Elevated Temperature Tribological Behavior of Duplex Layer CrN/DLC and Nano Multilayer DLC-W Coatings Deposited on Carburized and Hardened 16MnCr5 Steel
Abstract
1. Introduction
2. Materials and Methods
2.1. Coating Deposition
2.2. Coatings Characterization
2.3. Reciprocating Wear Test
2.4. Wear Analysis
3. Results and Discussion
3.1. Tribological Behavior of CrN/DLC and DLC-W Coating
3.1.1. Coefficients of Friction and Wear Rates of Substrate and Coatings
3.1.2. D Profilometry
3.1.3. Wear Mechanisms and Surfaces Analysis at Various Temperature
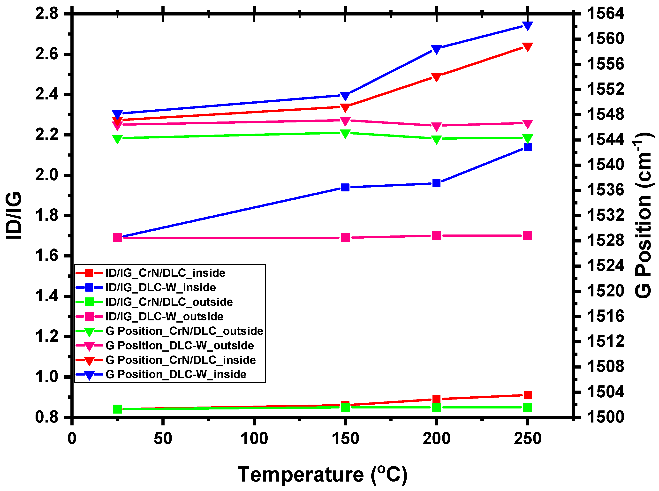
Raman Analysis of the Wear Track
Mechanical Properties of the Wear Track
4. Conclusions
- -
- The CrN/DLC coating showed the lowest wear rates during the sliding reciprocating tests at 25 °C. Increasing the testing temperature leads to an increase in friction coefficient. However, CrN/DLC COFs remained the lowest compared to DLC-W and uncoated valve tappet at all temperatures.
- -
- The DLC-W coating showed low wear rates at 25 °C and 150 °C. However, at 200 °C and 250 °C, the wear rate strongly increased due to the total removal of the coatings from the substrate, thereby exposing the tappet valve to direct contact with the sliding ball.
- -
- The uncoated valve tappet showed the highest wear rate at all temperatures and increased significantly with increasing temperature.
- -
- The results revealed that deposition of CrN/DLC and DLC-W improved the tribological performance of the discs at all temperatures.
- -
- The structural and mechanical properties of both CrN/DLC and DLC-W coatings reduced as the temperature increased.
- -
- The use of a multilayer DLC-W coating for tribological applications at elevated temperatures is unsuitable because it was quickly consumed, even during SRV testing at 150 °C.
