Next Article in Journal
Non-Linear Support Vector Machine Prediction of the Mechanical Properties of Asphalt Binders Subjected to Varying Temperatures and Frequencies Based on SARA
Next Article in Special Issue
Antimicrobial Efficacy of Sodium Dichloroisocyanurate Washing and Coating for Reduction of Foodborne Pathogens on Fresh Blackberries
Previous Article in Journal
First-Principles Study on the Mechanical Properties of Ni3Sn4-Based Intermetallic Compounds with Ce Doping
Previous Article in Special Issue
The Addition of MoO3 or SiO2 Nano-/Microfillers Thermally Stabilized and Mechanically Reinforce the PVDF-HFP/PVP Polymer Composite Thin Films
 
 
Font Type:
Arial Georgia Verdana
Font Size:
Aa Aa Aa
Line Spacing:
Column Width:
Background:
Article

Effects of Different Polyols with Functions on the Properties of Polyester Polyol-Based Polyurethane Coatings

Key Laboratory for Light-Weight Materials, Nanjing Tech University, Nanjing 210009, China
*
Author to whom correspondence should be addressed.
Coatings 2025, 15(1), 61; https://doi.org/10.3390/coatings15010061
Submission received: 16 December 2024 / Revised: 5 January 2025 / Accepted: 7 January 2025 / Published: 8 January 2025

Abstract

Polyester-based polyurethane coatings were widely used in automotive, industrial, construction, and plastics industries due to their excellent mechanical properties, adhesion, and relatively outstanding oil and chemical resistance. In these coatings, the type and ratio of polyester and isocyanate curing agents influenced the cohesion energy, hydrogen bonding, crystallinity, crosslinking density, molecular weight, and morphology of the polyurethane at the microscopic level, thereby affecting the macroscopic mechanical properties, electrical performance, and environmental resistance of the material. However, there was limited systematic research on the effect of crosslinking density on the properties of polyester-based polyurethanes. In this study, an HTP-1 system was composed of neopentyl glycol (NPG) and phthalic anhydride (PA), and an HTP-2 system was composed of neopentyl glycol (NPG), hexahydrophthalic anhydride (HHPA), and adipic acid (AA). A series of polyesters (HTPs) were synthesized by adding polyols with different functional groups and adjusting their proportions in the system. The synthesized polyester was characterized using FT-IR, GPC, and DSC, and then cured with polyisocyanate curing agent N3390 to prepare the coating. The following properties of the films were evaluated: adhesion, impact resistance, pencil hardness, gloss, flexibility, oil resistance, and weather resistance. The results showed that in the HTP-1 system, the introduction of dipentaerythritol resulted in a polyester with a broad molecular weight distribution at high hydroxyl values, with a maximum PDI of 12.66 and a glass transition temperature (Tg) reaching 40.19 °C. The polyesters prepared by introducing three types of multifunctional polyols into the HTP-1 system exhibited good impact resistance, adhesion, and hardness. At low hydroxyl values, the coatings demonstrated good flexibility, but due to the lower crosslinking density, the oil resistance was poor. As the hydroxyl value increased, flexibility decreased, while oil resistance improved. In the HTP-2 system, coatings prepared with three different multifunctional polyols showed good impact resistance, flexibility, and hardness at low hydroxyl values but poor adhesion and oil resistance. As the hydroxyl value increased, adhesion improved from grade 1 to grade 0, and oil resistance improved for coatings prepared with trimethylolpropane and ditrimethylolpropane. However, the oil resistance of coatings prepared with dipentaerythritol decreased. Regarding weather resistance, the HTP-1-series resins primarily exhibited the cleavage of -CH2 groups, while the HTP-2-series resins showed the cleavage of C-N bonds. Overall, the HTP-2 series resins demonstrated better weather resistance. In the high-hydroxyl-value HTP-2 system, the incorporation of trimethylolpropane or ditrimethylolpropane has been shown to produce coatings that achieve a balance among mechanical properties, flexibility, and oil resistance. This finding provides valuable insights for the design and development of high-performance polyester-based polyurethane coatings.

