Next Article in Journal
Exploring the Role of Nanoparticles in Dental Materials: A Comprehensive Review
Next Article in Special Issue
Research Progress on the Corrosion Mechanism and Protection Monitoring of Metal in Power Equipment
Previous Article in Journal
Enhanced Magneto-Optical Kerr Effects in Micron Array Thin Films with Organic–Inorganic Interfaces
Previous Article in Special Issue
Design and Corrosion Resistance Performance of Nano-Multilayer Coatings for the Protection of Breathing Gas Cylinders Used in Diving
 
 
Font Type:
Arial Georgia Verdana
Font Size:
Aa Aa Aa
Line Spacing:
Column Width:
Background:
Article

Evolution of Surface Integrity Characteristics and Mechanical Behavior of Diamond Burnished and Turned AISI 304 Steel Specimens After Prolonged Exposure to Natural Seawater

1
Department of Material Sciences, Technical University of Varna, 9010 Varna, Bulgaria
2
Department of Material Science and Mechanics of Materials, Technical University of Gabrovo, 5300 Gabrovo, Bulgaria
*
Author to whom correspondence should be addressed.
Coatings 2025, 15(1), 31; https://doi.org/10.3390/coatings15010031
Submission received: 5 December 2024 / Revised: 22 December 2024 / Accepted: 27 December 2024 / Published: 1 January 2025

Abstract

This article presents results on the evolution of surface integrity, microstructure, mechanical characteristics, fatigue strength, and wear behavior of AISI 304 steel specimens after prolonged exposure (up to 746 days) to a natural seawater environment, specifically near the port of Varna, Bulgaria. The samples, having different shapes and sizes according to the respective tests, were divided into two main groups based on the finishing process: fine turning (FT) and diamond burnishing (DB). Additionally, fatigue FT specimens were polished to meet the standard requirements. Some of the cylindrical samples from both groups were heat-treated to dissolve the car-bides. No significant improvement in the corrosion resistance of the heat-treated samples (FT and DB) was observed compared with untreated samples after 746 days of immersion in seawater. Overall, all types of DB specimens showed less mass loss (indicating a higher corrosion resistance), higher static and fatigue strength, greater plasticity, and greater wear resistance than the corresponding FT specimens. Notably, pitting corrosion was observed on all specimens, as well as trac-es of intergranular corrosion in some FT specimens. The hardening DB effects have a complex impact on corrosion activity. The increases in dislocation density and the surface and internal energy of the subsurface layers intensify the nucleation of corrosion centers in the surface layers; however, the refined fibrous structure and significant reduction in the roughness slow down the development of corrosion. Therefore, the implementation of DB as a smoothing process will re-duce the surface energy, and hence will lead to further increases in corrosion resistance.

1. Introduction

Chromium–nickel austenitic stainless steels (CNASSs) are resistant to electro-chemical corrosion processes induced in atmospheric, terrestrial, acidic, and alkaline environments, including the effects of seawater (an aqueous alkaline environment). The main alloying elements are Cr (18%–20%) and Ni (9%–12%). Additionally, alloying with molybdenum makes CNASS more resistant in sulfate environments. Corrosion resistance is ensured by the spontaneous formation of an oxide film (1–10 nm thick) on the metal surface, primarily containing Cr2O3. The anti-corrosion properties, combined with beneficial mechanical properties, enable the wide application of CNASS. Furthermore, these steels have good weldability and workability through plastic deformation under both hot and cold conditions. They are used to make house-hold utensils and appliances, components in the chemical and food industries, aircraft parts, orthopedic implants and prostheses, marine and coastal equipment, deep-sea submersible vehicles and robots, and underwater oil production systems [1,2]. A serious drawback of CNASS is its susceptibility to intergranular corrosion, but this is greatly reduced after alloying with niobium and titanium, which form resistant car-bides while the chromium remains in the solid solution [1].
Stainless steels are widely used in marine applications, and thus the study of their behavior in seawater is of great interest. Salty seawater has a potentially corrosive chemical composition, which can have a significant impact on the long-term performance of CNASSs used for submerged components such as pipelines and marine structures [2]. The salinity of seawater typically ranges from 1% to 25%, and an average value of 3.5% is often used for calculations. Chloride ions (approximately 55% of the total ions) generally interfere with the formation of protective films and are a major cause of pitting corrosion in CNASSs.
Numerous studies have examined the impact of seawater on the corrosion behavior of CNASSs. Chen et al. [3] and Chen [4] investigated the corrosion and tribocorrosion behavior (Al2O3 counter body) of AISI 316 CNASS in artificial seawater. They revealed a combined effect due to accelerated wear corrosion, and the effect was significantly less pronounced in pure water. Gudic et al. [5] investigated the influences of temperature and sulfide ion concentration on the corrosion behavior of AISI 304L and AISI 316L steels in seawater solutions with sulfide contents of 10 and 40 ppm. The seawater was collected from Žnjan beach in Split, Croatia. The surface film stability and corrosion resistance decreased with increasing temperature and sulfide ion concentration, with the influence of sulfide ions being stronger. Pitting corrosion was observed on the sample surfaces, with 316L steel showing higher corrosion resistance than 304L steel. Heo et al. [6] developed a method to enhance the corrosion resistance of AISI 304 welded steel in artificial seawater by generating a nanoporous oxide layer through anodization. Manesh et al. [7] investigated the corrosion behavior of three types of steel in artificial seawater and Hank’s balanced salt solution. They found that the corrosion rate of AISI 316 steel was lower than that of the other two steels (AISI 52100 and AISI H13), which exhibited significant activity in seawater. Saha et al. [8] proposed the growth of a self-organized nanoporous oxide layer with a honeycomb morphology on AISI 304 steel, for passivation and corrosion protection. The improve-ment in corrosion resistance properties is attributed to the nanoporous oxide layer and a compact thermal oxide formed underneath, preventing the penetration of corrosive ions from the artificial seawater environment into the steel. Donic and Kocijan [9] investigated the evolution of passive films on AISI 316L CNASS in natural seawater (from the Adriatic Sea) and artificial seawater (3.5% NaCl). Based on the electrochemical corrosion tests and impedance spectroscopy, the results of long-term exposure to the two environments significantly differed, which must be considered when con-ducting tests in “artificial” seawater. According to the authors, these differences are likely due to the biological contamination of the sample surfaces under natural conditions. Fernández-Domene et al. [10] compared the impacts of unpolluted and polluted seawater from a submarine volcano on the electrochemical behavior of AISI 316 CNASS and duplex stainless steel, showing that contaminated seawater hindered the passivation kinetics and reduced the corrosion resistance of both steels, with AISI 316 being the more vulnerable of the two steels. Yuan et al. [11] studied the effects of inorganic and biogenic sulfide on the corrosion behavior of AISI 304 steel in a simulated seawater-based modified Baar’s medium. Their results show that biogenic sulfide is much more aggressive toward the CNASS than its inorganic counterpart. Yuan et al. [12] compared the corrosion behavior of AISI 304 CNASS in nutrient-rich artificial seawater under two conditions, namely, the absence and presence of marine aerobic bacteria (i.e., Pseudomonas NCIMB 2021). Without the bacteria, the passivating film on the steel remained relatively stable, and the anodic reaction was controlled by diffusion, whereas the corrosion rate increased in the presence of the bacteria, and the resistance of the passivating film significantly decreased owing to localized film break-down.
In almost all of the previous studies, artificial seawater was used as the aggressive environment, and the corrosion processes took place in a laboratory environment, which can save time and money. Furthermore, the majority of studies consider corrosion processes in the surface layer, involving the natural, self-healing passivation film, and other studies [6,8,13] have been dedicated to developing new passivation technologies to increase the corrosion resistance of CNASS in seawater.
However, increased corrosion resistance can also be achieved through surface cold working [14,15,16,17], by providing a favorable combination of surface integrity (SI) characteristics: low roughness, increased microhardness, residual compressive stresses, and a fine-grained structure. Surface cold working methods can be dynamic or static. The majority of dynamic methods are based on the underlying mechanism associated with the pioneering sand-blasting method developed by Tilgham in 1871 [18], namely, the impact of the deforming elements on the treated surface, which is stochastic in nature. Modern dynamic methods include shot peening [19], surface mechanical attrition [20], laser shock peening [21], cavitation shotless peening [22], and percussive burnishing [23]. A common disadvantage of dynamic methods is the resulting increase in surface roughness. Therefore, static methods may have greater potential for increasing corrosion resistance.
In static methods, the contact between the deforming element and the surface being treated is continuous, and the pressing force is practically constant. These methods are generally referred to as burnishing methods. One of the first patents relating to static surface cold working dates back to 1916 [24]. Depending on the type of contact between the deforming element and the surface being machined, burnishing methods can be classified into two main groups: rolling contact and sliding friction contact. The first group includes roller and ball burnishing methods, in which the deforming element is a roller or a ball, and pure rolling (i.e., without slipping) is applied on the treated surface [25]. A variation of this is hydrostatic ball burnishing [25], in which the deforming ball rotates around an instantaneous axis of rotation according to the law of least resistance. The second group includes slide burnishing, in which the deforming element is spherical-ended or cylindrical-ended and is made of a hard material: quenched tool steels [26], sintered carbides [27], and single-crystalline [28] or poly-crystalline diamond [29]. When the deforming element is diamond, the method is called diamond burnishing (DB). General Electric first introduced DB in 1962 to im-prove the SI of treated components [30].
DB has the following advantages: easy implementation with simple devices [29]; the possibility of implementing a sustainable process [31]; and suitable for parts (1) with low stiffness (thin-walled tubes and thin shafts), (2) made of hard materials, (3) with coatings, and (4) with small dimensions [30]. DB significantly improves the SI of the machined components, resulting in low roughness, high microhardness, residual compressive stresses, and refined microstructure, thus improving their operating performance and corrosion resistance. Konefal et al. [14] investigated the electrochemical corrosion of X6CrNiMoTi17-12-2 CNASS and found that the best corrosion resistance was obtained after DB. Labanowski and Ossowska [32] studied the stress corrosion cracking susceptibility of duplex stainless steel specimens processed by turning, polishing, and DB with three magnitudes of burnishing force (70, 120, and 160 N). The highest resistance to stress corrosion cracking was observed for the samples finished by DB with a burnishing force of 70 N. Maximov et al. [33] investigated the effects of heat treatment and DB on the corrosion behavior of 304 CNASS, demonstrating that DB (implemented as a smoothing process) and subsequent heat treatment (heating at 350 °C for 3 h after DB) maximized the corrosion resistance for the two initial states (as-received and heat-treated: heating at 1100 °C for 1 h to dissolve the carbides and obtain a pure austenite structure, and subsequently quenched in water), and a minimum corrosion rate was obtained for the initially heat-treated samples.
Overall, few studies have been dedicated to the effects of DB on the corrosion behavior of CNASSs. There is a lack of studies on the behavior of DB CNASS components in natural seawater, both in the laboratory and under natural conditions.
The present study focuses on the evolution of the mechanical behavior of AISI 304 CNASS specimens (untreated and DB) after prolonged exposure (between 505 and 746 days) to natural seawater on the western coast of the Black Sea (Port of Varna, Bulgaria).