Author Contributions
Funding
Institutional Review Board Statement
Informed Consent Statement
Data Availability Statement
Acknowledgments
Conflicts of Interest
References
- Holmberg, K.; Andersson, P.; Erdemir, A. Global energy consumption due to friction in passenger cars. Tribol. Int. 2012, 47, 221–234. [Google Scholar] [CrossRef]
- Erdemir, A.; Fenske, G.R. Tribological performance of diamond and diamond-like carbon films at elevated temperatures. Tribol. Trans. 1996, 39, 787–794. [Google Scholar] [CrossRef]
- Erdemir, A.; Donnet, C. Tribology of diamond-like carbon films: Recent progress and future prospects. J. Phys. D Appl. Phys. 2006, 39, 18. [Google Scholar] [CrossRef]
- Robertson, J. Diamond-like amorphous carbon. Mater. Sci. Eng. R Rep. 2002, 37, 129–281. [Google Scholar] [CrossRef]
- Dearnley, P.A.; Neville, A.; Turner, S.; Scheibe, H.J.; Tietema, R.; Tap, R.; Stuber, M.; Hovsepian, P.; Layyous, A.; Stenbom, B. Coatings tribology drivers for high density plasma technologies. Surf. Eng. 2010, 26, 80–96. [Google Scholar] [CrossRef]
- Kolawole, F.O.; Kolade, O.S.; Bello, S.A.; Kolawole, S.K.; Ayeni, A.T.; Elijah, T.F.; Borisade, S.G.; Tschiptschin, A.P. The improvement of diamond-like carbon coatings for tribological and tribo-corrosion applications in automobile engines: An updated review study. Int. J. Adv. Manuf. Technol. 2023, 126, 2295–2322. [Google Scholar] [CrossRef]
- Kolawole, F.O. Mechanical and Temperature-Dependent Tribological Behavior of CrN/DLC and Multilayer DLC-W Coatings for Automobile Engine Applications. Ph.D. Thesis, University of Sao Paulo, São Paulo, Brazil, November 2022. [Google Scholar]
- Kolawole, F.O.; Varela, L.B.; Kolawole, S.K.; Ramirez, M.A.; Tschiptschin, A.P. Deposition and characterization of tungsten oxide (WO3) nanoparticles incorporated diamond-like carbon coatings using pulsed-DC PECVD. Mater. Lett. 2021, 282, 1–4. [Google Scholar] [CrossRef]
- Kolawole, F.O.; Ramirez, M.A.; Kolawole, S.K.; Varela, L.B.; Tschiptschin, A.P. Deposition and characterization of molybdenum oxide (MoO3) nanoparticles incorporated diamond-like carbon coatings using pulsed-DC PECVD. Mater. Lett. 2020, 278, 1–4. [Google Scholar] [CrossRef]
- Borges, C.F.M.; Pfender, E.; Heberlein, J. Influence of nitrided and carbonitrided interlayers on enchanced nucleation of diamond on stainless steel 304. Diam. Relat. Mater. 2021, 10, 1983–1990. [Google Scholar] [CrossRef]
- Abdullah, T.H.; Wakayama, M.; Tokoroyama, T.; Kousaka, H.; Umehara, N.; Mabuchi, Y.; Higuchi, T. The effect of oil temperature and additive concentration on the wear of non-hydrogenated DLC coating. Tribol. Int. 2014, 77, 65–71. [Google Scholar] [CrossRef]
- Podgornik, B.; Jacobson, S.; Hogmark, S. DLC coating of boundary lubricated components—Advantages of coating one of the contact surfaces rather than both or none. Tribol. Int. 2003, 36, 843–849. [Google Scholar] [CrossRef]
- Bujak, J.; Michalczewski, R. Characterization and properties of low-friction, multilayered Cr-doped diamond-like carbon coatings prepared by pulse biased filtered cathodic arc deposition. Pr°C. Inst. Mech. Eng. Part J J. Eng. Tribol. 2011, 225, 875–882. [Google Scholar] [CrossRef]