1. Introduction

Polyurethane is one of the most common, versatile, and extensively researched materials worldwide [1,2]. Polyurethane coatings, leveraging their exceptional performance characteristics, have demonstrated significant application value across various fields. Firstly, polyurethane coatings, due to their excellent water resistance, have become a core material in the field of wood protection [3,4,5], significantly extending the service life of wood. Secondly, their superior weather resistance, aesthetic qualities, and wear resistance have enabled widespread applications in the automotive and construction industries [6,7,8]. Furthermore, polyurethane coatings, with their outstanding durability, chemical corrosion resistance, and flexibility, provide irreplaceable technical advantages in the field of corrosion protection [9,10], ensuring reliable and long-lasting protection for equipment and infrastructure under complex and demanding environmental conditions.
Based on their chemical structure, polyurethane coatings can be classified into polyester-based polyurethane coatings and polyether-based polyurethane coatings [11,12]. Compared to polyether-based coatings, polyester-based coatings exhibit higher glass transition temperatures and superior properties. Due to the flexibility of ether bonds, polyether-based polyurethane films demonstrate better cold resistance and alkaline hydrolysis resistance, as well as lower viscosity. However, polyether-based polyurethanes lag behind polyester-based ones in terms of oil resistance, water resistance, mechanical properties, drying performance, and reactivity with -NCO. Consequently, polyester-based polyurethanes find far more extensive application in the coatings industry.
Polyester-based polyurethanes are synthesized through the reaction of polyester polyols with polyisocyanates, with the properties of the resulting polyurethane being predominantly determined by the chemical composition and structure of the polyester polyols. When the type of polyisocyanate is fixed, the characteristics of the polyester polyol dictate the final performance of the coating.
During polyester synthesis, the selection of polyols is critical. Di-functional alcohols increase the molecular weight of the resin, while polyols with functionalities above three increase the hydroxyl value and branching degree of the polyester resin. Branching in polyester resins relies primarily on hydroxyl groups from tri-functional alcohols. To achieve faster drying, trimethylolpropane is commonly used during polyester synthesis, whereas glycerol, containing secondary hydroxyl groups, is less frequently employed. A higher proportion of diols and fewer triols, along with minimal free hydroxyl groups, yield coatings with excellent flexibility but relatively lower hardness and chemical resistance. Conversely, using a higher proportion of triols increases free hydroxyl groups, leading to coatings with higher crosslinking density, enhanced hardness, and better chemical resistance, albeit with higher viscosity and lower solvent resistance.
In some studies, the use of tetra-functional polyols such as ditrimethylolpropane to replace traditional tri-functional polyols such as trimethylolpropane has been explored to prepare coatings with superior properties. In alkyd resin systems, hexafunctional polyols such as dipentaerythritol are often used as raw materials. However, research on the use of highly functional polyols such as dipentaerythritol for polyester synthesis remains relatively limited, presenting significant potential for further exploration.
Jiang [13] synthesized ditrimethylolpropane acrylate using ditrimethylolpropane and acrylic acid as raw materials. Their experimental results demonstrated that ditrimethylolpropane acrylate exhibited faster curing rates, higher hardness, and better flexibility compared to trimethylolpropane acrylate.
Huang et al. [14] utilized a “one-pot” vacuum polymerization method to synthesize hydroxyl-terminated polyesters for two-component polyurethane coatings using ditrimethylolpropane, DMPA, monocarboxylic acids, and caprolactone. These polyesters, with solid concentrations of 100%, showed viscosities (3304–9060 mPa·s) lower than those of linear polymers with equivalent molecular weights and significantly reduced intrinsic viscosities. Films cured from these hydroxyl polyesters exhibited excellent impact resistance, high adhesion strength, high hardness, and minimal weight loss of only 5% at 280 °C.
Haseebuddin et al. [15] prepared high-solid alkyd resins by esterifying soybean fatty acids (SOFAs) and dehydrated castor oil fatty acids (DCOFAs) with dipentaerythritol (DPE). Their analysis of the physical, optical, thermal, and mechanical properties revealed that increasing DPE content improved surface distribution, formed more dendritic network structures, enhanced flowability, and increased coating hardness.
Baloji Naik [16] used DPE as the primary raw material and 2,2-bis(hydroxymethyl)propionic acid (BMPA) as a chain extender to synthesize second-generation hyperbranched polyols (HBPs). These were further reacted with various concentrations of linseed oil fatty acids (LOFAs) to produce a series of hyperbranched alkyd (HBA) resins. These resins exhibited excellent adhesion, high gloss, and remarkable flexibility.
In this study, neopentyl glycol and phthalic anhydride were used as the HTP-1 system, and neopentyl glycol, hexahydrophthalic anhydride, and adipic acid were used as the HTP-2 system. A series of polyesters (HTPs) were synthesized by adding polyols with different functional groups and adjusting their proportions in these systems. The polyester was characterized using FT-IR, GPC, and DSC, and cured with polyisocyanate curing agent N3390 to prepare the film. The adhesion, impact resistance, pencil hardness, gloss, flexibility, oil resistance, and weather resistance of the film were evaluated. This study investigates the impact of different functionalities of polyols on the properties of polyester polyurethane coatings, aiming to explore the effect of crosslinking density on the performance of polyester-based polyurethane coatings, thus achieving a balance between mechanical properties and resistance.

2. Experiments

2.1. Materials

Neopentyl glycol (NPG, industrial grade) was supplied by Jilin Chemical BASF (Jilin, China).; trimethylolpropane (TMP, industrial grade) was obtained from Jilin Petrochemical (Changchun, China); phthalic anhydride (PA, industrial grade) was purchased from Nanjing Chemical Reagent (Nanjing, China); ditrimethylolpropane (Di-TMP, industrial grade) and dipentaerythritol (Di-PE, industrial grade) were provided by Chifeng Ruiyang Chemical (Chifeng, China); hexahydrophthalic anhydride (HHPA, industrial grade) and adipic acid (AA, industrial grade) were supplied by Suzhou Chuanyuan Chemical (Suzhou, China); monobutyltin oxide (FC4100, industrial grade) was obtained from Beijing Zhengheng (Beijing, China); and n-butyl acetate (BAC), cyclohexanone (CYC), and xylene (industrial grade) were sourced from Zibo Kangping Economic and Trade (Zibo, China) Hexamethylene diisocyanate (HDI) trimer (Desmodur N3390, with an NCO content of 19.36%) was provided by Bayer AG (Leverkusen, Germany). The leveling agent used was BYK311 (Leverkusen, Germany).

2.2. Synthesis of Hydroxyl-Terminated Polyesters

We added the formula-specified amounts of polyacid, polyol, and other materials to a three-neck flask equipped with a water separator, reflux condenser, agitator, and thermometer. A small amount of mono-butyl tin oxide and reflux xylene was then added. The mixture was heated to 70–90 °C to melt most of the components. Subsequently, the mixture was stirred and gradually heated to 140–160 °C to initiate reflux. Simultaneously, the column top temperature was maintained between 95 and 105 °C. The temperature was increased gradually by 6–8 °C per hour, reaching 220 °C. At 220 °C, samples were taken to test the acid value, ensuring it was below 10 mg KOH/g. Nitrogen was then introduced into the system, and after 30 min, the mixture was cooled to approximately 150 °C. Finally, a mixture of cyclohexanone and butyl acetate was added for dilution, and the material was discharged while still hot.
The formula of polyester synthesis has theoretical hydroxyl value mass percentage as shown in Table 1. The polyester synthesis diagram is shown in Scheme 1.
① Schematic diagram of the synthesis of HTP-1-1, which is a polyester system with a low hydroxyl value; ② schematic diagram of the synthesis of HTP-1-4, which is a polyester system with a high hydroxyl value. In the HTP-1-1 resin, the amount of neopentyl glycol (NPG) is higher, while the trimethylolpropane (TMP) content is lower. When the three hydroxyl groups on TMP react with phthalic anhydride (PA), the carboxyl groups formed subsequently react with the hydroxyl groups from the abundant NPG. Conversely, in the HTP-1-4 resin, the amount of TMP is higher, and NPG content is reduced. The three hydroxyl groups on trimethylolpropane (TMP) react with phthalic anhydride (PA) to form carboxyl groups, which subsequently undergo reactions with the hydroxyl groups present on additional TMP molecules. This is the key difference between the two reactions. The composite diagram of HTP-1-2 and HTP-1-1 is structurally similar, as is the composite diagram of HTP-1-5 and HTP-1-4. In both cases, the TMP nucleus is replaced by Di-TMP. Similarly, the synthesis of HTP-1-3 and HTP-1-6 resembles that of HTP-1-1, except the TMP nucleus is replaced by Di-PE. The same pattern applies to the HTP-2 systems.