2. Materials and Methods

2.1. Material and Types of Specimens

The AISI 304 steel was received as hot-rolled cylindrical bars. The chemical composition (mass %) of the as-received material was measured by optical emission spectrometry, with a resolution of 0.001. The bars were cut into three types of workpieces. The first group contained cylindrical specimens (Figure 1a) designed for measuring SI characteristics, weights, and mass wear. The second and third groups contained specimens intended for tensile testing and rotating bending fatigue tests, whose geometries are shown in Figure 1b and c (according to [34] and [35], respectively).

2.2. Analysis of the Seawater

A seawater sample was taken from the port of Varna, Bulgaria and the chemical composition was tested in the SGS Laboratory at the Institute of Hydro- and Aerodynamics, Bulgarian Academy of Sciences (BAS), based on the following standards: ISO 9297, VLM 61:2009, VLM 120:2012, EN ISO 11885, and VLM 117:2011. The technical means used were in accordance with the regulatory document BAS QA 2.1.8.

2.3. Surface Cold Working

Turning and DB were implemented using a CNC T200 lathe (RAIS, Pazardzhik, Bulgaria) using Hocut 795-H lubricant (Quaker Houghton, Conshohocken, PA, USA). The average value of the roughness parameter Ra after turning was in the range of 0.41–0.63 μm. The special burnishing device (designed and manufactured by us) with a polycrystalline diamond insert provides elastic normal contact between the deforming spherical-ended diamond insert and the treated surface. A single-pass hardening DB process was performed. The optimal values of the process parameters were previously determined [36]: 2 mm radius of the diamond insert, burnishing force of 700 N, feed rate of 0.02 mm/rev, and burnishing velocity of 100 m/min.

2.4. Effects of Natural Seawater on the Mass Lost, Microstructure, and SI Characteristics

Two groups of cylindrical specimens ϕ 20 × 30   mm , each containing 16 samples, were subjected to the action of natural seawater on the western coast of the Black Sea, at the port of Varna, Bulgaria, from 24 September 2022 to 9 October 2024. One group was placed in the air so that it was periodically bathed by the sea waves and the second group was submerged to a depth of 3.5 m. Half of the samples (i.e., 8 samples) from each of the two groups were heat-treated to dissolve the carbides and obtain a pure austenitic structure, as follows: heating at 1100 °C for one hour and quenching in water. The material of the other two groups was as-received. For each of the two groups, half of the heat-treated specimens and half of the as-received specimens were subjected to hardening DB. Thus, a total of eight subgroups were obtained, each containing four samples. The designation of the eight subgroups is shown in Table 1.
Before exposure to seawater, the samples were assessed for weight and SI characteristics. Periodically, one specimen from each of the eight subgroups was removed from the seawater and cleaned with an ultrasonic cleaner Geti GVC 02B 2L Stainless Steel (Ostrava, Czech Republic) (Figure 2), after which their weights were measured. The weights were measured by means of WPS 180/C/2 electronic balance (Labtex, Jinan, China). The 2D roughness parameters were measured using a Mitutoyo Surftest SJ-210 surface roughness tester (Kawasaki, Japan), and the average arithmetic values from the measurements on six equally spaced sample generatrixes were obtained. A ZHVμ Zwick/Roell microhardness tester (Ulm, Germany) was used to establish the surface microhardness using 0.05 kgf loading and a holding time of 10 s. The final surface microhardness value was considered to be the median of the clustering of ten measurements. A Bruker D8 Advance X-ray diffractometer (Billerica, MA, USA) with a pinhole collimator and a primary beam measuring 1 × 1   mm was used to measure the residual stresses. The characteristics of the residual stress X-ray measurement are shown in Table 2. The percentage content of strain-induced α’-martensite in the surface layers was determined by use of DIFFRAC.DQuant V1.5 specialized software [37]. The microstructures of the surface and the nearby subsurface layers were observed via optical microscopy (OM, NEOPHOT 2, Carl Zeiss, Jena, Germany).

