, hygroscopicity, and surface roughness were analyzed.
3.1. Visual Changes
The surface color changes in the samples were documented using high-resolution scans, allowing the progressive visual degradation over time to be recorded (Table 4, Table 5 and Table 6). All tested samples showed clear color changes, indicating photochemical degradation caused by natural weathering.
Table 4.
Appearance of uncoated wood surface.
Table 5.
Appearance of waterborne-paint-coated wood surface.
Table 6.
Appearance of solventborne-paint-coated wood surface.
The absorption of light radiation by lignin initiates photochemical reactions, forming free radicals. These reactive intermediates subsequently react with molecular oxygen to form chromophoric carbonyl (i.e., chemical groups in lignin that absorb light in the visible spectrum, leading to surface darkening or graying) and carboxyl groups. The formation of these groups within the lignin structure is the main cause of the observed surface color changes during UV exposure [35,36]. In a clean environment, UV exposure would bleach the wood to a whitish tone [1], but natural outdoor exposure leads to dirt and mold contamination (Figure 2), leading to the undesirable graying of facade boards.
Figure 2.
Microscopic image of contaminated wood surface.
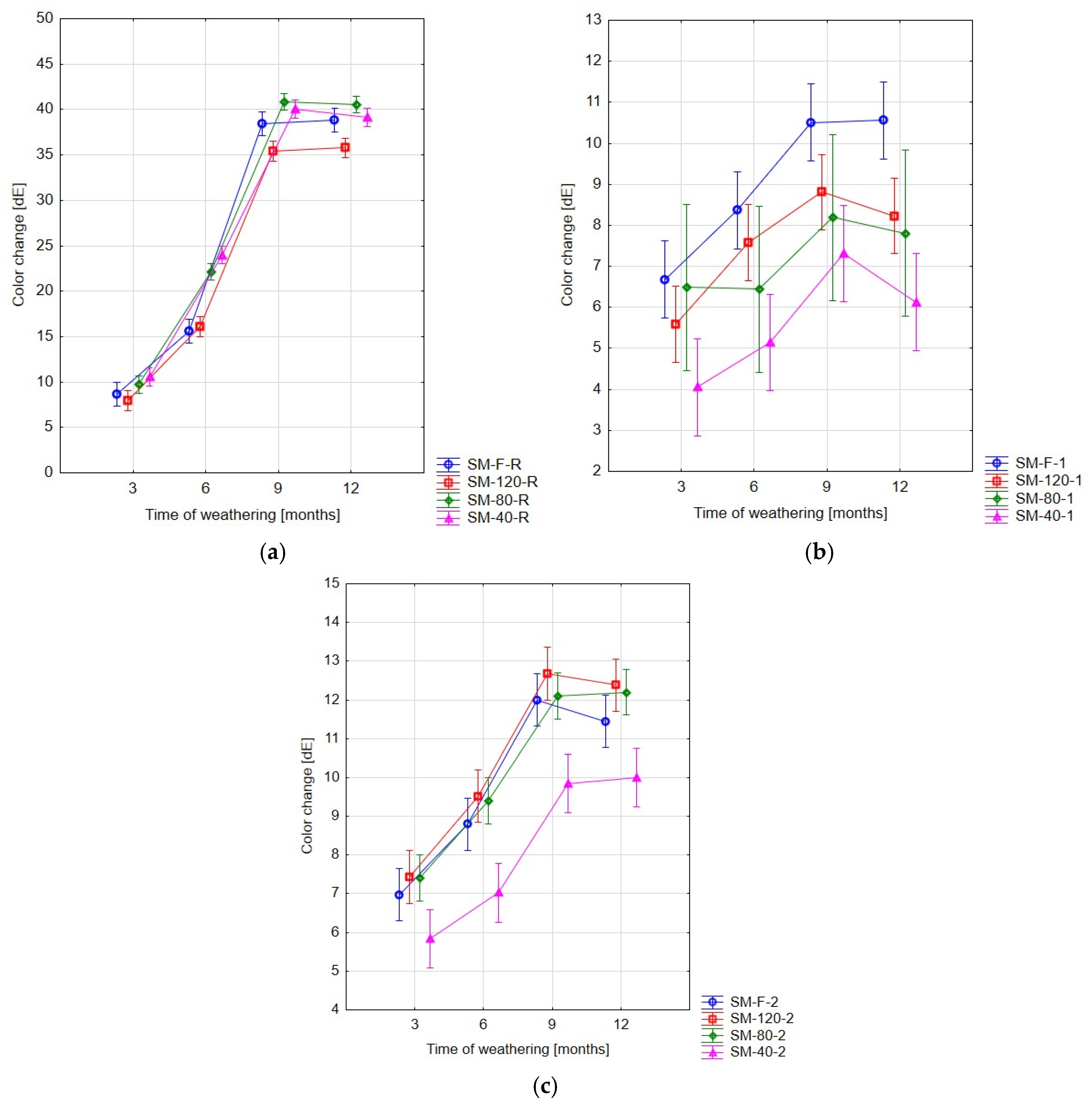
3.2. Color Changes
Total color change (ΔE) results are presented in Figure 3. The uncoated samples (Figure 3a) showed significant color changes during the first nine months, with the largest change happening between the 6th and 9th months. According to the classification in Table 2, ΔE values exceeded 12 units, indicating that the samples had changed to completely new colors. The finding was consistent with the scanning images in Table 3, Table 4 and Table 5, where the color changed from the classic brown color of spruce to a silver-gray color. Surface graying indicated the photochemical degradation of lignin due to long-term exposure to UV radiation and biotic contamination by microbial colonizers, especially bacteria and fungi. After the 9th month, the color changes slowed considerably. The final measurements suggested that surface roughness had little effect overall, though P120-sanded samples performed slightly better.
Figure 3.
Color change (ΔE) of (a) reference, (b) solventborne coating, and (c) waterborne coating.
For the waterborne-paint-coated sample in Figure 3c, a similar time trend was observed; the strongest degradation (color change) occurred between the 3rd and 9th months, with the latter half of this period showing the greatest changes. This can be attributed to seasonal effects—spring and summer bring higher solar intensity and therefore increase UV degradation rates [37]. Notably, the P40 sanded surface showed markedly lower ΔE values, probably because its rougher surface texture allowed more coating absorption. Therefore, discoloration was alleviated [38].