- Lukaszkowicz, K.; Paradecka, A.; Wiśniewska, J. Structure and properties of CrN/DLC coating deposited by PVD ARC-cathodes and PACVD technology. Arch. Mater. Sci. Eng. 2013, 64, 40–44. [Google Scholar]
- Mulligan, C.P.; Senick, M.; Schmidt, D.P.; Khominich, V.; Gay, Z.; Bell, D. CrN, CrN/SiC, and CrN/DLC coatings deposited by a novel arc plasma acceleration pr°Cess: Pr°Cessing and properties. Mater. Manuf. Process. 2014, 29, 1037–1043. [Google Scholar] [CrossRef]
- Conde, F.F.; Ávila Diaz, J.A.; Da Silva, G.F.; Tschiptschin, A.P. Dependence of wear and mechanical behavior of nitr°Carburized/CrN/DlC layer on film thickness. Mater. Res. 2019, 22, 1–10. [Google Scholar] [CrossRef]
- Mobarak, H.M.; Chowdhury, M. Tribological performance of hydrogenated amorphous carbon (a-C: H) DLC coating when lubricated with biodegradable vegetal canola oil. Tribol. Ind. 2014, 36, 163–171. [Google Scholar]
- Nakao, S.; Kimura, T.; Suyama, T.; Azuma, K. Conductive diamond-like carbon films prepared by high power pulsed magnetron sputtering with bipolar type plasma based ion implantation system. Diam. Relat. Mater. 2017, 77, 122–130. [Google Scholar] [CrossRef]
- Evaristo, M.; Fernandes, F.; Cavaleiro, A. Room and High Temperature Tribological Behaviour of W-DLC Coatings Produced by DCMS and Hybrid DCMS-HiPIMS Configuration. Coatings 2020, 10, 319. [Google Scholar] [CrossRef]
- Takeno, T.; Miki, H.; Sugawara, T.; Hoshi, Y.; Takagi, T. A DLC/W-DLC multilayered structure for strain sensing applications. Diam. Relat. Mater. 2008, 17, 713–716. [Google Scholar] [CrossRef]
- Takeno, T.; Komiyama, T.; Miki, H.; Takagi, T.; Aoyama, T. XPS and TEM study of W-DLC/DLC double-layered film. Thin Solid Films 2009, 517, 5010–5013. [Google Scholar] [CrossRef]
- Bai, M.; Yang, L.; Li, J.; Luo, L.; Sun, S.; Inkson, B. Mechanical and tribological properties of Si and W doped diamond like carbon (DLC) under dry Reciprocatingsliding conditions. Wear 2021, 484–485, 204046. [Google Scholar] [CrossRef]
- Kolawole, F.O.; Santos, M.D.; Kolawole, S.K.; Vencovsky, P.K.; Ludewigs, D.A.; Tschiptschin, A.P. Nano-Scratch and Micro-Scratch Properties of CrN/DLC and DLC-W Coatings. Mater. Perform. Charact. 2023, 12, 320–340. [Google Scholar] [CrossRef]
- Becker, J.; Colas, M.; Gies, A.; Hessel, S.; Karner, H.; Seibert, F.; Stelzig, T. Thermal effects influencing stability and performance of coatings in automotive applications. Surf. Coat. Technol. 2015, 284, 166–172. [Google Scholar] [CrossRef]
- Liu, Z.; Yue, W.; Wang, S.; Fu, Z.; Wang, C.; Liu, J. Preparation and Characterization of Sulfurized Tungsten Doped Non-hydrogenated Diamond-Like Carbon Films. Plasma Chem. Plasma Process. 2015, 35, 769–783. [Google Scholar] [CrossRef]
- Banerji, A.; Bhowmick, S.; Alpas, A.T. High temperature tribological behavior of W containing diamond-like carbon (DLC) coating against titanium alloys. Surf. Coat. Technol. 2014, 241, 93–104. [Google Scholar] [CrossRef]
- Le Huu, T.; Zaidi, H.; Paulmier, D.; Voumard, P. Transformation of sp3 to sp2 sites of diamond like carbon coatings during friction in vacuum and under water vapour environment. Thin Solid Film 1996, 290–291, 126–130. [Google Scholar] [CrossRef]
- Bhowmick, S.; Banerji, A.; Alpas, A.T. Tribological behaviour of W-DLC against an aluminium alloy subjected to lubricated sliding. Tribol. Ind. 2015, 37, 277–283. [Google Scholar]