2.5. Effects of Natural Seawater on the Mechanical Characteristics

A Zwick/Roell Vibrophore 100 testing machine (Ulm, Germany) was used for tensile testing, to determine the mechanical properties of the steel samples. A total of 9 samples were used: 3 samples were untreated, 3 samples were untreated and subjected to seawater immersion, and 3 samples were subjected to DB and seawater immersion. The weights of the samples were measured using a WPS 180/C/2 electronic balance. Then, 6 specimens (3 DB and 3 untreated) were immersed (23 May 2023) in natural seawater, where they remained for 505 days. After being removed (9 October 2024) from the seawater, the samples were ultrasonically cleaned and then weighed. The cleaned samples were subjected to tensile tests, and the mechanical characteristics of each sample group were determined as the arithmetic means of three tests. The remaining 3 samples were subjected to tensile tests immediately after they were received and prepared for testing (without immersion in seawater).

2.6. Effects of Natural Seawater on the Fatigue Behavior

Rotating bending fatigue tests were conducted using a UBM testing machine (Markkleeberg, Germany) at room temperature in air, with a loading frequency of 50 Hz. The fatigue test scheme is shown in Figure 1d. Each specimen was tested until failure, except for several samples that reached 10 7 cycles during testing, after which the test was terminated. One specimen was used for each experimental data point. Two specimen groups were prepared. The first group was treated by turning and polishing (marked as T+P). Polishing was carried out to satisfy the requirements of the relevant standard for the surface roughness of the fatigue specimens. The second group was treated by sequential turning (coarse and fine) and DB (marked as DB). Each of the two groups contained two subgroups. The first subgroups were subjected to fatigue tests immediately after the specimens were prepared. The second subgroups were immersed in natural seawater from 23 May 2023 to 9 October 2024, and the weights of the specimens and the surface residual stresses in the smallest cross-section ϕ 7.5   mm of the DB specimens were measured in advance. After removal from seawater, the specimens were cleaned using an ultrasonic cleaner, their weights and surface residual stresses (in the smallest cross-section of DB specimens) were measured, and they were subjected to fatigue tests. The surface fractures were observed by scanning electron microscopy (Zeiss Evo 10, Jena, Germany).

2.7. Effects of Natural Seawater on the Wear Behavior

Two groups of cylindrical specimens, which had been in seawater for 505 days, were used in the wear tests. Each group contained 2 specimens, with the first group containing turned specimens and the second group containing DB specimens. Sliding wear tests were conducted in the presence of seawater. The outer diameter and length of the specimens were 20 and 15 mm, respectively. The counter bodies in the tribosystem were segments made of Cu-8Al-2Ni aluminum bronze (hardness of 144 HB). The segment dimensions were designated as follows: outer radius of r e = 21.5   mm , inner radius of r i = 10   mm , angular size of φ = 50 ° , and thickness of 15 mm. The experimental study of the steel–bronze tribosystem was performed according to the kinematic scheme shown in Figure 3. The bronze segment was fixed in a bed on a specially designed holder in a loading beam. The inner cylindrical surface of the segment contacts the surface of the steel specimen, which rotates at a constant frequency of 980   min 1 . The normal force (pressing the counter body against the steel specimen) was P = 35   N . To assess the wear, the mass m i of the steel specimens was measured after a set path of friction L i using a WPS 180/C/2 electronic balance. The mass wear Δ m i was calculated using the formula Δ m i = m 0 m i , where m 0 is the initial mass. Before each measurement, the steel sample was cleaned to remove mechanical and organic particles and dried with ethyl alcohol. The sliding wear time was 17 min, which corresponds to the friction path of 1046.78 m.

2.8. Flowchart of the Study

The flowchart of the study is depicted in Figure 4.

3. Results and Discussion

3.1. Material Measurements in As-Received State

The chemical composition of the used AISI 304 steel is shown in Table 3. The mechanical characteristics of the as-received material are shown in Table 4. All further measured characteristics (roughness, microhardness, residual stresses, fatigue and wear behavior) of the as-received material, before its exposure to seawater, serve as reference conditions (RC).

3.2. Effect of the Natural Seawater on the Mass Lost, Microstructure and SI Characteristics

3.2.1. Chemical Composition of the Seawater

The chemical composition (main ions) of the seawater is listed in Table 5. The measured salinity (17.88 ‰) of the seawater sample taken near the port of Varna (Black Sea) was almost two times less than that of the global ocean average (35 ‰) because of the abundant inflow of river waters.

3.2.2. Mass Loss of the Cylindrical Specimens

Figure 5 provides information on the mass loss of cylindrical specimens exposed to seawater for 746 days. Overall, DB specimens show higher corrosion resistance over an entire period than specimens prepared by turning alone. The heat-treated specimens show a higher degree of corrosion resistance than the specimens prepared in the as-received state (i.e., without heat treatment) when exposed to air and periodically washed by sea waves (Figure 5a,b). When the samples are immersed in seawater (Figure 5c,d), no significant difference is observed in the corrosion resistance of the heat-treated (Figure 5d) and as-received (Figure 5c) samples. Hence, the initially pure austenitic structure (without carbides) obtained through heat treatment is more suitable in a less aggressive environment (i.e., sea air with periodic exposure to sea waves). Such a structure is characterized by significantly lower static strength, hardness, and fatigue strength, but greater plasticity, and should only be used when the operating conditions do not require significant hardness or static or dynamic strength [33].

3.2.3. Microstructural Analysis

Figure 6 shows the microstructures of the turned and DB cylindrical specimens that showed the greatest mass loss after immersion in seawater for 505 days (see Figure 7). The natural conditions are associated with a cyclical change in the factors influencing the corrosion activity of the environment: temperature, sea currents, changes in salinity due to precipitation and river inflows, and other factors related to flora throughout the year. In addition to these external factors, the chemical composition of the steel and the phase, structural and equilibrium state of the metal due to the dynamic redistribution of micro- and macrostresses have a significant impact on corrosion processes. In the studied corrosion environment, the process of the nucleation and kinetic development of corrosion centers depends on both the passivation of the surface layer and the surface stresses caused by external factors or introduced in the manufacturing process of the components (residual stresses). Surface tensile residual stresses, typical of turning, favor the formation of cracks along grain boundaries, which act as corrosion centers from which the stress corrosion originates and develops [32].
The structure of the closely spaced subsurface layers of the turned specimen (Figure 6a) is relatively coarse-grained. In contrast to the turned specimen, the closely spaced subsurface layers in the DB specimen (Figure 6b) exhibit a fine-grained fibrous structure (i.e., with an increased dislocation density). Figure 6a shows defective areas of the surface layer on the turned specimen, likely due to the impact of seawater. Undercutting pitting (Figure 6a.1) and elliptical pitting (Figure 6a.2) are observed. No visible signs of corrosion were observed on the cylindrical surface of the DB specimen. Therefore, a layer-by-layer examination was performed to detect local damage. As a result, wide, shallow pitting was found beneath the surface layer (Figure 6b), which explains the large mass loss of this sample. The formed corrosion pit causes peeling of the surface part of the grain.
The strain hardening induced under sliding friction contact in the DB process is characterized by several factors that affect corrosion activity: (1) increased dislocation density due to significant equivalent plastic strain in the surface and subsurface layers, (2) increased surface and internal energy in the subsurface layers, (3) grain refinement and elongation in the tangential direction parallel to the sliding velocity (fibrous structure in the surface layer), and (4) smoothing effects (i.e., significant reduction in the surface roughness). However, the above effects have different impacts on corrosion activity. On the one hand, effects (1) and (2) intensify the formation of corrosion centers in the surface layers. The kinetic development of these corrosion centers leads to a redistribution of micro- and macrostresses, causing a relaxation of the residual compressive stresses introduced into the DB specimen (this effect is investigated and evaluated in Section 3.4). On the other hand, effects (3) and (4) increase corrosion resistance. The fibrous structure (effect 3) in the DB specimen slows down the development of corrosion processes. Conversely, the presence of a coarse-grained structure in the turned specimen results in relatively less resistance to intergranular corrosion. The smoothing effect (effect 4) significantly reduces the potential sites for the formation of corrosion centers, which slows down the rate of corrosion [14,33]. Considering the absence of effects (3) and (4) in the turned specimen, relatively greater corrosion activity can be predicted for this specimen, although the formed corrosion pits are narrower (Figure 6a.1 and a.2). Changes in the governing factors of the DB process can affect the four effects to a varying extent, and hence alter the corrosion activity. For example, the implementation of DB as a smoothing process is characterized by smaller equivalent plastic deformation and very low roughness (mirror-like surface) [33]. Thus, the smoothing DB process is expected to increase the corrosion resistance of AISI 304 austenitic stainless steel components in natural seawater to a greater extent than hardening DB.