For the solventborne coating shown in Figure 3b, it is difficult to determine the statistical certainty of the best pretreatment method due to the similarity of each curve. However, the P80-sanded sample showed a larger diversity in ΔE. Therefore, it can be concluded that smoother surfaces, such as those milled or sanded with a grain size of P120, can result in greater color changes. For the waterborne coating, the better results may be linked to more absorption of coating into the wood. In contrast, for the solventborne coating, the data show a larger diversity, possibly due to uneven paint application, making the results less conclusive.
3.3. Gloss Changes
Gloss values of the uncoated samples (Figure 4a) increased across all surface pretreatments in the initial phase of exposure, with the maximum typically reached within the first three months. For the P-120 sanded samples, this upward trend continued until the 6th month. Gloss increased initially due to the early photochemical degradation of lignin in the wood’s surface layers [39,40]. UV radiation causes the breakdown of lignin, which lightens the surface. The increased light reflection from the lightened surface is shown manifested as a temporary increase in the measured gloss values. Between the 6th and 9th months, all the uncoated samples showed a sharp decrease in gloss, due to microbial contamination—particularly fungal and bacterial colonization—which decreases optical properties and gives wood a dull appearance [41,42]. In the last third of the monitored period, gloss values across the samples stabilized, without significant changes observed.
Figure 4.
Gloss changes in (a) reference, (b) solventborne coating, and (c) waterborne coating.
For the waterborne-paint-coated samples (Figure 4c), significant differences in gloss behavior were observed depending on the surface pretreatment. The P-120 sanded samples showed the highest initial gloss but also experienced the most significant decrease during the entire exposure. In contrast, samples with the roughest surface pretreatment consistently achieved the lowest gloss values, with the smallest decrease rate. This can be explained by the rough surface absorbing more paint, leading to higher resistance to degradation [43]. On the other hand, the lower initial gloss is attributed to increased microroughness, which reduces reflectivity. Interestingly, surfaces pretreated by milling and those sanded with P80 grits showed almost identical gloss profiles in both trend and absolute values over time.
For solventborne-paint-coated samples, the gloss decrease was most pronounced within the first three months, after which the values gradually stabilized. Across coating types, the relative ranking of surface pretreatments in terms of gloss values and changes remained similar. However, statistical verification of these differences is complicated by the high variability in the measured data, especially for finely sanded samples (P-120). A wide dispersion in gloss values was already noted for this group when evaluating color changes, which indicates an uneven coating application. Such surfaces likely showed a lower absorbency, potentially leading to local overloading of the coating during manual application—especially in areas with irregular tool movement.