- Cao, L.; Liu, J.; Wan, Y.; Pu, J. Corrosion and trib°Corrosion behavior of W doped DLC coating in artificial seawater. Diam. Relat. Mater. 2020, 109, 108019. [Google Scholar] [CrossRef]
- Czyzniewski, A.; Gulbinski, W.; Radnóczi, G.; Szerencsi, M.; Pancielejko, M. Microstructure and mechanical properties of W-C:H coatings deposited by pulsed reactive magnetron sputtering. Surf. Coat. Technol. 2011, 205, 4471–4479. [Google Scholar] [CrossRef]
- Hovsepian, P.E.; Mandal, P.; Ehiasarian, A.P.; Sáfrán, G.; Tietema, R.; Doerwald, D. Friction and wear behaviour of Mo-W doped carbon-based coating during boundary lubricated sliding. Appl. Surf. Sci. 2016, 366, 260–274. [Google Scholar] [CrossRef]
- Takeno, T.; Sugawara, T.; Miki, H.; Takagi, T. Deposition of DLC film with adhesive W-DLC layer on stainless steel and its tribological properties. Diam. Relat. Mater. 2009, 18, 1023–1027. [Google Scholar] [CrossRef]
- Arslan, A.; Masjuki, H.H.; Quazi, M.M.; Kalam, M.A.; Varman, M.; Jamshaid, M.; Ashrafur Rahman, S.M.; Imran, M.; Zulfattah, Z.M.; Anwar, M.T.; et al. Experimental investigation of tribological properties of laser textured tungsten doped diamond like carbon coating under dry sliding conditions at various loads. Mater. Res. Express. 2019, 6, 106444. [Google Scholar] [CrossRef]
- Müller, I.C.; Sharp, J.; Rainforth, W.M.; Hovsepian, P.; Ehiasarian, A. Tribological response and characterization of Mo–W doped DLC coating. Wear 2017, 376–377, 1622–1629. [Google Scholar] [CrossRef]
- Konca, E.; Cheng, Y.T.; Weiner, A.M.; Dasch, J.M.; Alpas, A.T. Elevated temperature tribological behavior of non-hydrogenated diamond-like carbon coatings against 319 aluminum alloy. Surf. Coat. Technol. 2006, 200, 3996–4005. [Google Scholar] [CrossRef]
- Pu, J.; He, D.; Wang, L. Effects of WC phase contents on the microstructure, mechanical properties and tribological behaviors of WC/a-C superlattice coatings. Appl. Surf. Sci. 2015, 357, 2039–2047. [Google Scholar] [CrossRef]
- Cavaleiro, A.; De Hosson, J.T.M. Nanostructured Coatings; Springer Publishing: New York, NY, USA, 2006. [Google Scholar]
- Yang, F.; Yang, S.Y.; Chang, X.X.; Yang, W.F.; Song, R.G.; Zheng, X.H. Microstructure and properties of DLC/CNx films with different CNx sublayer thicknesses. Surf. Coat. Technol. 2019, 374, 418–423. [Google Scholar] [CrossRef]
- Guha, S.; Das, S.; Bandyopadhyay, A.; Das, S.; Swain, B.P. Investigation of mechanical properties of CVD grown titanium silicon nitride thin films under reduced atmosphere. Appl. Phys. A 2018, 124, 1–8. [Google Scholar] [CrossRef]
- Leyland, A.; Matthews, A. On the significance of the H/E ratio in wear control: A nanocomposite coating approach to optimised tribological behaviour. Wear 2000, 246, 1–11. [Google Scholar] [CrossRef]


















| Sample Designation | CrN/DLC | DLC-W |
|---|---|---|
| Power applied on CrN deposition | 15,000 W | |
| Power applied on microwave Guns | 3000 W | |
| Power applied on sputtering | 17,000 W | |
| Plasma etching | substrate bias 150 V, 150 kHz, and Airflow 100 sccm | substrate bias 150 V, 150 kHz, and Airflow 110 sccm |
| Frequency | 150 kHz | 150 kHz |