2.3. Preparation of Polymeric Film

Hydroxyl polyester was prepared in a mixture of cyclohexanone (CYC) and butyl acetate (BAC) (CYC:BAC = 2). Then, N3390 was mixed in a molar ratio of NCO:OH = 1.1:1 in the presence of the catalyst dibutyltin dilaurate (DBTDL) (0.01 wt % reactant and solvent) and the leveling agent (0.1 wt % reactant and solvent) to maintain a solid content of 40–41 wt %. Then, we sprayed on an aluminum plate followed by a tinplate using a spray gun to prepare the coating film, and we tested the coating performance after 7 days of normal-temperature curing.

2.4. Characterization

2.4.1. Fourier Transform Infrared Spectroscopy (FT-IR)

The hydroxyl resin sample was coated on the pressed KBr chip using the KBr pressing method, and then dried under an infrared lamp. The infrared spectrum of the sample was collected using an FTIR-8100 Fourier-transform infrared spectrometer from Shimadzu Company, (Kyoto, Japan). The scanning range was 4000~400 cm−1, and the scanning was performed 32 times. The resolution was 2 cm−1.

2.4.2. Gel Permeation Chromatography (GPC)

For the gel chromatography (Breez2 type) analysis, the separation column used was a PLGEL 10MIXEDx3 (Waters, Milford, MA, USA) high-crosslinked spherical polystyro-divinylbenzene polymer column. The mobile phase was 4 (THF) and the flow rate was 1.500 mL/min; the standard material was monodisperse polyethylene; and the detector was an HP1047A differential refractometer (Waters, Milford, MA, USA).

2.4.3. Differential Scanning Calorimetry (DSC)

Differential scanning calorimetry (DSC) was measured with an American UniversalV1.717 TA Instruments DSC 2910 thermal analyzer (TA, New Castle, DE, USA), and the heating rate was 10 °C/min. The test temperature range was −80 °C–80 °C, the ambient atmosphere was nitrogen, and the sample size was 5–10 mg.

2.4.4. Heat Resistance of Hydroxyl Resin

All polyester samples were then dried at 180 °C for a sufficient period to thoroughly remove any solvents. The mass of each polyester sample after drying at 180 °C was taken as the baseline. Subsequently, the samples were further dried at each of the following temperatures for 3 h: 220 °C, 260 °C, and 300 °C.
The mass retention rate is denoted as u. The mass retention rate at 220 °C, denoted as u200°C, is calculated as follows:
u 220 ° C = m 220 ° C m 180 ° C × 100
where m220°C and m180°C are the masses of the polyester samples after drying at 200 °C and 180 °C, respectively.

2.4.5. Properties of the Polymeric Film

The hardness of the film was measured according to GB/T 6739-2006, and adhesion was tested according to GB/T 9286-1998, flexibility according to GB/T 1731-1993, and impact resistance according to GB/T 1732-1993. Polyester viscosity was tested according to GB/T 1723-1993 and polyester solids were tested according to GB/T 1725-2007.
The polyester varnish sprayed onto the aluminum plate was placed in No. 15 aviation hydraulic oil and soaked for 7 days. After 7 days, we observed the change in the shape and hardness of the varnish surface on the aluminum plate.
The UVB-313 aging chamber(Dongguan Haotian test equipment, Dongguan, China) was utilized to simulate accelerated ultraviolet (UV) radiation-induced degradation in accordance with the GB/T 14522-2008 standard. The experimental conditions were meticulously controlled, with a temperature of 60 °C, a radiant irradiance of 0.71 W/m2, and a relative humidity (RH) maintained at ≥95%. Hot air convection was employed to ensure uniform exposure during continuous irradiation. The total duration of exposure was 400 h, with sample assessments conducted at 100 h intervals. To evaluate photodegradation, the color difference ΔE between the irradiated and unirradiated regions of the sample was quantitatively analyzed using a BYK 7075 color difference meter (BYK, Wesel, Germany), and GB/T250-1989 was referred to for the measurement of color difference. In parallel, Fourier-transform infrared (FT-IR) spectroscopy was performed using an FTIR8100 spectrometer (Shimadzu, Kyoto, Japan) to investigate the alterations in the molecular structure of the sample surfaces. Shifts in characteristic absorption bands were monitored to elucidate the chemical modifications induced by prolonged UV exposure, providing insight into the underlying mechanisms of surface degradation over time.

3. Results and Discussion

3.1. Structural Characterization of HTPs

The infrared spectrogram of the HTP-1 system is shown in Figure 1, where the widest and strongest -OH peaks are observed near 3520 cm−1 because of the residual active hydroxyl group in the polyol. In the polyester systems containing phthalic anhydride, the -CH=CH2 stretching vibration of the benzene ring occurs at 3060 cm−1. The peaks at 2855 and 2927 cm−1 correspond to aliphatic C-H stretching vibrations, and the characteristic peaks of esters can be seen in the spectrum at 1720 cm−1. The C=C stretching vibration peak of the benzene ring group is observed at 1600 cm−1. The peaks at 1375 and 1460 cm−1 correspond to symmetric and asymmetric bending vibrations of methyl groups. The peak at 1300–1250 cm−1 is the stretching vibration of C-O-C, the peak at 980 cm−1 and 864 cm−1 is the bending vibration peak of C-O-C, and the =CH out-of-plane bending peak at 708 cm−1 and 737 cm−1 is the benzene ring.
The infrared spectrum of the HTP-2 system is shown in Figure 2. The widest and strongest -OH peak is also observed near 3530 cm−1, the peaks at 2960 and 2870 cm−1 correspond to the aliphatic C-H stretching vibration peak, and the characteristic peak of ester is also seen in the spectrum at 1720 cm−1. The infrared spectra of the two systems prove that the polyester reaction occurred, and with an increase in the hydroxyl value of the reaction product, the intensity of the hydroxyl value peak increases gradually at 3520 cm−1.

3.2. Molecular Weight Distribution of HTPs

The molecular weight data for the HTP-1 and HTP-2 series of polyesters are presented in Table 2, with their molecular weight distributions illustrated in Figure 3 and Figure 4, respectively. Both systems show that, despite the relatively similar molecular weights among certain samples (e.g., HTP-1-2 vs. HTP-1-3, and HTP-2-1 vs. HTP-2-3), notable differences in PDI are observed, which can be attributed to steric hindrance effects. Specifically, the bulky groups in dipentaerythritol and the resulting steric hindrance between adjacent groups reduce the reactivity of hydroxyl groups and constrain chain segment mobility, leading to broader molecular weight distributions. In the HTP-1 series, the rigid aromatic ring structure further amplifies this effect by introducing additional spatial hindrance.
As the hydroxyl value increases, the molecular weight distributions in both systems become progressively broader. For instance, in the HTP-1 series, the PDI of HTP-1-6 rises significantly to 12.66. Similarly, in the HTP-2 series, the PDI of HTP-2-4 increases from 2.05 to 8.94, reflecting the introduction of more reactive centers that generate both low-molecular-weight segments and greater molecular weight heterogeneity.