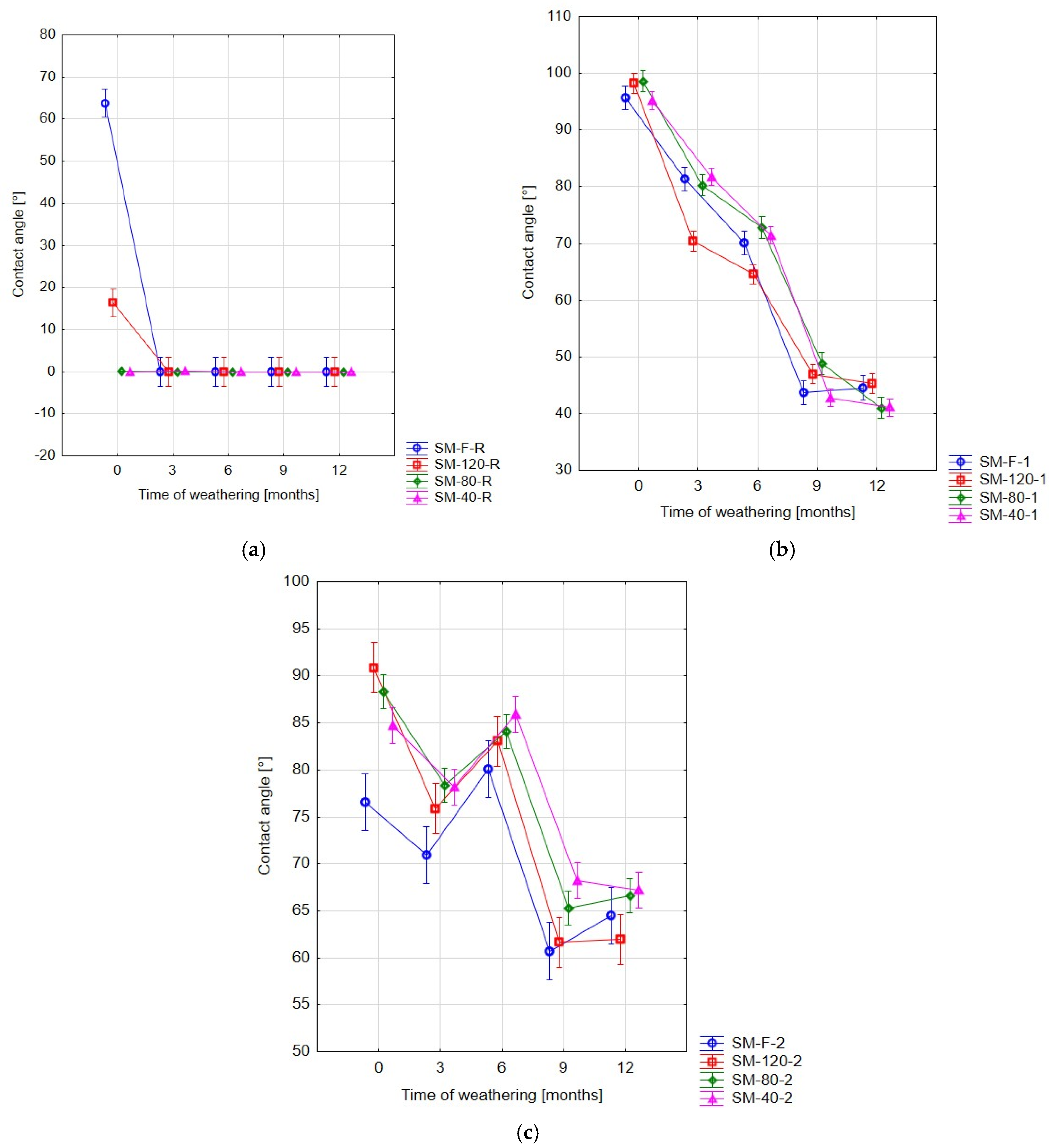
3.4. Wettability Changes
The wettability measurements of uncoated wood (Figure 5a) confirmed the importance of applying a protective coating. It is evident that contact could only be determined during the initial measurement, and only for the smoothest surfaces—namely, the milled surface and the P-120 sanded surface. For all other uncoated samples, a water droplet was absorbed immediately, preventing accurate measurements. This result indicated the very low inherent water repellency of uncoated wood, especially on rougher surfaces.