| Air flow rate | 110 sccm | 300 sccm |
| N2 flow rate | 300 sccm | |
| C2H2 flow rate | 1400 | 600 |
| Bias | Cr/CrN—150 V DLC—330 V | WC—150 DLC-W—100 |
| Coating thickness | Cr—0.35 µm CrN—0.75 µm DLC—1.85 µm | WC—0.58 µm DLC-W—6 µm |
| Chemical composition (at. %) | C—97 (at. %) Cr—2.5 (at. %) N—0.5 (at. %) O—1 (at. %) | C—31 (at. %) W—65 (at. %) O—4 (at. %) |
| Hardness | 18.85 ± 0.42 GPa | 9.88 ± 1.76 GPa |
| Elastic modulus | 154.93 ± 3.21 GPa | 101.94 ± 8.13 GPa |
| Elastic strain to failure—H/E | 0.122 ± 0.001 | 0.097 ± 0.005 |
| Plastic deformation—H3/E2 | 0.279 ± 0.001 GPa | 0.093 ± 0.002 GPa |
| Elastic recovery | 71.04 % | 67.12 % |
| Coating | Uncoated | CrN/DLC | DLC-W | |||
|---|---|---|---|---|---|---|
| Temperature | COF | Wear Rate (mm3/Nm) | COF | Wear Rate (mm3/Nm) | COF | Wear Rate (mm3/Nm) |
| 25 °C | 0.83 | 5.9 × 10−5 | 0.18 | 0.5 × 10−5 | 0.28 | 0.6 × 10−5 |
| 150 °C | 1.03 | 15.0 × 10−5 | 0.27 | 1.8 × 10−5 | 0.39 | 3.6 × 10−5 |
| 200 °C | 1.05 | 25.0 × 10−5 | 0.35 | 2.8 × 10−5 | 0.53 | 20.5 × 10−5 |
| 250 °C | 1.37 | 35.0 × 10−5 | 0.47 | 6.2 × 10−5 | 0.69 | 23.0 × 10−5 |
Disclaimer/Publisher’s Note: The statements, opinions and data contained in all publications are solely those of the individual author(s) and contributor(s) and not of MDPI and/or the editor(s). MDPI and/or the editor(s) disclaim responsibility for any injury to people or property resulting from any ideas, methods, instructions or products referred to in the content. |
© 2024 by the authors. Licensee MDPI, Basel, Switzerland. This article is an open access article distributed under the terms and conditions of the Creative Commons Attribution (CC BY) license (https://creativecommons.org/licenses/by/4.0/).
Share and Cite
Kolawole, F.O.; Kolawole, S.K.; Fukumasu, N.K.; Varela, L.B.; Vencovsky, P.K.; Ludewigs, D.A.; de Souza, R.M.; Tschiptschin, A.P. Elevated Temperature Tribological Behavior of Duplex Layer CrN/DLC and Nano Multilayer DLC-W Coatings Deposited on Carburized and Hardened 16MnCr5 Steel. Coatings 2024, 14, 1197. https://doi.org/10.3390/coatings14091197
Kolawole FO, Kolawole SK, Fukumasu NK, Varela LB, Vencovsky PK, Ludewigs DA, de Souza RM, Tschiptschin AP. Elevated Temperature Tribological Behavior of Duplex Layer CrN/DLC and Nano Multilayer DLC-W Coatings Deposited on Carburized and Hardened 16MnCr5 Steel. Coatings. 2024; 14(9):1197. https://doi.org/10.3390/coatings14091197
Chicago/Turabian StyleKolawole, Funsho Olaitan, Shola Kolade Kolawole, Newton Kiyoshi Fukumasu, Luis Bernardo Varela, Paulo Konrad Vencovsky, Danilo Assad Ludewigs, Roberto Martins de Souza, and André Paulo Tschiptschin. 2024. "Elevated Temperature Tribological Behavior of Duplex Layer CrN/DLC and Nano Multilayer DLC-W Coatings Deposited on Carburized and Hardened 16MnCr5 Steel" Coatings 14, no. 9: 1197. https://doi.org/10.3390/coatings14091197
APA StyleKolawole, F. O., Kolawole, S. K., Fukumasu, N. K., Varela, L. B., Vencovsky, P. K., Ludewigs, D. A., de Souza, R. M., & Tschiptschin, A. P. (2024). Elevated Temperature Tribological Behavior of Duplex Layer CrN/DLC and Nano Multilayer DLC-W Coatings Deposited on Carburized and Hardened 16MnCr5 Steel. Coatings, 14(9), 1197. https://doi.org/10.3390/coatings14091197