3.3. Analysis of Glass Transition Temperature of HTPs

The differential scanning calorimetry (DSC) analysis results of the HTP-1 resin system are presented in Figure 5 and Table 3. Upon introducing three types of multifunctional polyols, the glass transition temperature (Tg) exhibits an overall increasing trend. Due to the inherent symmetry of neopentyl glycol, the HTP-1-0 linear polyester prepared with this polyol crystallizes at room temperature, which affects its Tg. Under identical hydroxyl value conditions, the polyester synthesized with dipentaerythritol achieves the highest Tg, reaching 40.19 °C, which can be attributed to the complex structure of dipentaerythritol and the rigidity of phthalic anhydride. Furthermore, as the hydroxyl value increases, the Tg of polyesters prepared with all three multifunctional polyols also increases.
The DSC analysis results for the HTP-2 resin system are shown in Figure 6 and Table 3. This system lacks rigid monomers such as aromatic rings and incorporates a flexible monomer—adipic acid—resulting in polyesters with Tg values below 0 °C. Among them, the Tg of HTP-2-0 polyester with a hydroxyl value of 2 is −23.04 °C. Introducing three different multifunctional polyols leads to an increase in hydroxyl value and a corresponding rise in Tg. Under identical hydroxyl value conditions, dipentaerythritol, due to its higher hydroxyl content and relatively low usage amount, produces polyesters with a lower Tg compared to the other two polyols. Even with increased hydroxyl values, the Tg of dipentaerythritol-based polyesters exhibits only a modest rise. In contrast, the polyester prepared with ditrimethylolpropane demonstrates the highest Tg, reaching −10.52 °C, which can be attributed to the symmetrical and complex distribution of ditrimethylolpropane’s molecular structure. At the same hydroxyl value, the amount of ditrimethylolpropane used is slightly lower than that of trimethylolpropane, and the higher hydroxyl group content in its structure contributes to more complex reaction distributions, which is the primary factor driving the Tg enhancement.

3.4. Analysis of Heat Resistance of HTPs

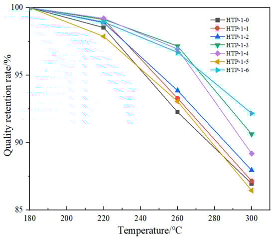
The quality retention rates of HTP-1 and HTP-2 series resins at different temperatures are shown in Table 4, while the time-dependent quality retention rates of the HTP-1 series are illustrated in Figure 7. The temperature-dependent quality retention rates of the HTP-2 polyester series are presented in Figure 8. At 300 °C, the quality retention rate of the linear resin HTP-1-0 is 86.96%. Under conditions of low hydroxyl value, the introduction of three polyols with different degrees of functionality leads to an improvement in quality retention. Among these, HTP-1-3 achieves the highest quality retention rate of 90.63%. This enhancement can be attributed to the high crosslinking density generated by the multiple active sites of dipentaerythritol, along with the significant steric hindrance and the large cyclic structure of the benzene ring, which collectively contribute to the improved thermal stability at elevated temperatures.
As the hydroxyl value increases, the quality retention rates of HTP-1-4 and HTP-1-6 are further enhanced, with HTP-1-6 reaching a retention rate of 92.17%. This result correlates with its higher glass transition temperature. However, the quality retention rates of HTP-1-2 and HTP-1-5 are lower than those of the other samples, potentially due to the presence of a greater number of ether bonds in their molecular structures. This observation is consistent with findings by Zhang et al. [17,18], who investigated the thermal degradation behavior of glycerol-adipate polyester and trimethylolpropane-adipate polyester using infrared spectroscopy. Their study revealed that during thermal degradation, the strength of the carbon–oxygen bond, as indicated by the infrared absorption peak at 1173 cm−1, gradually increases, suggesting that the degradation process tends to favor the formation of ether bonds. In polyester systems, the existing abundance of ether bonds, which are prone to rotation, accelerates the rate of thermal degradation, thereby leading to lower quality retention rates.
The temperature-dependent quality retention rates of the HTP-2 polyester series are presented in Figure 8. At 300 °C, HTP-2-0 exhibits a quality retention rate of 88.01%. Upon the introduction of three polyols with varying degrees of functionality, the overall quality retention rates exceed 90%, except for HTP-2-2, whose quality retention rate remains below this threshold. As the hydroxyl value increases, the quality retention rate at 300 °C improves correspondingly.
Compared to the HTP-1 system, the HTP-2 system demonstrates slightly higher quality retention rates. This can be attributed to the presence of a greater proportion of flexible chain segments and the absence of bulky steric hindrance, such as that caused by benzene rings. The reduced steric constraints facilitate higher chain segment mobility and reactivity during crosslinking, leading to the formation of a more thermally stable network structure. Consequently, the HTP-2 system exhibits superior thermal resistance characteristics.

3.5. Mechanical Properties of Polymeric Film

The mechanical performance test results of HTP-1 polyester are presented in Table 5. This system demonstrates excellent impact resistance, with all samples achieving an adhesion level of 0 and a pencil hardness of 6H. This high hardness is primarily attributed to the incorporation of phthalic anhydride-containing aromatic rings. The rigid structure of the benzene ring significantly enhances the mechanical strength of the polyester coating, which corresponds to its superior pencil hardness.
Under low-hydroxyl-value conditions, the polyester coatings prepared with the three different multifunctional polyols exhibit a flexibility of 1 mm, indicating excellent flexibility. However, at higher hydroxyl values, the flexibility of the coatings prepared with trimethylolpropane (HTP-1-4) and ditrimethylolpropane (HTP-1-5) decreases to 3 mm, whereas the flexibility of the coatings prepared with dipentaerythritol (HTP-1-6) remains at 1 mm. This phenomenon is closely related to the high functionality and significant steric hindrance of dipentaerythritol. At the same hydroxyl value, the lower usage amount of dipentaerythritol results in predominantly linear polyester chains with lower branching degrees. This reduced branching minimizes excessive crosslinking during the curing process, thereby maintaining a balance between high crosslink density and good flexibility. Consequently, even under high-hydroxyl-value conditions, polyester coatings prepared with dipentaerythritol exhibit superior flexibility.
The mechanical performance test results of the HTP-2 polyester system are summarized in Table 5. All samples exhibit good impact resistance; however, the pencil hardness of the HTP-2 polyesters is lower compared to that of the HTP-1 system. At low hydroxyl values, the adhesion of the coatings prepared with the three multifunctional polyols decreases to grade 1. The adhesion of a coating is generally influenced by factors such as the molecular weight of the base resin, the presence of polar groups, and the degree of crosslinking. Under low-hydroxyl-value conditions, the usage of multifunctional polyols is relatively low, resulting in predominantly linear molecular chains with low branching degrees. Consequently, the polyester lacks sufficient unreacted hydroxyl groups to effectively crosslink with the curing agent, leading to a lower crosslink density and reduced adhesion.
At higher hydroxyl values, the increased incorporation of multifunctional polyols significantly enhances the branching degree of polyester molecules, thereby increasing the crosslink density and improving adhesion to grade 0. While the increased usage of multifunctional polyols may reduce flexibility due to higher crosslink density, the incorporation of flexible adipic acid into the HTP-2 system mitigates this effect. The long-chain structure and flexibility of adipic acid help to counterbalance excessive rigidity within the system, maintaining the coating flexibility at 2 mm. This indicates that the strategic introduction of flexible monomers can simultaneously enhance crosslink density and improve the flexibility of polyester coatings.