Figure 5.
Changes in hygroscopicity of (a) reference, (b) solventborne coating, and (c) waterborne coating.
For waterborne paint coating samples, the contact angle decreased during the first three months of exposure (Figure 5c), indicating the early degradation of the coating. Surprisingly, values increased in the 6th month, indicating a temporary improvement in water repellency, likely due to the clogging of microcracks, pores, and surface irregularities by dust or organic particles. This effect was short: contact angles dropped sharply between the 6th and 9th months, then stabilized in the final period. Although the trends were similar across surface pretreatments, rougher surfaces generally retained higher contact angles in the later stages. This is because they absorbed more paint, which improved long-term protection. The gradual decrease in the contact angle over time results from droplet spreading, water–wood surface interactions, and the physicochemical properties of the substrate. During natural weathering, the wood substrate gradually loses moisture through water evaporation, which occurs continuously over the exposure period. This process affects the coating–substrate interaction, leading to changes in surface properties such as roughness and contact angle. In particular, the initial moisture loss can cause slight swelling or shrinkage of the wood, which may influence coating adhesion and wettability measurements over time.
For waterborne-paint-coated samples (Figure 5c), the contact angle decrease is influenced by both water evaporation and the coating’s ability to limit water penetration. Previous studies indicated evaporation as the dominant mechanism, with absorption playing a secondary role [44,45,46]. Surface morphology is another factor. For example, due to chemical treatment or exposure to weathering, an increase in the roughness of the substrate can occur. The increased roughness promotes droplet spreading and leads to a decrease in the contact angle [47,48,49]. This effect is more pronounced after surface degradation by natural aging or artificial UV radiation, which compromises both the coating cohesion and the wood’s cellular structure integrity.
For the solventborne coating, the contact angle decreased almost linearly during the first nine months, from 100° to approximately 50° (Figure 5b). In the fourth quarter, the values stabilized, and further changes were minimal. The trends were consistent across surface treatments. The P120-sanded surface showed a faster degradation of water-repellency in the early stages of exposure, but by the 9th and 12th months it achieved slightly better results than the P40-sanded surface. Although the solventborne coating initially achieved higher contact angles than the waterborne coating, its contact angles decreased faster and more pronouncedly in the overall measured period.
The rate of wettability depends on the combined effects of coating properties, the nature of the wood species (especially the density and surface anatomy), and the degree of degradation during exposure [49,50,51]. These interrelated factors should be considered when evaluating transparent coating systems for long-term outdoor performance.
3.5. Adhesion Test
A grid adhesion test of the coating systems was performed in accordance with EN ISO 2409 [34]. The results of the individual coatings (Table 7) did not show significant differences in adhesion, indicating the use of thin-film coating systems, which generally show a higher degree of cohesion with the substrate. The best results were achieved by the synthetic coating applied to a surface prepared by grinding with a grain size of 40, indicating a positive effect of the coarser profile on the mechanical anchoring of the coating.
Table 7.
Adhesion test accordance to EN ISO 2409 [34].
3.6. Surface Roughness
Figure 6 shows the change in roughness in relation to the surface pretreatment. Although the graphs appear similar between different pretreatments, the main difference is the peak values of each measurement. The lowest surface roughness was observed for the milled surface. The variance ranged from −20 to +30 µm, while for the roughest surface (sanded with grit P-40) it ranged from −50 to +50 µm. Surface roughness greatly influences the absorption of protective coatings. In the case of higher roughness, the coatings penetrated the surface more deeply, and, when comparing the results, both types of coating showed higher stability, especially for color fastness.
Figure 6.
Surface roughness.
3.7. Overall Discussion
Considering the results as a whole, it is evident that the milled surface is the least stable, despite its common use, chosen due to practical considerations in grinding operations. However, this does not contribute to the long-term durability of the applied coating. When considering both roughness and color changes, a higher degree of roughness was shown to significantly enhance the coating performance. A more absorbed coating tends to show better color stability and retains its protective properties.