3.2.4. Evolution of the SI Characteristics

Figure 7 shows the mass loss of the cylindrical samples (turned and DB) after 505 days in natural seawater. For both groups of samples, the material was prepared in the as-received state, i.e., without heat treatment. The SI characteristics were measured on both groups of samples before and after the immersion in seawater. Except for the residual stress distribution, which was measured for one specimen in each group (turned and DB), the values of the remaining characteristics (surface roughness and surface microhardness) were obtained as the arithmetic mean of three specimens. As seen in Figure 7, DB specimens show higher corrosion resistance than the turned specimens after 505 days in seawater.
Figure 8a shows a comparison of the roughness observed for turned and DB specimens before and after exposure to seawater. The comparison of the two groups shows that hardening DB drastically reduces the Ra parameter compared with turning from 0.587 to 0.171 μm. After 505 days in seawater, the roughness of both the turned and DB specimens deteriorated from 0.587 to 0.668 μm for the turned specimens, and from 0.171 to 0.201 μm for the DB specimens. Note that the deterioration is more pronounced in the turned samples. A similar trend is observed for microhardness (Figure 8b). Before exposure to seawater, hardening DB increases the microhardness compared with that obtained by turning, from 366 to 554 HV. The 505 day immersion in seawater reduced both microhardness values from 366 to 340 HV for the turned specimens and from 554 to 433 HV for the DB specimens. The deterioration of microhardness was stronger in DB specimens. This is attributed to the change in the dislocation density of the surface and subsurface layers, a consequence of the combination of material rheological behavior and seawater impact, mainly resulting in pitting corrosion. For the same reason, relaxation is observed in the distribution of residual stresses introduced by turning and hardening DB (Figure 9). In addition, the relaxation of surface tensile stresses in the turned specimen is likely accelerated by stress corrosion because tensile stresses favor this type of corrosion [32]. The errors in measuring the residual stresses are listed in Table 6.
The proportion of strain-induced α’-martensite (due to hardening DB) in the surface and subsurface layers was initially 43%, and after 505 days in seawater, it was completely absent this phase.

3.3. Mechanical Characteristics After Prolonged Exposure to Natural Seawater

After removal from seawater, the tensile test specimens were cleaned in an ultrasonic bath (Figure 10a). Figure 11 shows the mass loss due to seawater impact. The DB specimen II3 was excluded from the analysis because the mass loss was concentrated in the area around the center hole required for the fabrication of the specimens, whereas no damage was observed in the working cylindrical section. The average mass loss was calculated based on the remaining two DB samples (Figure 11b). Overall, the DB specimens show greater corrosion resistance than the turned specimens.
The results of the tensile tests are listed in Table 7 and visualized in Figure 12, having been normalized based on the RC results, which are assumed to show unity. Thus, the change with respect to the RC is shown. The turned and DB samples show increases in the yield limits after 505 days in seawater, rising by 3.5% and 2.3%, which comes at the expense of significantly reduced elongation, diminishing by 15.4% and 10.7%, respectively. The tensile strengths of the turned specimens were reduced by 4.8%, whereas the DB specimens retained their tensile strength (the reduction was only 0.3%).