3.6. Oil Resistance of Polymeric Film

The oil resistance data of HTP system resin are shown in Table 6. In the HTP-1 system, under low-hydroxyl-value conditions, the polyester coatings prepared using trimethylolpropane (TMP) and ditrimethylolpropane (DTMP) exhibit delamination after oil immersion, with their hardness decreasing from 6H to HB. In contrast, the coatings prepared with dipentaerythritol (DPE) remain intact even under low-hydroxyl-value conditions, with only a slight reduction in hardness. This can be attributed to the synergistic effect of the rigid benzene ring structures and the complex molecular structure of DPE, which hinder oil penetration into the coating and prevent swelling. As the hydroxyl value increases, the reduction in hardness of the coatings prepared from all three polyfunctional polyols after oil immersion decreases significantly, and the surface condition of the coatings remain intact. This is because higher hydroxyl values increase the polyol content, providing more active hydroxyl groups to react with curing agents, thereby enhancing the crosslinking density and effectively preventing oil penetration.
In the HTP-2 system, under low-hydroxyl-value conditions, the polyester coatings prepared using all three types of polyfunctional polyols were unable to resist oil penetration, resulting in noticeable swelling. This is primarily due to the absence of rigid benzene ring structures in the HTP-2 system and its inherently lower crosslinking density, which fails to effectively prevent oil ingress. As the hydroxyl value increases, more active hydroxyl groups participate in reactions with the curing agents, leading to a significant increase in crosslinking density and an improvement in the coating surface condition, thereby enhancing oil resistance. However, under equivalent hydroxyl-value conditions, the oil resistance of the coatings prepared with DPE decreases. Without the rigid benzene ring structure, the steric hindrance effect of DPE limits the reactivity of some active hydroxyl groups with curing agents, reducing the achievable crosslinking density and thereby impairing the oil resistance of the coating.

3.7. Weather Resistance (QUV) of Polymeric Film

The color difference data of the HTP series resins after UV aging for different durations are presented in Table 7. When ΔE ≤ 1, the naked eye cannot perceive any noticeable difference. When ΔE is between 1 and 2, the naked eye can perceive a slight color difference. As ΔE increases to between 2 and 3.5, the color difference becomes more noticeable. When ΔE exceeds 3.5, the color difference is particularly pronounced. The data indicate that the HTP-1-series resins exhibit significantly larger color differences after UV exposure, with values generally exceeding 10. Moreover, the color difference increases progressively with aging time. In contrast, the HTP-2 series resins display much smaller color differences, with most values ranging from 1 to 3.
For the HTP-1 system, UV irradiation induces chain scission within the polyurethane, and the presence of oxygen accelerates this process. Under UV light, oxygen generates a significant amount of reactive oxygen species, which act on the reactive sites along the polymer chains. This leads to the formation of various chromophoric and auxochromic groups, such as quinones and stilbene quinones, resulting in a pronounced increase in color difference [19,20].
In contrast, the HTP-2 system shows smaller color differences, which can be attributed to differences in molecular structure. The absence of aromatic structures in HTP-2 reduces its susceptibility to photooxidation. Furthermore, the lower reactivity of the alpha hydrogen atoms in the polyol structure effectively minimizes the formation of chromophores, thereby enhancing UV stability and leading to a smaller color difference.
The infrared spectra of the HTP-1-series polyesters after 400 h of UV aging are shown in Figure 9. In the HTP-1-0 system, the peaks at 2940 cm−1 and 2850 cm−1 correspond to the absorption vibrations of the -CH2- and -CH₃ groups, respectively, while the peak at 1687 cm−1 corresponds to the absorption of the carbonyl group. The peaks at 1261 cm−1, 1130 cm−1, and 1078 cm−1 correspond to the stretching vibrations of the urethane bond in the curing agent, ester group in the polyester, and ether bond (C-O-C) in the polyester, respectively. In all systems except HTP-1-0, a decrease in the intensity of the -CH2- and -CH₃ absorption peaks at 2940 cm−1 and 2850 cm−1 is observed, indicating partial scission of the -CH2- groups. Meanwhile, an increase in the intensity of the absorption peak at 1078 cm−1 is observed, which is associated with the stretching vibration of C-O in polyurethane. This indicates that under UV irradiation, some chemical bonds in the polyurethane molecules undergo scission, resulting in the formation of new oxidation products, which leads to an increase in C-O groups [21].
The infrared spectrum of the HTP-2 system after 400 h of aging is shown in Figure 10. In HTP-2-0, absorption peaks are observed at 2940 cm−1 and 2863 cm−1, corresponding to the stretching vibrations of the -CH2 and -CH₃ groups, respectively. The peak at 1725 cm−1 represents the C=O stretching vibration of the polyurethane, while the peak at 1531 cm−1 corresponds to the -NH group. The absorption peak at 1251 cm−1 is attributed to the amide group, and the peak at 1170 cm−1 is associated with the C-O-C stretching vibration of the polyester. The spectrum shows a significant decrease in the intensity of the peak at 1251 cm−1 in the HTP-2-1 resin, indicating that the amide bonds may have undergone cleavage. Given that the bond dissociation energies of the C-N and C-O bonds are 120–300 kJ/mol and 462 kJ/mol, respectively, it is likely that the C-N bond in the amide group undergoes cleavage first. This observation is consistent with the findings of Zhu et al., who attributed the lower protective performance of aliphatic polyurethanes to the cleavage of the C-N bond [22,23].