However, a rougher surface, as demonstrated in Table 3, Table 4 and Table 5, is more susceptible to contamination by impurities and mold spores, which could have a negative effect. Although this effect was not confirmed in our experiment, previous studies by Štěrbová et al. 2021 [51] and Oberhofenerová et al. 2019 [52] indicate that such degradation would become more apparent over time. Given the exposure configuration (south-facing, 45°), the observed appearance changes are consistent with UV-initiated photo-degradation pathways. Progressive gloss loss can be attributed to the UV-induced micro-roughening of the surface and partial erosion of the binder. The emergence of fine surface cracks after mid-exposure is compatible with the UV-driven embrittlement of the polymer matrix. Incipient chalking reflects the loss of binder cohesion and exposure of pigment/filler particles following photolysis and oxidative reactions in the coating. Rougher, milled substrates likely exhibited locally thinner films and greater light scattering, amplifying these effects. Overall, the degradation patterns support a UV-dominated mechanism during natural weathering.
3.8. Recommendation
The application of protective coatings is necessary to ensure the long-term durability of wood in outdoor conditions. An untreated surface is not able to permanently resist UV radiation and moisture.
Rougher surface treatment, e.g., sanding with grit sizes P-40–P-80, increases the retention of coating systems and thus their effectiveness, and are therefore more suitable for exterior use where functional protection against weathering is the priority.
Choosing a coating system should reflect the specific environmental conditions: solventborne coatings appear to be more suitable for environments with higher loads, while waterborne coatings may be preferred from an ecological perspective.
The regular monitoring and maintenance of the surface finish are crucial for maintaining protective and aesthetic properties. It is recommended to establish a planned recoating interval depending on the type of surface, the system used, and the exposure. The recommended recoating interval is 9–12 months. In applications with higher aesthetic demands (e.g., wooden cladding, garden furniture), fine sanding can be used, but only if the coating is applied precisely and evenly. For structural elements and less maintained areas, it is more appropriate to choose a coarser surface treatment with a waterborne coating.
4. Conclusions
The experimental results show that both the surface pretreatment and coating system can affect the resistance and aesthetic properties of wood during natural weathering. Uncoated samples showed a rapid degradation of lignin caused by photocatalytic chemical decomposition, which led to a change in color, a decrease in gloss, and a complete loss of hydrophobicity during the first three months of exposure. Both water-based and solvent-based coatings provided noticeable protection. Differences in surface treatments mainly affected the rate and extent of degradation. Surfaces with a higher degree of roughness exhibited lower initial gloss values. However, they maintained contact angle stability longer and degraded more slowly, suggesting a higher coating absorption and thicker applied layers. In contrast, smoother surfaces with finer finishing lost protective properties more quickly over time.
Author Contributions
Writing—original draft, O.D. and D.J.; conceptualization, O.D.; supervision, M.S.K.; project administration, M.S.K. and P.P.; methodology, M.S.K., P.H. and C.-F.L.; investigation, M.S.K. and C.-F.L.; formal analysis, M.S.K.; validation, P.H. and M.K.; resources, P.H. and M.K.; visualization, M.K.; writing—review & editing, C.-F.L. and D.J.; software, P.P.; All authors have read and agreed to the published version of the manuscript.
Funding
This research received no external funding.
Institutional Review Board Statement
Not applicable.
Informed Consent Statement
Informed consent was obtained from all subjects involved in the study.
Data Availability Statement
The data presented in this study are openly available in article.
Acknowledgments
The authors thank the Faculty of forestry and wood sciences for funding project IGA A_01_24 (Optimalization of parameters of wood-based loudspeaker enclosures).
Conflicts of Interest
The authors declare no conflicts of interest.