3.4. Fatigue Behavior After Prolonged Exposure to Natural Seawater

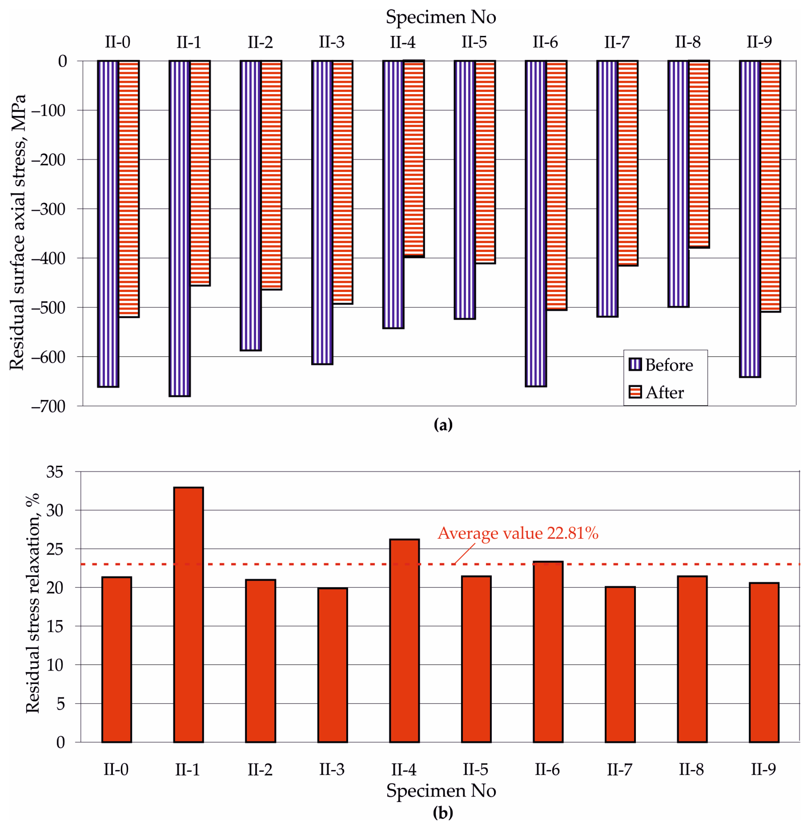
After 505 days in seawater, the fatigue specimens were cleaned in an ultrasonic bath (Figure 10b). Figure 13 shows the mass loss due to seawater’s impact. The mass loss variation in the turned fatigue specimens is significant (Figure 13a). Samples I1, I6, I7 and I9 show significantly greater mass loss, but it is concentrated in the areas around the center holes. For this reason, the average mass loss was calculated based on the remaining six samples. The comparison of the average mass loss values for the two groups of fatigue specimens shows the advantage of DB. The residual axial stresses were measured on the surface at the critical section ϕ 7.5   mm of each DB specimen before and after 505 days in seawater (Figure 14). The residual stress measurement errors are listed in Table 8. The comparison between Figure 14a and Figure 9 shows that the measured residual surface axial stresses in the fatigue specimens are (1) characterized by significant variation among samples and (2) smaller in absolute value than those measured in cylindrical samples (see Figure 9). This is attributed to the differences in geometry between the fatigue specimens and cylindrical specimens. For all fatigue samples, residual stress relaxation was observed after 505 days of seawater exposure (Figure 14a). Quantitative information regarding this relaxation is visualized in Figure 14b. The relaxation is calculated using the following formula:
Re l = σ a r e s ,   b e f o r e σ a r e s ,   a f t e r σ a r e s ,   b e f o r e × 100 %
where σ a res ,   after ( σ a res ,   after ) is the residual stress before (after) seawater immersion. The average relaxation value is 22.81%. The possible reason for this relaxation is the combined effects of the rheological behavior of the material and pitting corrosion, degrading the microstructure in the surface layer.
The S-N dependencies in the double-logarithmic coordinate system are depicted in Figure 15. After 505 days in seawater, both groups of specimens (T+P and DB) show lower fatigue strength over the entire range of cycles to failure than in the corresponding RC results (i.e., before seawater impact). This trend increases as the process approaches the megacycle fatigue region, and is more pronounced in DB specimens. The fatigue limit of T+P specimens decreases relative to RC by 2.73%, from 440 to 428 MPa, and the reduction in the fatigue limit of DB specimens compared with the corresponding RC is significantly greater, from 580 to 505 MPa (i.e., 12.9%). However, after 505 days in seawater, DB specimens show an 18% higher fatigue limit and an increase of more than 120 times the fatigue life compared with T+P specimens, which demonstrates the benefit of DB, providing the modified surface layer and favorable residual compressive stresses. The fatigue limit reduction of DB specimens after seawater immersion can be explained by the significant relaxation of residual stresses (see Figure 14a,b) introduced by the hardening DB process, as well as the reduced material plasticity due to seawater’s impact (see Figure 12). In a previous study [33], the smoothing DB process (3 mm radius of diamond insert, burnishing force of 300 N, feed rate of 0.07 mm/rev, and burnishing velocity of 100 m/min) was applied to fatigue specimens made of the same batch of AISI 304 steel (as-received state), resulting in a fatigue limit of 540 MPa, a roughness of R a = 0.1   μ m , and significantly greater resistance to electrochemical corrosion than samples subjected to hardening DB. After heating at 350 °C for 3 h and air cooling, due to the dispersion of carbides, the fatigue limit was increased to 580 MPa (i.e., as much as hardening DB provides). Considering that the surface energy decreases with decreasing equivalent plastic deformation under a lower burnishing force, as well as providing a lower roughness ( R a = 0.1   μ m ), smoothing DB is assumed to be more suitable for marine applications than hardening DB. In addition, the strain-induced α’-martensite introduced by hardening DB deteriorates the corrosion resistance of the surface layer, whereas smoothing DB does not introduce this phase [33].
The fracture surfaces of all fractured specimens from both groups were initially examined using a 5 × magnifying glass. As expected, the failure of T+P samples started from the surface layer, given that the tensile surface residual stresses were introduced by turning and subsequent polishing. However, the same trend was observed for DB specimens, regardless of the introduced compressive surface residual stresses. The cause is the corrosion micro-pits formed on the specimen surfaces, from which the fatigue macrocrack originates. One representative sample was selected from each of the two groups (T+P and DB), and both specimens failed under 570 MPa, at 12,600 and 38,900 cycles, respectively.
Figure 16 shows a microfractogram of the fracture surface on the turned specimen. In Figure 16a, the focus (i.e., a microdefect causing the nucleation of microcracks, which subsequently merge into a fatigue macrocrack) is localized. Most likely, the focus is located in a corrosion micro-pit. The focus and macrocrack, shown at higher magnification in Figure 16b, are located in a static zone, between two extrusion zones. To the left of the static zone, the characteristic fatigue lines (striations) are observed (Figure 16b). To the right of the macrocrack, traces of tough-plastic failure are observed, and the static zone is characterized by increased brittleness. The macrocrack develops along the grain boundaries (intergranular fracture), but as a result of the accumulated energy in the static zone, transcrystalline cracks develop (transgranular fracture). The dark zone observed in Figure 16c is likely associate with intergranular corrosion. The development of intergranular corrosion in the subsurface layers was triggered by the formation of a corrosion pit in the focus zone. The intergranular corrosion zone, in turn, accelerated the formation and growth of the fatigue macrocrack.
Figure 17 shows a microfractogram of the fracture surface on the DB specimen. It is important to note that the fatigue limit of DB specimens before seawater impact was 580 MPa (see Figure 15), and the amplitude stress of the failed specimen, which was exposed to seawater for 505 days, was 570 MPa (38,900 cycles to failure). Therefore, the combination of mechanical cyclic loading and seawater impact is the cause of specimen failure, regardless of the modified surface layer with significant residual compressive stresses. Seawater causes numerous micro- and macrodefects due to pitting corrosion. These defects are potential sites for the formation of fatigue macrocracks, starting from the surface. Figure 17a clearly outlines the two characteristic zones: (1) the fatigue zone, containing the nucleated and developing crack, and (2) the final fracture zone. Partial peeling is observed on the surface above the visible macrocrack (Figure 17d). This is assumed to be an effect of pitting corrosion on the grain boundaries, as a consequence of the accumulated energy, which causes the sliding of dislocations. The main macrocrack develops between the cyclic wave and the semi-static slip zone, shown in Figure 17b. The boundaries of the static zone are located between the macrocrack and the area of pronounced extrusion (Figure 17c). Around the focus (Figure 17d), the beginning of the main macrocrack is observed, developing along the grain boundaries (intergranular fracture). In the same zone, secondary microcracks are observed, which lead to the relaxation of microstresses, thus changing the direction of the main macrocrack according to the law of least resistance. No transcrystalline fracture is observed.

3.5. Effects of Natural Seawater on the Wear Behaviour

Figure 18 shows the mass loss of the wear test samples (turned and DB) after 505 days in natural seawater. The comparison between the two groups of samples according to the lost mass criterion confirms the observed tendency to increase corrosion resistance by DB.
The interface with seawater is a lubricated boundary, as the corresponding specimen is immersed 4 mm in the water. Thus, strong fluid friction with the counter body cannot be achieved. The temperature in the contact area is constant (48 °C) and the wear process lasts 17 min without interruption. DB specimens show less mass wear than turned specimens (Figure 19). The increase in wear resistance due to DB is 14.3%. The worn surfaces under boundary lubrication friction conditions are shown in Figure 20, where many scratches are observed. The improved wear behavior of the DB specimens is confirmed by the observed morphology. For DB specimens, only superficial pitting is observed, whereas traces of tears are also observed for the turned specimens. For both samples, the surface morphologies show that the main wear mechanism under the boundary lubrication condition is micro-cutting, which is inherent in abrasion.

4. Conclusions

This study evaluated the evolution of SI characteristics, mechanical characteristics, fatigue strength, and wear resistance in AISI 304 steel specimens (turned and DB; heat-treated and untreated) after prolonged exposure (up to 746 days) to natural seawater on the western coast of the Black Sea (i.e., at the port of Varna, Bulgaria). The major findings are summarized as follows:
The heat-treated specimens (turned and DB) showed higher corrosion resistance than the as-received specimens (turned and DB) when exposed to sea air and periodically subjected to sea waves. However, the heat-treated specimens after 746 days of immersion in seawater did not show a significant improvement in their corrosion resistance compared with untreated specimens.
The initially pure austenite structure (without carbides) obtained by heat treatment is more suitable in a less aggressive environment, such as sea air with periodic exposure to sea waves. Such a structure has significantly lower static strength, hardness, and fatigue strength, but greater ductility, and should be used only when the operating conditions do not require significant static or dynamic strength.
Overall, all types of DB specimens showed less mass loss (i.e., enhanced corrosion resistance), higher static and fatigue strength, greater plasticity, and greater wear resistance than the corresponding turned specimens. This is attributed to the modified surface layer and finer fibrous structure resulting from DB, which slows down the development of the corrosion process.
The immersion in seawater for 505 days causes an increase in roughness, a reduction in microhardness, and a relaxation of the introduced residual stresses. The effects of microhardness reduction and residual stress relaxation are greater in DB specimens. Nevertheless, compared with the turned samples, the measured average roughness is 69.9% smaller, the average microhardness is 27.3% larger, and the compressive residual stresses are in the range of −250 to −519 MPa. These SI characteristics explain the greater potential of the DB process, increasing the fatigue limit by 18%, fatigue life by more than 120 times, and the corrosion resistance of AISI 304 steel specimens.
The increased dislocation density (i.e., increased surface energy) and strain-induced α’-martensite resulting from severe surface plastic deformation introduced by hardening DB intensifies the nucleation of corrosion centers in the surface layers, the kinetic development of which leads to relaxation of the introduced residual compressive stresses. Therefore, an advisable solution is to use a burnishing process in which the surface equivalent plastic deformation is limited. Such processes are referred to as smoothing DB and low-plasticity burnishing, and their effects on the marine corrosion of CNASS are the subject of further research.