4. Conclusions

Using two systems, neopentyl glycol-phthalic anhydride (HTP-1) and neopentyl glycol-hexahydrophthalic anhydride (HTP-2), the effects of various functionalized polyols on the properties of polyester-based polyurethane coatings were investigated. GPC results indicated that at low hydroxyl values, the molecular weight distribution was relatively narrow, while an increase in hydroxyl values resulted in a broader distribution. In the HTP-1 system, the introduction of dipentaerythritol led to a molecular weight distribution of as high as 12.66. DSC analysis revealed that dipentaerythritol in the HTP-1 system exhibited the highest glass transition temperature, reaching 40.19 °C.
Thermal analysis demonstrated that polyesters prepared with trimethylolpropane in the HTP-1 system exhibited inferior thermal stability, with the lowest mass retention of 86.49% at 300 °C. Coating performance tests showed that the coatings derived from the HTP-1 system exhibited excellent impact resistance, hardness, and adhesion, while flexibility decreased with increasing hydroxyl value. In contrast, coatings derived from the HTP-2 system showed poor adhesion at low hydroxyl values, improving from grade 1 to grade 0 as hydroxyl values increased, with a corresponding decrease in flexibility (from 1 mm to 2 mm) and lower hardness compared to the HTP-1 system.
Oil resistance tests revealed that coatings with low hydroxyl values were unable to resist oil penetration, with the HTP-2 system performing worse. However, as hydroxyl values increased, oil resistance significantly improved. Due to the steric hindrance of dipentaerythritol, which reduced crosslinking density, its oil resistance was comparatively poor. Regarding weather resistance, the HTP-1 series resins primarily exhibited degradation via the cleavage of -CH2 groups, whereas the HTP-2-series resins predominantly exhibited C-N bond cleavage.
The research results demonstrate that the selection and proportion of polyfunctional polyols significantly influence the properties of polyester-based polyurethane coatings, including mechanical strength, flexibility, crosslinking density, and oil resistance. During polyester synthesis, it is essential to select appropriate polyols based on specific application requirements. For instance, to achieve high hardness in industrial protective coatings, such as those for machinery surfaces, ditrimethylolpropane (DTMP) can be employed as the primary polyol to enhance crosslinking density and coating durability. In the case of aerospace coatings, where superior oil resistance and excellent mechanical properties are critical, a combination of trimethylolpropane (TMP) and DTMP in high-hydroxyl-value systems can be utilized to achieve well-balanced performance optimization.

Author Contributions

Conceptualization, Z.Z.; Methodology, N.N.; Resources, Y.X.; Writing—original draft, Z.Z. All authors have read and agreed to the published version of the manuscript.

Funding

This research received no external funding.

Institutional Review Board Statement

Not applicable.

Informed Consent Statement

Not applicable.

Data Availability Statement

The original contributions presented in this study are included in the article. Further inquiries can be directed to the corresponding author.

Conflicts of Interest

The authors declare no conflicts of interest.

