The Origin of Ko-Kutani Porcelain: New Discoveries and a Reassessment
Abstract
1. Introduction
2. Materials and Method
2.1. Analyzed Porcelains and Ceramics
2.2. XRF Spectrometer: Methodological Approach, Experimental and Measurement Parameters
3. Results and Discussion
3.1. The Early Period (1648–1650)
3.1.1. KO-KUTANI MASTERPIECES—The Ishikawa Prefectural Museum of Art Collection
Overglaze Blue—The Smalt Connection


Overglaze Green—The Cu-Zn-As Connection



Glaze


Movement of Potters, Technological Transfer and Design Development
3.1.2. Nonomura Ninsei: Early Materials and Techniques (1648–1650)—Connections and Influences in Kaga (1640s)

Overglaze Blue—The Smalt Connection


Notable Features: Blue Enamel
Overglaze Green—The Cu-Zn Connection



Notable Matches: Green Enamel and Pigment



Gold Paint Application on Ceramics: Nonomura Ninsei’s Groundbreaking Innovation


3.2. The Middle Period (1650–1651)
3.2.1. KO-KUTANI MASTERPIECES—The Middle Period and the Proto-Aode Style (1650–1651)
Materials and Techniques
Shallow Bowl with Scattered Treasures and Heron Design (1650–1651)

Shallow Bowl with Quail Design (1650–1651)

Shallow Bowl with Paving Stone Pattern (1650–1651)



Shallow Bowl with Design of Peonies in Overglaze Enamels (Iro-e Botan) (1650–1651)

Shallow Bowl with Design of Flowers and Bird Inside Jar (1650–1651)

Shallow Bowl with Design of Stream and Mandarin Duck (1650–1651)



Shallow Bowl with Design of Scattered Flowers and Twin Birds (1650–1651)


Shallow Bowl with Design of Karuta and Cranes (1650–1651)


Shallow Bowl with Design of Old Tree and White Cloud (1650–1651)


3.3. The Late Period (1651–1655)
3.3.1. KO-KUTANI MASTERPIECES—The Late Period and the Full Aode Style (1651–1655)
Early Motifs and Materials
Shallow Bowl with Design of Shochikubai (1651)


Shallow Bowl with Design of Peony (1651–1652)

Shallow Bowl with Design of Aged Pine Tree (1651–1652)

Shallow Bowl with Design of Pine Tree and Peacock (1652)


Shallow Bowl with Design of Chestnuts and Waves (1652–1653)

Shallow Bowl with Design of Scattered Cherry Blossoms (1653–1654)


Shallow Bowl with Design of Grapevine (1653–1654)
Shallow Bowl with Design of Jumokuzu (Big Tree) (1654–1655)



3.4. Summary of the Results


3.4.1. Blue Enamel: Co/Ni Ratio
3.4.2. Green Enamel: Cu/Zn Ratio
3.5. Summary of Visual and Design Characteristics
3.5.1. The Inception of the Proto-Aode and Full-Aode Decorations: Western-Style Painting on Porcelain

3.5.2. Western-Style Painting on Porcelain: Its Transfer to the Yanbeta Kiln in Arita


3.6. KO-KUTANI SHARDS—Ishikawa Prefecture Archaeological Foundation: Styles and Materials

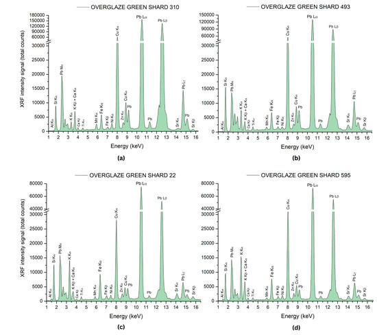
3.6.1. KO-KUTANI SHARDS—Overglaze Green—The Cu-Zn Connection