Author Contributions

Conceptualization, Y.A., J.M. and G.D.; methodology, Y.A., J.M. and G.D.; software, J.M., G.D., A.A., V.D. and T.M.; validation, G.D., J.M., A.A. and V.D.; formal analysis, Y.A., J.M. and G.D.; investigation, Y.A., A.A., V.D., G.D., T.M. and J.M.; resources, Y.A., J.M. and G.D.; data curation, J.M. and G.D.; writing—original draft preparation, J.M. and G.D.; writing—review and editing, J.M. and G.D.; visualization, J.M., G.D., A.A., V.D. and T.M.; supervision, J.M.; project administration, G.D. and J.M.; funding acquisition, G.D. and J.M. All authors have read and agreed to the published version of the manuscript.

Funding

This research was funded by the European Regional Development Fund under the Operational Program “Scientific Research, Innovation and Digitization for Smart Transformation 2021–2027”, Project CoC “Smart Mechatronics, Eco- and Energy Saving Systems and Technologies”, BG16RFPR002-1.014-0005.

Institutional Review Board Statement

Not applicable.

Informed Consent Statement

Not applicable.

Data Availability Statement

Data are contained within the article.

Conflicts of Interest

The authors declare no conflicts of interest.

Abbreviations

The following abbreviations are used in this manuscript:
CNASSchromium–nickel austenitic stainless steel
DBdiamond burnishing
RCreference condition
SIsurface integrity