References

  1. Akindoyo, J.O.; Beg, M.D.H.; Ghazali, S.; Islam, M.R.; Jeyaratnam, N.; Yuvaraj, A.R. Polyurethane types, synthesis and applications—A review. RSC Adv. 2016, 6, 114453–114482. [Google Scholar] [CrossRef]
  2. Paraskar, P.M.; Prabhudesai, M.S.; Hatkar, V.M.; Kulkarni, R.D. Vegetable oil based polyurethane coatings—A sustainable approach: A review. Prog. Org. Coat. 2021, 156, 106267. [Google Scholar] [CrossRef]
  3. Alves, T.R.; Pacheli Heitmann, A.; Ayres, E.; Coura, I.R.; de Souza, P.P.; de, O. Patricio, P.S. Waterborne polyurethane dispersions based on polypropylene glycol/polycarbonate diol: Evaluation of their use as wood protective coatings. J. Appl. Polym. Sci. 2023, 140, 1–11. [Google Scholar] [CrossRef]
  4. Jian, H.; Wang, H.; Wen, M.; Shi, J.; Park, H.-J. High-performance flame-retardant, waterproof, and abrasion-resistant waterborne polyurethane-based transparent coatings for wood protection. Ind. Crops Prod. 2024, 222, 119804. [Google Scholar] [CrossRef]
  5. Puyadena, M.; Etxeberria, I.; Ortega, G.; Sanz, O.; Agirre, A.; Mugica, A.; Matxinandiarena, E.; Barrio, A.; Gonzalez, A.; Irusta, L. Polyurethane/acrylic coatings for wood made hydrophobic by melamine addition. Prog. Org. Coat. 2024, 186, 108054. [Google Scholar] [CrossRef]
  6. Cuevas, J.M.; Cobos, R.; German, L.; Sierra, B.; Laza, J.M.; Vilas-Vilela, J.L. Enhanced mar/scratch resistance in automotive clear coatings by modifying crosslinked polyurethane network with branched flexible oligomers. Prog. Org. Coat. 2022, 163, 106668. [Google Scholar] [CrossRef]
  7. Lee, Y.-H.; Lee, S.-J.; Park, J.-W.; Kim, H.-J. Synthesis and properties of flexible polyester with urethane polyol for automotive pre-coated metals. J. Adhes. Sci. Technol. 2016, 30, 1537–1554. [Google Scholar] [CrossRef]
  8. Oh, D.; Park, J.; Song, Y.K.; Noh, S.M.; Jung, H.W. Crosslinking characteristics of aziridine crosslinkers in polyurethane-based clearcoats for automotive applications. J. Coat. Technol. Res. 2024, 21, 1893–1906. [Google Scholar] [CrossRef]
  9. Tan, H.; Wang, D.; Guo, Y. Investigation of graphene effect on the anti-corrosion behaviour of polyurethane coatings in sea-water. Anti-Corros. Methods Mater. 2019, 66, 853–860. [Google Scholar] [CrossRef]
  10. Vinodhini, S.P.; Xavier, J.R. Effects of poly(o-phenylenediamine) functionalized SiC on the corrosion protection ability of neat polyurethane coating system in the marine environment. Int. J. Polym. Anal. Charact. 2023, 28, 113–138. [Google Scholar] [CrossRef]
  11. Golling, F.E.; Pires, R.; Hecking, A.; Weikard, J.; Richter, F.; Danielmeier, K.; Dijkstra, D. Polyurethanes for coatings and adhesives—Chemistry and applications. Polym. Int. 2019, 68, 848–855. [Google Scholar] [CrossRef]
  12. Liao, Y.-H.; Chen, Y.-C. Preparation and optimization of WPU dispersion from polyether/polyester polyols for film and coating applications. J. Taiwan Inst. Chem. Eng. 2023, 145, 104832. [Google Scholar] [CrossRef]
  13. Jiang, W.; Jin, F.-L.; Park, S.-J. Synthesis of ditrimethylolpropane acrylate with low functionality for UV-curable coatings. J. Ind. Eng. Chem. 2012, 18, 1577–1581. [Google Scholar] [CrossRef]
  14. Huang, S.; Xiao, J.; Zhu, Y.a.; Qu, J. Synthesis and properties of multiarm star hydroxyl-terminated polyesters for two-component polyurethane coatings. J. Coat. Technol. Res. 2017, 14, 505–516. [Google Scholar] [CrossRef]
  15. Haseebuddin, S.; Parmar, R.; Waghoo, G.; Ghosh, S.K. Study of hexafunctional polyol in high solids air-drying alkyd: Improved film performance. Prog. Org. Coat. 2009, 64, 446–453. [Google Scholar] [CrossRef]
  16. Naik, R.B.; Ratna, D.; Singh, S.K. Synthesis and characterization of novel hyperbranched alkyd and isocyanate trimer based high solid polyurethane coatings. Prog. Org. Coat. 2014, 77, 369–379. [Google Scholar] [CrossRef]
  17. Zhang, T.; Howell, B.A.; Smith, P.B. Thermal degradation of carboxy-terminal trimethylolpropane/adipic acid hyperbranched poly(ester)s. J. Therm. Anal. Calorim. 2015, 122, 1159–1166. [Google Scholar] [CrossRef]
  18. Zhang, T.; Howell, B.A.; Smith, P.B. Thermal degradation of glycerol/adipic acid hyperbranched poly(ester)s containing either hydroxyl or carboxyl end-groups. J. Therm. Anal. Calorim. 2015, 122, 1221–1229. [Google Scholar] [CrossRef]
  19. Mayer, P.; Lubecki, M.; Stosiak, M.; Robakowska, M. Effects of surface preparation on the adhesion of UV-aged polyurethane coatings. Int. J. Adhes. Adhes. 2022, 117, 103183. [Google Scholar] [CrossRef]
  20. Yu, F.; Gao, J.; Liu, C.; Chen, Y.; Zhong, G.; Hodges, C.; Chen, M.; Zhang, H. Preparation and UV aging of nano-SiO2/fluorinated polyacrylate polyurethane hydrophobic composite coating. Prog. Org. Coat. 2020, 141, 105556. [Google Scholar] [CrossRef]
  21. Rosu, D.; Rosu, L.; Cascaval, C.N. IR-change and yellowing of polyurethane as a result of UV irradiation. Polym. Degrad. Stab. 2009, 94, 591–596. [Google Scholar] [CrossRef]
  22. Mayer-Trzaskowska, P.; Robakowska, M.; Gierz, L.; Pach, J.; Mazur, E. Observation of the Effect of Aging on the Structural Changes of Polyurethane/Polyurea Coatings. Polymers 2024, 16, 23. [Google Scholar] [CrossRef] [PubMed]
  23. Zhu, Y.; Xiong, J.; Tang, Y.; Zuo, Y. EIS study on failure process of two polyurethane composite coatings. Prog. Org. Coat. 2010, 69, 7–11. [Google Scholar] [CrossRef]
Scheme 1. Diagram of resin synthesis route for HTP-1-1 and HTP-1-4.
Scheme 1. Diagram of resin synthesis route for HTP-1-1 and HTP-1-4.
Coatings 15 00061 sch001
Figure 1. Infrared spectrum of the HTP-1 system.
Figure 1. Infrared spectrum of the HTP-1 system.
Coatings 15 00061 g001
Figure 2. Infrared spectrum of the HTP-2 system.
Figure 2. Infrared spectrum of the HTP-2 system.
Coatings 15 00061 g002
Figure 3. Molecular weight distribution curve of the HTP-1 system.
Figure 3. Molecular weight distribution curve of the HTP-1 system.
Coatings 15 00061 g003
Figure 4. Molecular weight distribution curve of the HTP-2 system.
Figure 4. Molecular weight distribution curve of the HTP-2 system.
Coatings 15 00061 g004
Figure 5. Glass transition temperature of the HTP-1 system.