3.6.2. KO-KUTANI SHARDS—Overglaze Blue—The Smalt Connection

3.6.3. KO-KUTANI SHARDS—Yellow Enamel


3.7. KO-KUTANI SHARDS—Glazes
3.7.1. Glazes—Initial Experimentation and the Early Period (1648–1650)

3.7.2. Glazes—The Transition from the Early Period to the Middle and Late Periods

3.8. KO-KUTANI SHARDS—Bodies


4. Conclusions
Author Contributions
Funding
Institutional Review Board Statement
Informed Consent Statement
Data Availability Statement
Acknowledgments
Conflicts of Interest
References
- Metropolitan Museum of Art. The Arts of Japan: An International Symposium; The Metropolitan Museum of Art: New York, NY, USA, 2000; pp. 182–209. [Google Scholar]
- Jenyns, S. Japanese Porcelain; Faber and Faber: London, UK, 1965. [Google Scholar]
- Shimazaki, S. Kutani Ware. In Nihon tōji zenshū (Survey of Japanese Ceramics); Chuokoronsha: Tokyo, Japan, 1976; Volume 26. [Google Scholar]
- Galli, A.; Bonizzoni, L. Contribution of X-ray Fluorescence Techniques in Cultural Heritage Materials Characterization. Appl. Sci. 2022, 12, 6309. [Google Scholar] [CrossRef]
- Cesareo, R.; Rizzutto, M.A.; Brunetti, A.; Rao, D.V. Metal location and thickness in a multilayered sheet by measuring Kα/Kβ, Lα/Lβ and Lα/Lγ X-ray ratios. Nucl. Instrum. Methods Phys. Res. Sect. B 2009, 267, 2890–2896. [Google Scholar] [CrossRef]
- Trojek, T.; Cechák, T.; Musílek, L. Recognition of pigment layers in illuminated manuscripts by means Kα/Kβ, Lα/Lβ ratio. Appl. Radiat. Isot. 2010, 68, 871–874. [Google Scholar] [CrossRef] [PubMed]
- Montanari, R.; Colomban, P.; Alberghina, M.F.; Schiavone, S.; Pelosi, C. European Smalt in 17th-century Japan: Porcelain decoration and Sacred Art. Heritage 2024, 7, 3080–3094. [Google Scholar] [CrossRef]
- Montanari, R.; Murakami, N.; Alberghina, M.F.; Pelosi, C.; Schiavone, S. The Origin of overglaze-blue enameling in Japan: New discoveries and a reassessment. J. Cult. Heritage 2019, 37, 94–102. [Google Scholar] [CrossRef]
- Montanari, R.; Murakami, N.; Colomban, P.; Alberghina, M.F.; Pelosi, C.; Schiavone, S. European ceramic technology in the Far East: Enamels and pigments in Japanese art from the 16th to the 20th century and their reverse influence on China. Heritage Sci. 2020, 8, 48. [Google Scholar] [CrossRef]
- Muhlethaler, B.; Thissena, J. Smalt. In Artists’ Pigments: A Handbook of Their History and Characteristics; Roy, A., Ed.; Archetype Publications, National Gallery of Art: London, UK, 1993; Volume 2, pp. 113–130. [Google Scholar]
- Ciliberto, E.; Fragalà, I.; Pennisi, G.; Spoto, G. Bulk and surface characterization of early pigments. Case Study A Renaiss. Smalt. Sci. Technol. Cult. Herit. 1994, 3, 163–168. [Google Scholar]
- Förster, J. Kobaltbergbau und Blaufarbenindustrie im sächsischen Erzgebirge (Cobalt Mining and Cobalt Blue Industries in the Saxon Erzgebirge). Master’s Thesis, Technische Universität Dresden, Dresden, Germany, 2018. [Google Scholar]
- Wypyski, M.T. Technical Study of Renaissance Venetian Enameled Glass. In Proceedings of the Annales of the 17th Congress of the International Association for the History of Glass, Antwerp, Belgium, 4–8 September 2006. [Google Scholar]
- Padeletti, G.; Fermo, P.; Gilardoni, S.; Galli, A. Technological study of ancient ceramics produced in Casteldurante (central Italy) during the Renaissance. Appl. Phys. A 2004, 79, 335–339. [Google Scholar] [CrossRef]