References

  1. Balevski, A.T. Metal Science; Technika: Sofia, Bulgaria, 1988. (In Bulgarian) [Google Scholar]
  2. Rashkov, N.D. Heat Treatment of Steel; Technika: Sofia, Bulgaria, 1977. (In Bulgarian) [Google Scholar]
  3. Chen, J.; Zhang, Q.; Li, Q.-A.; Fu, S.-L.; Wang, J.-Z. Corrosion and tribocorrosion behaviors of AISI 316 stainless steel and Ti6Al4V alloys in artificial seawater. Trans. Nonferrous Met. Soc. China 2014, 24, 1022–1031. [Google Scholar] [CrossRef]
  4. Chen, J. Corrosion wear characteristics of TC4, 316 stainless steel, and Monel K500 in artificial seawater. RSC Adv. 2017, 7, 23835–23845. [Google Scholar]
  5. Gudic, S.; Vrsalovic, L.; Matošin, A.; Krolo, J.; Oguzie, E.E.; Nagode, A. Corrosion behavior of stainless steel in seawater in the presence of sulfide. Appl. Sci. 2023, 13, 4366. [Google Scholar] [CrossRef]
  6. Heo, J.; Lee, S.Y.; Lee, J.; Alfantazi, A.; Cho, S.O. Improvement of Corrosion Resistance of Stainless Steel Welded Joint Using a Nanostructured Oxide Layer. Nanomaterials 2021, 11, 838. [Google Scholar] [CrossRef] [PubMed]
  7. Mahesh, H.; Venkatesh, B.; Reddy, C.A.K.; Venukumar, S. Corrosion behaviour analysis of AISI 52100, AISI 316, AISI H13 steels for marine applications. In Proceedings of the 8th Annual International Seminar on Trends in Science and Science Education (AISTSSE), Medan, Indonesia, 3 November 2021; p. 030034. [Google Scholar]
  8. Saha, S.K.; Park, Y.J.; Kim, J.W.; Cho, S.O. Self-organized honeycomb-like nanoporous ixide layer for corrosion protection of type 304 stainless steel in an artificial seawater medium. J. Mol. Liq. 2019, 296, 111823. [Google Scholar] [CrossRef]
  9. Donik, C.; Kocijan, A. Comparison of the corrosion behaviour of austenitic stainless steel in seawater and in a 3.5% NaCl solution. Mater. Technol. 2014, 48, 937–942. [Google Scholar]
  10. Fernández-Domene, R.M.; Sánchez-Tovar, R.; Escrivá-Cerdán, C.; Leiva-García, R.; García-Antón, J. Comparison of the effect of non-polluted and underwater-volcano-polluted seawater on the corrosion resistance of different stainless steels. Mater. Corros. 2015, 66, 1279–1289. [Google Scholar] [CrossRef][Green Version]
  11. Yuan, S.; Liang, B.; Zhao, Y.; Pehkonen, S.O. Surface chemistry and corrosion behaviour of 304 stainless steel in simulated seawater containing inorganic sulphide and sulphate-reducing bacteria. Corros. Sci. 2013, 74, 353–366. [Google Scholar] [CrossRef]
  12. Yuan, S.J.; Pehkonen, S.O.; Ting, Y.P.; Kang, E.T.; Neoh, K.G. Corrosion Behavior of Type 304 Stainless Steel in a Simulated Seawater-Based Medium in the Presence and Absence of Aerobic Pseudomonas NCIMB 2021 Bacteria. Ind. Eng. Chem. Res. 2008, 47, 3008–3020. [Google Scholar] [CrossRef]
  13. Krishna, N.G.; Thinaharan, C.; George, R.P.; Parvathavarthini, N.; Mudali, U.K. Surface modification of type 304 stainless steel with duplex coatings for corrosion resistance in sea water environments. Surf. Eng. 2015, 31, 39–47. [Google Scholar] [CrossRef]
  14. Konefal, K.; Korzynski, M.; Byczkowska, Z.; Korzynska, K. Improved corrosion resistance of stainless steel X6CrNiMoTi17-12-2 by slide diamond burnishing. J. Mech. Work. Technol. 2013, 213, 1997–2004. [Google Scholar] [CrossRef]
  15. Plascencia-Mora, H.; Aguilera-Gómez, E.; Saldaña-Robles, A.; Marquez-Herrera, A.; la Peña, J.A.D.-D. Influence of ball-burnishing on roughness, hardness and corrosion resistance of AISI 1045 steel. Surf. Coat. Technol. 2018, 339, 191–198. [Google Scholar] [CrossRef]
  16. Marquez-Herrera, A.; Saldaña-Robles, A.; Zapata-Torres, M.; Reveles-Arredondo, J.F.; Diosdado-De la Peña, J.A. Duplex surface treatment on ASTM A-36 steel by slide diamond burnishing and powder pack boriding. Mater. Today Commun. 2022, 31, 103703. [Google Scholar] [CrossRef]
  17. Okada, M.; Terada, S.; Kataoka, Y.; Kihara, T.; Miura, T.; Otsu, M. Burnishing Characteristics of Sliding Burnishing Process with Active Rotary Tool Targeting Stainless Steel. In Proceedings of the JSME 2020 Conference on Leading Edge Manufacturing/Materials and Processing, Online, 3 September 2020. [Google Scholar]
  18. Plaster, H.J. A Tribute to Benjamin Chew Tilghman. In Proceedings of the 5th International Conference on Shot Peening, Oxford, UK, 13–17 September 1993; pp. 2–9. [Google Scholar]
  19. Leghorn, G. The story of shot peening. J. Am. Soc. Nav. Eng. 1957, 69, 653–666. [Google Scholar] [CrossRef]
  20. Dai, L.; Shaw, L. Comparison between shot peening and surface nanocrystallization and hardening processes. Mater. Sci. Eng. A 2007, 463, 46–53. [Google Scholar] [CrossRef]
  21. Yang, J.M.; Her, Y.C.; Han, N.; Clauer, A. Laser shock peening on fatigue behavior of 2024-T3 Al alloy with fastener holes and stopholes. Mater. Sci. Eng. A 2001, 298, 296–299. [Google Scholar] [CrossRef]
  22. Soyama, H. Cavitation Peening: A Review. Metals 2020, 10, 270. [Google Scholar] [CrossRef]
  23. Galda, L.; Koszela, W.; Pawlus, P. Surface geometry of slide bearings after percussive burnishing. Tribol. Int. 2007, 40, 1516–1525. [Google Scholar] [CrossRef]
  24. Scibner, I.A. Burnishing Tool. U.S. Patent 1,171,146, 8 February 1916. [Google Scholar]
  25. Ecoroll Catalogue. Tools and Solutions for Metal Surface Improvement; Ecoroll Corporation Tool Technology: Milford, OH, USA, 2006. [Google Scholar]
  26. Cagan, S.C.; Tasci, U.; Pruncu, C.I.; Bostan, B. Investigation of the effects of eco-friendly MQL system to improve the me-chanical performance of WE43 magnesium alloys by the burnishing process. J. Braz. Soc. Mech. Sci. Eng. 2023, 45, 22. [Google Scholar] [CrossRef]
  27. Lin, Y.C.; Wang, S.W.; Lai, H.-Y. The relationship between surface roughness and burnishing factor in the burnishing process. Int. J. Adv. Manuf. Technol. 2004, 23, 666–671. [Google Scholar] [CrossRef]
  28. Iwamoto, T.; Tanaka, H.; Yanagi, K. An experimental study on diamond burnishing tool Wear and its lifetime estimation. In Proceedings of the International Conference on Technology of Plasticity ICTP’2011, Aachen, Germany, 25–30 September 2011; pp. 82–86. [Google Scholar]
  29. Korzynsky, M. Slide diamond burnishing. In Nonconventional Finishing Technologies; Korzynski, M., Ed.; Polish Scientific Publishers: Warsaw, Poland, 2013; pp. 9–33. [Google Scholar]
  30. Hull, E.H.; Nerad, A.J. Irregular Diamond Burnishing Tool. U.S. Patent 2,966,722, 3 January 1961. [Google Scholar]
  31. Maximov, J.; Duncheva, G.; Anchev, A.; Dunchev, V.; Anastasov, K.; Argirov, Y. Sustainable Diamond Burnishing of Chro-mium–Nickel Austenitic Stainless Steels: Effects on Surface Integrity and Fatigue Limit. Appl. Sci. 2024, 14, 9031. [Google Scholar] [CrossRef]
  32. Labanowski, J.; Ossowska, A. Influence of burnishing on stress corrosion cracking susceptibility of duplex steel. J. Achiev. Mater. Manuf. Eng. 2006, 19, 46–52. [Google Scholar]
  33. Maximov, J.; Duncheva, G.; Anchev, A.; Dunchev, V.; Argirov, Y.; Nikolova, M. Effects of Heat Treatment and Diamond Burnishing on Fatigue Behaviour and Corrosion Resistance of AISI 304 Austenitic Stainless Steel. Appl. Sci. 2023, 13, 2570. [Google Scholar] [CrossRef]
  34. ISO 6892-1:2019; Metallic Materials—Tensile Testing—Part1: Method of Test at Room Temperature. ISO: Geneva, Switzerland, 2019.
  35. Bulgarian National Standard 5297:1983; Metals. Fatigue Test Methods. Bulgarian Institute for Standardization: Sofia, Bulgaria, 1983. (In Bulgarian)
  36. Maximov, J.T.; Duncheva, G.V.; Anchev, A.P.; Dunchev, V.P.; Argirov, Y.B. Effect of diamond burnishing on fatigue behaviour of AISI 304 cromium-nickel austenitic stainless steel. Materials 2022, 15, 4768. [Google Scholar] [CrossRef] [PubMed]
  37. DIFFRAC. DQUANT, Quantitative Analysis from Calibration to Reporting; Bruker AXS GmbH: Karlsrue, Germany, 2018. [Google Scholar]
Figure 1. Specimen geometry: (a) SI characteristics measurement; (b) tensile tests; (c) fatigue test and (d) fatigue test scheme.
Figure 1. Specimen geometry: (a) SI characteristics measurement; (b) tensile tests; (c) fatigue test and (d) fatigue test scheme.
Coatings 15 00031 g001
Figure 2. Removal from seawater and cleaning of samples.
Figure 2. Removal from seawater and cleaning of samples.
Coatings 15 00031 g002
Figure 3. Tribo-tester: (a) scheme; (b) photo.
Figure 3. Tribo-tester: (a) scheme; (b) photo.
Coatings 15 00031 g003
Figure 4. Flowchart of the study.
Figure 4. Flowchart of the study.
Coatings 15 00031 g004
Figure 5. Mass loss of cylindrical specimens exposed to seawater for up to 746 days: (a,b) periodically washed by sea waves; (c,d) submerged in seawater at a depth of 3.5 m.
Figure 5. Mass loss of cylindrical specimens exposed to seawater for up to 746 days: (a,b) periodically washed by sea waves; (c,d) submerged in seawater at a depth of 3.5 m.
Coatings 15 00031 g005
Figure 6. Impact of seawater on microstructure: (a) turned specimen ((a.1) undercutting pitting), ((a.2) elliptical pitting); (b) diamond burnished specimen.
Figure 6. Impact of seawater on microstructure: (a) turned specimen ((a.1) undercutting pitting), ((a.2) elliptical pitting); (b) diamond burnished specimen.
Coatings 15 00031 g006
Figure 7. Mass loss of cylindrical samples after 505 days in seawater: (a) turned; (b) diamond burnished.
Figure 7. Mass loss of cylindrical samples after 505 days in seawater: (a) turned; (b) diamond burnished.
Coatings 15 00031 g007
Figure 8. Comparison of the roughness (a) and surface microhardness (b) with RC.
Figure 8. Comparison of the roughness (a) and surface microhardness (b) with RC.
Coatings 15 00031 g008
Figure 9. Comparison of residual axial stress distribution with RC.
Figure 9. Comparison of residual axial stress distribution with RC.
Coatings 15 00031 g009
Figure 10. Cleaned specimens after seawater impact: (a) for tensile tests, (a.1) turned, (a.2) turned + diamond burnished; (b) for fatigue tests, (b.1) turned and polished, (b.2) turned and diamond burnished.
Figure 10. Cleaned specimens after seawater impact: (a) for tensile tests, (a.1) turned, (a.2) turned + diamond burnished; (b) for fatigue tests, (b.1) turned and polished, (b.2) turned and diamond burnished.
Coatings 15 00031 g010
Figure 11. Mass loss of tensile test specimens after 505 days in seawater: (a) turned; (b) diamond burnished.
Figure 11. Mass loss of tensile test specimens after 505 days in seawater: (a) turned; (b) diamond burnished.
Coatings 15 00031 g011
Figure 12. Effect of natural seawater on the main mechanical characteristics.
Figure 12. Effect of natural seawater on the main mechanical characteristics.
Coatings 15 00031 g012
Figure 13. Mass loss of fatigue specimens after 505 days in seawater: (a) turned; (b) diamond burnished.
Figure 13. Mass loss of fatigue specimens after 505 days in seawater: (a) turned; (b) diamond burnished.
Coatings 15 00031 g013
Figure 14. Residual axial stresses after 505 days in seawater: (a) surface stresses; (b) residual stress relaxation.
Figure 14. Residual axial stresses after 505 days in seawater: (a) surface stresses; (b) residual stress relaxation.
Coatings 15 00031 g014
Figure 15. S-N dependences.
Figure 15. S-N dependences.
Coatings 15 00031 g015
Figure 16. Fracture surface of the fatigue specimen (after 505 days in seawater) treated via turning and polishing (stress amplitude of 570 MPa; number of cycles to failure: 12,600). (a) in the area around the focus, (b,c) magnified images around the focus.
Figure 16. Fracture surface of the fatigue specimen (after 505 days in seawater) treated via turning and polishing (stress amplitude of 570 MPa; number of cycles to failure: 12,600). (a) in the area around the focus, (b,c) magnified images around the focus.
Coatings 15 00031 g016
Figure 17. Fracture surface of the fatigue specimen (after 505 days in seawater) treated via DB (stress amplitude of 570 MPa; number of cycles to failure: 38,900). (a) in the area around the focus, (bd) magnified images around the focus.
Figure 17. Fracture surface of the fatigue specimen (after 505 days in seawater) treated via DB (stress amplitude of 570 MPa; number of cycles to failure: 38,900). (a) in the area around the focus, (bd) magnified images around the focus.
Coatings 15 00031 g017
Figure 18. Mass loss of wear test specimens after 505 days in seawater: (a) turned; (b) diamond burnished.
Figure 18. Mass loss of wear test specimens after 505 days in seawater: (a) turned; (b) diamond burnished.
Coatings 15 00031 g018
Figure 19. Mass wear results for (a) turned and (b) diamond burnished specimens from sliding wear tests.
Figure 19. Mass wear results for (a) turned and (b) diamond burnished specimens from sliding wear tests.
Coatings 15 00031 g019
Figure 20. Worn surfaces: (a) turned specimen, (a.1) photo of the tribological pair, (a.2) specimen worn surface, (a.3) counter-body worn surface; (b) diamond burnished specimen, (b.1) photo of the tribological pair, (b.2) specimen worn surface, (b.3) counter-body worn surface.
Figure 20. Worn surfaces: (a) turned specimen, (a.1) photo of the tribological pair, (a.2) specimen worn surface, (a.3) counter-body worn surface; (b) diamond burnished specimen, (b.1) photo of the tribological pair, (b.2) specimen worn surface, (b.3) counter-body worn surface.
Coatings 15 00031 g020
Table 1. Designation of the cylindrical specimens.
Table 1. Designation of the cylindrical specimens.
No.DesignationMediumHeat TreatmentDiamond Burnishing
AirSeewaterYesNoYesNo
1AR_A
2AR+DB_A
3HT_A
4HT+DB_A
5AR_S
6AR+DB_S
7HT_S
8HT+DB_S
Note: AR—as-received; A—air; DB—diamond burnishing; HT—heat treatment; S—seewater.
Table 2. Characteristics of the residual stress X-ray measurement.
Table 2. Characteristics of the residual stress X-ray measurement.
Measuring DeviceBruker D8 Advance Diffractometer
X-ray tubeLong focus Cr—Kα
Crystallographic planeFe(γ)—(220)
Diffraction angle (2θ)128.78° (124° … 133°)
Measuring methodOffset coupled TwoTheta/Theta (sin2ψ method)
Scan modeContinuous PSD fast
X-ray detectorSSD160-2 (1D scanning)
Collimator spot sizeStandard Φ1.0 mm
Measurement time for single scanApprox. 35 s
Elastic constant s1 1.352 × 10 6
Elastic constant 1/2s2 6.182 × 10 6
Voltage30 kV
Current40 mA
Step size0.5°
Time for step1 s
Table 3. Chemical composition (in wt %) of the tested AISI 304 steel.
Table 3. Chemical composition (in wt %) of the tested AISI 304 steel.
FeCSiMnPSCrNiMoCuNbTiVWOthers
71.50.0360.1931.520.030.02617.78.30.1820.250.0420.0030.070.05balance
Table 4. Main mechanical characteristics at room temperature of the studied 304 steel in the as-received state.
Table 4. Main mechanical characteristics at room temperature of the studied 304 steel in the as-received state.
Young’s Modulus, GPaYield Limit, MPaUltimate Tensile
Strength, MPa
Elongation, %Percentage Reduction of Area, %
2004327344168.8
Table 5. Major ion content in ppm (‰).
Table 5. Major ion content in ppm (‰).
C l S O 4 H C O 3 C O 3 N a + M g 2 + C a 2 + K + Salt Content, S ‰
9.891.380.160.025.440.480.270.2117.88
Table 6. Errors in residual stress measurement of the cylindrical specimens.
Table 6. Errors in residual stress measurement of the cylindrical specimens.
TurningDepth, mm00.010.030.070.13------
Error, MPa22.428.234.437.223.8------
DBDepth, mm00.010.030.070.140.210.260.310.370.430.48
Error, MPa76.331.029.036.445.931.130.336.716.036.030.7
Table 7. Main mechanical characteristics.
Table 7. Main mechanical characteristics.
Specimen GroupYield Limit, MPaTensile Strength, MPaElongation, %
RC 432 ± 2.5 734 + 5 1 41 + 0.9 0.8
Turned 447 + 6 4 701 + 7 3 34.7 + 3.9 3.2
Diamond burnished 442 + 8 15 731 + 10 8 36.6 + 2.3 1.4
Table 8. Errors in residual stress measurement of the fatigue specimens.
Table 8. Errors in residual stress measurement of the fatigue specimens.
Specimen NumberII-0II-1II-2II-3II-4II-5II-6II-7II-8II-9
Error, MPa50.345.746.050.326.544.169.025.536.269.9
Disclaimer/Publisher’s Note: The statements, opinions and data contained in all publications are solely those of the individual author(s) and contributor(s) and not of MDPI and/or the editor(s). MDPI and/or the editor(s) disclaim responsibility for any injury to people or property resulting from any ideas, methods, instructions or products referred to in the content.