References
- Rowell, R.M. Understanding wood surface chemistry and approaches to modification: A review. Polymers 2021, 13, 2558. [Google Scholar] [CrossRef]
- Evans, P.D.; Haase, J.G.; Shakri, A.; Seman, B.M.; Kiguchi, M. The Search for Durable Exterior Clear Coatings for Wood. Coatings 2015, 5, 830–864. [Google Scholar] [CrossRef]
- Cogulet, A.; Blanchet, P.; Landry, V. The multifactorial aspect of wood weathering: A review based on a holistic approach of wood degradation protected by clear coating. BioResources 2018, 13, 2116–2138. [Google Scholar] [CrossRef]
- Kropat, M.; Hubbe, M.A.; Laleicke, F. Natural, accelerated, and simulated weathering of wood: A Review. BioResources 2020, 15, 9998–10062. [Google Scholar] [CrossRef]
- Hill, C.; Altgen, M.; Rautkari, L. Thermal modification of wood—A review: Chemical changes and hygroscopicity. J. Mater. Sci. 2021, 56, 6581–6614. [Google Scholar] [CrossRef]
- Lesar, B.; Humar, M.; Osvald, F. Colour Changes of Weathered Wood Surfaces Before and After Treatment with Iron (II) Sulphate. Drv. Ind. 2024, 75, 5–17. [Google Scholar] [CrossRef]
- Gelbrich, J.; Mai, C.; Militz, H. Chemical changes in wood degraded by bacteria. Int. Biodeterior. Biodegrad. 2008, 61, 24–32. [Google Scholar] [CrossRef]
- Reinprecht, L.; Nosáľ, E.; Jaš, F. The impact of accelerated weathering on the mold resistance and color stability of the norway spruce wood treated with naturalis oils. Acta Fac. Xylologiae 2018, 60, 93–104. [Google Scholar] [CrossRef]
- Salla, J.; Pandey, K.K.; Prakash, G.K.; Mahadevan, K.M. Photo-bleaching and dimensional stability of rubber wood esterified by fatty acid chlorides. J. Wood Chem. Technol. 2012, 32, 121–136. [Google Scholar] [CrossRef]
- Sinha, A.; Udele, K.E.; Cappellazzi, J.; Morrell, J.J. A Method to Characterize Biological Degradation of Mass Timber Connections. Wood Fiber Sci. 2020, 52, 419–430. [Google Scholar] [CrossRef]
- Feist, W.C.; Hon, S.D.N. Chemistry of weathering and protection. In The Chemistry of Solid Wood; Advances in Chemistry Series; American Chemical Society: Washington, DC, USA, 1984; pp. 401–451. [Google Scholar] [CrossRef]
- Austigard, M.S.; Mattsson, J. Fungal damages in Norwegian massive timber elements—A case study. Wood Mater. Sci. Eng. 2020, 15, 326–334. [Google Scholar] [CrossRef]
- Hill, C.A.S. Wood Modification: Chemical, Thermal and Other Processes; Wiley Series in Renewable Resources; John Wiley: Chichester, UK, 2006; p. 264. ISBN 0-470-02172-1. [Google Scholar]
- Fu, Z.; Chen, J.; Zhang, Y.; Xie, F.; Lu, Y. Review on Wood Deformation and Cracking during Moisture Loss. Polymers 2023, 15, 3295. [Google Scholar] [CrossRef] [PubMed]
- Esteves, B.M.; Pereira, H. Wood modification by heat treatment: A review. BioResources 2009, 4, 370–404. [Google Scholar] [CrossRef]
- Reinprecht, L.; Vidholdová, Z. Termodrevo–Príprava, Vlastnosti a Aplikácie [ThermoWood–Preparing, Properties and Applications]; Technical University in Zvolen: Zvolen, Slovakia, 2008. (In Slovak) [Google Scholar]
- Scrinzi, E.; Rossi, S.; Deflorian, F.; Zanella, C. Evaluation of aesthetic durability of waterborne polyurethane coatings applied on wood for interior applications. Prog. Org. Coat. 2011, 72, 81–87. [Google Scholar] [CrossRef]
- Gosselink, R.J.A.; Krosse, A.M.A.; van der Putten, J.C.; van der Kolk, J.C.; de Klerk-Engels, B.; van Dam, J.E.G. Wood preservation by lowtemperature carbonisation. Ind. Crops Prod. 2004, 19, 3–12. [Google Scholar] [CrossRef]
- Morrell, J.J. Protection of wood: A global perspective on the future. Sigma J. Eng. Nat. Sci. 2019, 10, 81–94. Available online: https://sigma.yildiz.edu.tr/storage/upload/pdfs/1635923105-en.pdf (accessed on 24 January 2025).