- Bajnóczi, B.; Nagy, G.; Tóth, M.; Ringer, I.; Ridovics, A. Archaeometric characterization of 17th-century tin-glazed Anabaptist (Hutterite) faience artefacts from North-East-Hungary. J. Arch. Sci. 2014, 45, 1–14. [Google Scholar] [CrossRef]
- Barilaro, D.; Crupi, V.; Interdonato, S.; Majolino, D.; Venuti, V.; Barone, G.; La Russa, M.F.; Bardelli, F. Characterization of blue decorated Renaissance pottery fragments from Caltagirone (Sicily, Italy). Appl. Phys. A 2008, 92, 91–96. [Google Scholar] [CrossRef]
- Padeletti, G.; Ingo, G.M.; Bouquillon, A.; Pages-Camagna, S.; Aucouturier, M.; Roehrs, S.; Fermo, P. First-time observation of Maestro Giorgio masterpieces by means of non-destructive techniques. Appl. Phys. A 2006, 83, 475–483. [Google Scholar] [CrossRef]
- Roldán, C.; Coll, J.; Ferrero, J. EDXRF analysis of blue pigments used in Valencian ceramics from the 14th century to modern times. J. Cult. Heritage 2006, 7, 134–138. [Google Scholar] [CrossRef]
- Maggetti, M. A SEM study of black, blue, violet and yellow inglaze colours of the oldest Swiss tin opacified stove tiles (c. 1450–c. 1512, Canton Bern). Archaeometry 2021, 63, 721–737. [Google Scholar] [CrossRef]
- Wen, R. The Cobalt Blue Pigment Used on Islamic Ceramics and Chinese Blue-and-White Porcelains. Ph.D. Thesis, University of Oxford, Oxford, UK, 2012. [Google Scholar]
- Zucchiatti, A.; Bouquillon, A.; Katona, I.; D’Alessandro, A. The ‘Della Robbia Blue’: A case study for the use of cobalt pigments in ceramics during the Italian Renaissance. Archaeometry 2006, 48, 131–152. [Google Scholar] [CrossRef]
- Takamatsu, T. On Japanese Pigments; Department of Science in Tokio Daigaku: Tokyo, Japan, 1878; pp. 23–29. [Google Scholar]
- Berrie, B.H.; Leona, M.; McLaughlin, R. Unusual pigments found in a painting by Giotto (c. 1266–1337) reveal diversity of materials used by medieval artists. Herit. Sci. 2016, 4, 1. [Google Scholar] [CrossRef]
- Hayakawa, Y.; Shirono, S. Report on an Optical Study of “Western Kings on Horseback Screens”; Tokyo National Research Institute for Cultural Properties: Tokyo, Japan, 2015. (In Japanese)
- Colomban, P.; Kırmızı, B.; Simsek Franci, G. Cobalt and Associated Impurities in Blue (and Green) Glass, Glaze and Enamel: Relationships between Raw Materials, Processing, Composition, Phases and International Trade. Minerals 2021, 11, 633. [Google Scholar] [CrossRef]
- Impey, O. The Early Porcelain Kilns of Japan; Clarendon Press: Oxford, UK, 1996. [Google Scholar]
- Montanari, R.; Nobuyuki, M.; De Bonis, A.; Colomban, P.; Alberghina, M.F.; Grifa, C.; Izzo, F.; Morra, V.; Pelosi, C.; Schiavone, S. The early porcelain kilns of Arita: Identification of raw materials and their use from the 17th to the 19th century. Open Ceram. 2022, 9, 100217. [Google Scholar] [CrossRef]
- Nishida, H. Japanese Export Porcelain During the 17th and 18th Century. Ph.D. Thesis, Oxford University, Oxford, UK, 1974. [Google Scholar]
- 有田町教育委員会. 山辺田遺跡発掘調査概要報告書; Yanbeta kiln-excavation report; Arita-cho Board of Education: Arita, Japan, 2015. (In Japanese) [Google Scholar]
- 有田町教育委員会. 国指定史跡山辺田窯跡に関わる陶磁器生産工房跡の発掘調査報告書発行; Yanbeta Kiln-excavation report; 有田町教育委員会: Arita, Japan, 2017. (In Japanese) [Google Scholar]
- 日本放送出版協会. NHK 歴史ドキュメント6; 日本放送出版協会: Tokyo, Japan, 1987; pp. 18–54. (In Japanese) [Google Scholar]