Figure 5. Glass transition temperature of the HTP-1 system.
Coatings 15 00061 g005
Figure 6. Glass transition temperature of the HTP-2 system.
Figure 6. Glass transition temperature of the HTP-2 system.
Coatings 15 00061 g006
Figure 7. Quality retention rate of the HTP-1 system varies with temperature.
Figure 7. Quality retention rate of the HTP-1 system varies with temperature.
Coatings 15 00061 g007
Figure 8. Quality retention rate of the HTP-2 system varies with temperature.
Figure 8. Quality retention rate of the HTP-2 system varies with temperature.
Coatings 15 00061 g008
Figure 9. Infrared spectrum of the HTP-1-series resin after UV aging for 400 h.
Figure 9. Infrared spectrum of the HTP-1-series resin after UV aging for 400 h.
Coatings 15 00061 g009
Figure 10. Infrared spectrum of the HTP-2-series resin after UV aging for 400 h.
Figure 10. Infrared spectrum of the HTP-2-series resin after UV aging for 400 h.
Coatings 15 00061 g010
Table 1. Ratios of the raw materials used to synthesize HTPs and the corresponding theoretical hydroxyl mass ratios.
Table 1. Ratios of the raw materials used to synthesize HTPs and the corresponding theoretical hydroxyl mass ratios.
HTPsMolar Ratios of Raw MaterialsTheoretical Hydroxyl Mass Ratio
HTP-1-0NPG:PA = 1.15:12
HTP-1-1NPG:TMP:PA = 1.05:0.17:14
HTP-1-2NPG:Di-TMP:PA = 1.12:0.1:14
HTP-1-3NPG:Di-PE:PA = 1.06:0.08:14
HTP-1-4NPG:TMP:PA = 0.12:1.03:18
HTP-1-5NPG:Di-TMP:PA = 0.34:0.75:18
HTP-1-6NPG:Di-PE:PA = 0.87:0.27:18
HTP-2-0NPG:HHPA:AA = 2.29:1:12
HTP-2-1NPG:TMP:HHPA:AA = 2.21:0.28:1:14
HTP-2-3NPG:Di-TMP:HHPA:AA = 2.44:0.09:1:14
HTP-2-5NPG:Di-PE:HHPA:AA = 2.17:0.15:1:14
HTP-2-2NPG:TMP:HHPA:AA = 0.29:2:1:18
HTP-2-4NPG:Di-TMP:HHPA:AA = 1.26:1.16:1:18
HTP-2-6NPG:Di-PE:HHPA:AA = 2.43:0.31:1:18
Table 2. Molecular weight distribution of the HTP system.
Table 2. Molecular weight distribution of the HTP system.
HTPsMnMwMpMzMz/MwPDI
HTP-1-019103624365258221.61.89
HTP-1-118463457281157201.651.87
HTP-1-2293214,017594642,5333.034.78
HTP-1-3320931,6485493132,1514.189.86
HTP-1-422676033482512,6892.12.66
HTP-1-5316815,946655750,0533.145.03
HTP-1-6341543,2495066178,6044.1312.66
HTP-2-024414779484875631.581.95
HTP-2-121394378356276091.742.05
HTP-2-220694292335776921.792.08
HTP-2-321987146261417,8422.53.25
HTP-2-4345030,8327452127,8564.158.94
HTP-2-5340524,970682597,8443.927.33
HTP-2-6288113,235371342,2663.194.59
Table 3. Glass transition temperature of the HTP system.
Table 3. Glass transition temperature of the HTP system.
HTP-1TgHTP-2Tg
HTP-1-025.62 °CHTP-2-0−23.04 °C
HTP-1-122.81 °CHTP-2-1−18.34 °C
HTP-1-227.76 °CHTP-2-2−21.23 °C
HTP-1-336.02 °CHTP-2-3−19.40 °C
HTP-1-433.64 °CHTP-2-4−11.32 °C
HTP-1-532.96 °CHTP-2-5−10.52 °C
HTP-1-640.19 °CHTP-2-6−18.35 °C
Table 4. HTP system mass retention ratio.
Table 4. HTP system mass retention ratio.
HTP-1180 °C220 °C260 °C300 °CHTP-2180 °C220 °C260 °C300 °C
HTP-1-0100%98.52%92.96%86.96%HTP-2-0100%98.13%95.49%88.01%
HTP-1-1100%99.11%93.28%87.16%HTP-2-1100%97.66%95.54%91.52%
HTP-1-2100%98.89%93.85%87.95%HTP-2-2100%97.35%95.01%89.95%
HTP-1-3100%99.13%97.15%90.63%HTP-2-3100%98.08%96.06%92.12%
HTP-1-4100%99.20%96.93%89.19%HTP-2-4100%98.77%96.50%92.81%
HTP-1-5100%97.87%93.05%86.45%HTP-2-5100%97.68%95.29%91.15%
HTP-1-6100%98.94%96.69%92.17%HTP-2-6100%97.51%95.08%91.66%
Table 5. Mechanical properties of HTP system.
Table 5. Mechanical properties of HTP system.
HTPsAdhesion (Grade)Flexibility (mm)Impact Resistance (cm)Pencil HardnessGloss (60°)
HTP-1-101506H95
HTP-1-201506H96
HTP-1-301505H95
HTP-1-403506H92
HTP-1-503506H97
HTP-1-601506H93
HTP-2-111502H93
HTP-2-211502H94
HTP-2-311503H92
HTP-2-402503H92
HTP-2-502504H91
HTP-2-601504H96
Table 6. HTP system oil resistance results.
Table 6. HTP system oil resistance results.
HTPsInitial Pencil HardnessPencil Hardness After Oil ImmersionOil-Soaked State
HTP-1-16HHBPartial shedding
HTP-1-26HHPartial shedding
HTP-1-35H3HSurface integrity
HTP-1-46H6HSurface integrity
HTP-1-56H5HSurface integrity
HTP-1-66H6HSurface integrity
HTP-2-12H/Completely shedding
HTP-2-22H/Completely shedding
HTP-2-33H/Completely shedding
HTP-2-43H3HSurface integrity
HTP-2-54H3HSurface integrity
HTP-2-64H/Completely shedding
Table 7. The color difference (∆E) in the HTP system changes with time.
Table 7. The color difference (∆E) in the HTP system changes with time.
HTP-1/min100 h200 h300 h400 hHTP-2/min100 h200 h300 h400 h
HTP-1-09.319.6611.7112.53HTP-2-00.350.620.941.48
HTP-1-18.508.6811.5114.93HTP-2-10.761.161.532.04
HTP-1-26.4010.0311.2012.05HTP-2-20.541.001.191.86
HTP-1-39.4111.4310.3316.27HTP-2-30.630.670.821.33
HTP-1-44.667.298.8610.32HTP-2-41.071.571.902.26
HTP-1-57.569.7210.9013.11HTP-2-50.330.431.112.53
HTP-1-67.758.3210.1610.26HTP-2-60.671.081.263.09
Disclaimer/Publisher’s Note: The statements, opinions and data contained in all publications are solely those of the individual author(s) and contributor(s) and not of MDPI and/or the editor(s). MDPI and/or the editor(s) disclaim responsibility for any injury to people or property resulting from any ideas, methods, instructions or products referred to in the content.

Share and Cite

MDPI and ACS Style

Zhang, Z.; Ni, N.; Xu, Y. Effects of Different Polyols with Functions on the Properties of Polyester Polyol-Based Polyurethane Coatings. Coatings 2025, 15, 61. https://doi.org/10.3390/coatings15010061

AMA Style

Zhang Z, Ni N, Xu Y. Effects of Different Polyols with Functions on the Properties of Polyester Polyol-Based Polyurethane Coatings. Coatings. 2025; 15(1):61. https://doi.org/10.3390/coatings15010061

Chicago/Turabian Style

Zhang, Zhaoyang, Nannan Ni, and Yahong Xu. 2025. "Effects of Different Polyols with Functions on the Properties of Polyester Polyol-Based Polyurethane Coatings" Coatings 15, no. 1: 61. https://doi.org/10.3390/coatings15010061

APA Style

Zhang, Z., Ni, N., & Xu, Y. (2025). Effects of Different Polyols with Functions on the Properties of Polyester Polyol-Based Polyurethane Coatings. Coatings, 15(1), 61. https://doi.org/10.3390/coatings15010061

Note that from the first issue of 2016, this journal uses article numbers instead of page numbers. See further details here.

Article Metrics

Back to TopTop