- Olsson, S.K.; Johansson, M.; Westin, M.; Östmark, E. Reactive UV-absorber and epoxy functionalized soybean oil for enhanced UV-protection of clear coated wood. Polym. Degrad. Stab. 2014, 110, 405–414. [Google Scholar] [CrossRef]
- Kocaefe, D.; Saha, S. Comparison of the protection effectiveness of acrylic polyurethane coatings containing bark extracts on three heat-treated North American wood species: Surface degradation. Appl. Surf. Sci. 2012, 258, 5283–5290. [Google Scholar] [CrossRef]
- Saha, S.; Kocaefe, D.; Boluk, Y.; Pichette, A. Surface degradation of CeO2 stabilized acrylic polyurethane coated thermally treated jack pine during accelerated weathering. Appl. Surf. Sci. 2013, 276, 86–94. [Google Scholar] [CrossRef]
- Saha, S.; Kocaefe, D.; Krause, C.; Boluk, Y.; Pichette, A. Enhancing exterior durability of heat-treated jack pine by photo-stabilization by acrylic polyurethane coating using bark extract. Part 2: Wetting characteristics and fluorescence microscopy analysis. Prog. Org. Coat. 2013, 76, 504–512. [Google Scholar] [CrossRef]
- Silva, F.J.G.; Martinho, R.P.; Magalhães, L.L.; Fernandes, F.; Sales-Contini, R.C.M.; Durão, L.M.; Casais, R.C.B.; Sousa, V.F.C. A Comparative Study of Different Milling Strategies on Productivity, Tool Wear, Surface Roughness, and Vibration. J. Manuf. Mater. Process. 2024, 8, 115. [Google Scholar] [CrossRef]
- Sanıvar, N.; Zorlu, I. Woodworking Equipment Knowledge Basic Course Book; Vocational and Technical Education Books; Survey and Programming Department Publications No: 43; National Education Printing House: Istanbul, Türkiye, 1980; Available online: https://www.nadirkitap.com/agacisleri-gerec-bilgisi-orta-dereceli-endustriyel-teknik--ogretim-okullari-temel-ders-kitabi-nazim-sanivar-irfan-zorlu-kitap26545271.html (accessed on 1 June 2025).
- Očkajová, A.; Kučerka, M.; Kminiak, R.; Banski, A. Sustainable Manufacturing Process in the Context of Wood Processing by Sanding. Coatings 2021, 11, 1463. [Google Scholar] [CrossRef]
- Chang, S.T.; Chou, P.L. Photo-discoloration of UV-curable acrylic coatings and the underlying wood. Polym. Degrad. Stab. 1999, 63, 435–439. [Google Scholar] [CrossRef]
- Deka, M.; Petrič, M. Photo-degradation of water borne acrylic coated modified and non-modified wood during artificial light exposure. BioResources 2008, 3, 346–362. [Google Scholar] [CrossRef]
- Torcătoru, M.J.; Timar, M.C. Light-Induced Color Changes in Wood Surfaces in Indoor Conditions Determined by an Artificial Accelerated Test: Influence of Wood Species and Coating Materials. Appl. Sci. 2024, 14, 1226. [Google Scholar] [CrossRef]
- EN 927-3:2020; Paints and Varnishes. Coating Materials and Coating Systems for Exterior Wood. Part 3: Natural Weathering Test. European Committee for Standardization: Brussels, Belgium, 2020.
- Meteorologic Data 1.6.2025. Available online: http://meteostanice.agrobiologie.cz (accessed on 20 April 2025).
- Tolvaj, L.; Faix, O. Artificial ageing of wood monitored by DRIFT spectroscopy and CIE L* a* b* color measurements. 1. Effect of UV light. Holzforschung 1995, 49, 397–404. [Google Scholar] [CrossRef]
- ISO 2813:2014; Paints and Varnishes—Determination of Gloss Value at 20 Degrees, 60 Degrees and 85 Degrees. BSI Standards Publication: London, UK, 2014.
- EN ISO 2409:2020; Paints and Varnishes—Cross-Cut Test. ISO: Geneva, Switzerland, 2020.