Share and Cite

MDPI and ACS Style

Argirov, Y.; Maximov, J.; Duncheva, G.; Anchev, A.; Dunchev, V.; Mechkarova, T. Evolution of Surface Integrity Characteristics and Mechanical Behavior of Diamond Burnished and Turned AISI 304 Steel Specimens After Prolonged Exposure to Natural Seawater. Coatings 2025, 15, 31. https://doi.org/10.3390/coatings15010031

AMA Style

Argirov Y, Maximov J, Duncheva G, Anchev A, Dunchev V, Mechkarova T. Evolution of Surface Integrity Characteristics and Mechanical Behavior of Diamond Burnished and Turned AISI 304 Steel Specimens After Prolonged Exposure to Natural Seawater. Coatings. 2025; 15(1):31. https://doi.org/10.3390/coatings15010031

Chicago/Turabian Style

Argirov, Yaroslav, Jordan Maximov, Galya Duncheva, Angel Anchev, Vladimir Dunchev, and Tatyana Mechkarova. 2025. "Evolution of Surface Integrity Characteristics and Mechanical Behavior of Diamond Burnished and Turned AISI 304 Steel Specimens After Prolonged Exposure to Natural Seawater" Coatings 15, no. 1: 31. https://doi.org/10.3390/coatings15010031

APA Style

Argirov, Y., Maximov, J., Duncheva, G., Anchev, A., Dunchev, V., & Mechkarova, T. (2025). Evolution of Surface Integrity Characteristics and Mechanical Behavior of Diamond Burnished and Turned AISI 304 Steel Specimens After Prolonged Exposure to Natural Seawater. Coatings, 15(1), 31. https://doi.org/10.3390/coatings15010031

Note that from the first issue of 2016, this journal uses article numbers instead of page numbers. See further details here.

Article Metrics

Back to TopTop