- Pandey, K.K. A note on the influence of extractives on the photo-discoloration and photo-degradation of wood. Polym. Degrad. Stab. 2005, 87, 375–379. [Google Scholar] [CrossRef]
- Fodor, F.; Dömény, J.; Horváth, P.G.; Pijáková, B.; Baar, J. The Weathering of the Beech and Spruce Wood Impregnated with Pigmented Linseed Oil. Coatings 2024, 14, 1374. [Google Scholar] [CrossRef]
- Yang, S.; Kang, S. Assessment of color and contact angle changes in waterborne stained wood under natural weathering condition of South Korea’s summer climate. BioResources 2024, 19, 1666–1679. [Google Scholar] [CrossRef]
- Jankowska, A.; Rybak, K.; Nowacka, M.; Boruszewski, P. Insight of Weathering Processes Based on Monitoring Surface Characteristic of Tropical Wood Species. Coatings 2020, 10, 877. [Google Scholar] [CrossRef]
- Ghosh, M.; Gupta, S.; Kishan Kumar, V.S. Studies on the loss of gloss of shellac and polyurethane finishes exposed to UV. Maderas. Cienc. Tecnol. 2015, 17, 39–44. [Google Scholar] [CrossRef]
- Teacă, C.-A.; Roşu, D.; Bodîrlău, R.; Roşu, L. Structural changes in wood under artificial UV light irradiation determined by FTIR spectroscopy and color measurements—A brief review. BioResources 2013, 8, 1478–1507. [Google Scholar] [CrossRef]
- Georgakopoulos-Soares, I.; Papazoglou, E.L.; Karmiris-Obratański, P.; Karkalos, N.E.; Markopoulos, A.P. Surface antibacterial properties enhanced through engineered textures and surface roughness: A review. Colloids Surf. B Biointerfaces 2023, 231, 113584. [Google Scholar] [CrossRef]
- Yan, X.; Chio, C.; Li, H.; Zhu, Y.; Chen, X.; Qin, W. Colonization characteristics and surface effects of microplastic biofilms: Implications for environmental behavior of typical pollutants. Sci. Total Environ. 2024, 937, 173141. [Google Scholar] [CrossRef]
- Leloup, F.B.; Obein, G.; Pointer, M.R.; Hanselaer, P. Toward the Soft Metrology of Surface Gloss: A Review. Color Res. Appl. 2014, 39, 559–570. [Google Scholar] [CrossRef]
- Qin, Z.; Gao, Q.; Zhang, S.; Li, J. Surface Free Energy and Dynamic Wettability of Differently Machined Poplar Woods. BioResources 2014, 9, 3088–3103. [Google Scholar] [CrossRef]
- Kúdela, J. Wetting of Wood Surface by a Liquids of a Different Polarity. Wood Res. 2014, 59, 11–24. [Google Scholar]
- De Moura, L.F.; Hernández, R.E. Evaluation of Varnish Coating Performance for Two Surfacing Methods on Sugar Maple Wood. Wood Fiber Sci. 2005, 37, 355–366. [Google Scholar]
- Frenzel, R.; Swaboda, C.; Petzold, G.; Emmler, R.; Simon, F. Controlling the Water Uptake of Wood by Polyelectrolyte Adsorption. Prog. Org. Coat. 2011, 72, 88–95. [Google Scholar] [CrossRef]
- Miklečić, J.; Lončarić, A.; Veseličić, N.; Jirouš-Rajković, V. Influence of Wood Surface Preparation on Roughness, Wettability and Coating Adhesion of Unmodified and Thermally Modified Wood. Drv. Ind. 2022, 73, 261–269. [Google Scholar] [CrossRef]
- Shi, S.Q.; Gardner, D.J. Dynamic Adhesive Wettability of Wood. Wood Fiber Sci. 2001, 33, 58–69. [Google Scholar]
- Palija, T.; Rančić, M.; Djikanović, D.; Radotić, K.; Petrič, M.; Pavlič, M.; Jaić, M. Effects of Beech Wood Surface Treatment with Polyethylenimine Solution Prior to Finishing with Water-Based Coating. Polymers 2025, 17, 77. [Google Scholar] [CrossRef]
- Štěrbová, I.; Oberhofnerová, E.; Pánek, M.; Dvořák, O.; Pavelek, M. Influence of different exposition of larch wood facade models on their surface degradation processes. Cent. Eur. For. J. 2021, 67, 45–53. [Google Scholar] [CrossRef]
- Oberhofnerová, E.; Pánek, M.; Podlena, M.; Pavelek, M.; Štěrbová, I. Color stabilization of Siberian and European larch wood using UVA, HALS, and nanoparticle pretreatments. Forests 2019, 10, 23. [Google Scholar] [CrossRef]
Disclaimer/Publisher’s Note: The statements, opinions and data contained in all publications are solely those of the individual author(s) and contributor(s) and not of MDPI and/or the editor(s). MDPI and/or the editor(s) disclaim responsibility for any injury to people or property resulting from any ideas, methods, instructions or products referred to in the content. |
© 2025 by the authors. Licensee MDPI, Basel, Switzerland. This article is an open access article distributed under the terms and conditions of the Creative Commons Attribution (CC BY) license (https://creativecommons.org/licenses/by/4.0/).



























