- Murase, H. New perspective on origin of Ko Kutani, from Iconological Analysis of m.f.a. Boston’s collection. In Bulletin of the Kutaniyaki Art Museum, “Pioneering Kutani” (Kutani wo Hiraku); Kutaniyaki Art Museum: Kaga, Japan, 2022; Volume 5. [Google Scholar]
- Montanari, R.; Alberghina, M.F.; Schiavone, S.; Pelosi, C. The Jesuit painting Seminario in Japan: European Renaissance technology and its influence on Far Eastern Art. X-ray Spect. 2022, 51, 64–85. [Google Scholar] [CrossRef]
- Montanari, R. The Art of the Jesuit Mission in 16th-Century Japan: The Italian Painter Giovanni Cola and the Technological Transfer at the Painting Seminario in Arie. Eikón Imago 2022, 11, 119–127. [Google Scholar] [CrossRef]
- Iida, M. Kaga-Maeda’s Inventory of Property, 1846. Kokushokankokai: Tokyo, Japan, 1978; ID (NCID) BN02761535. (In Japanese) [Google Scholar]
- Murase, H. The Aesthetics of the Ushin ‘suggestiveness and fascinating style’: The Connection between the National Treasure “Incense Burner in the shape of Pheasant” by Nonomura Ninsei and Ko-Kutani” (in Japanese). In Bulletin of the Kutaniyaki Art Museum, “Pioneering Kutani” (Kutani wo Hiraku); Kutaniyaki Art Museum: Kaga, Japan, 2021; Volume 4. [Google Scholar]
- Gratuze, B.; Soulier, I.; Blet, M.; Vallauri, L. De l’origine du cobalt: Du verre à la céramique‘. Rev. D’archéométrie 1996, 20, 77–94. [Google Scholar] [CrossRef]
- Gratuze, B. Provenance analysis of glass artefacts. Ch. 5.1. In Modern Methods for Analysing Archaeological and Historical Glass. 2 Volumes; Janssens, K., Ed.; John Wiley and Sons Ltd.: Chichester, UK, 2013; pp. 311–343. [Google Scholar]
- Sandu, I.C.A.; de Sá, M.H.; Pereira, M.C. Ancient ‘gilded’ art objects from European cultural heritage: A review on different scales of characterization. Surf. Interface Anal. 2011, 43, 1134–1151. [Google Scholar] [CrossRef]
- Matteini, M. The Gilding Techniques in the Ancient Sacred Art. In Kermes Quaderni; Cuzman, O.A., Manganelli Del Fà, R., Tiano, P., Eds.; Nardini Editore: Florence, Italy, 2014; pp. 5–8. [Google Scholar]
- Sandu, I.C.A.; Afonso, L.U.; Murta, E.; de Sá, M.H. Gilding Techniques in Religious Art Between East and West, 14th–18th Centuries. Int. J. Conserv. Sci. 2010, 1, 47–62. [Google Scholar]
- Pombo Cardoso, I.; Pye, E. Preparing the foundation for stable gilding: Baroque craftsmen’s empirical understanding of gesso gilding grounds. J. Archaeol. Sci. 2017, 79, 96–106. [Google Scholar] [CrossRef]
- Hradil, D.; Hradilova, J.; Bezdicka, J.; Serendan, C. Late Gothic/early Renaissance gilding technology and the traditional poliment material “Armenian bole”: Truly red clay, or rather bauxite? Appl. Clay Sci. 2017, 135, 271–281. [Google Scholar] [CrossRef]
- Eveno, M.; Ravaud, E.; Calligaro, T.; Pichon, L.; Laval, E. The Louvre Crucifix by Giotto—Unveiling the original decoration by 2D-XRF, X-ray radiography, Emissiography and SEM-EDX analysis. Herit. Sci. 2014, 2, 17. [Google Scholar] [CrossRef]
- Shimoyama, S.; Noda, Y. Portable X-Ray Fluorescence spectrometer containing low-level radioisotope and its application to the non-destructive analysis of inorganic colorants used for the traditional Japanese votive picture. Bunseki Kagaku 2000, 49, 1015–1021. (In Japanese) [Google Scholar] [CrossRef]
- Magurn, B.W. Daitoku Myō-Ō a Japanese Buddhist Deity. Bull. Fogg Art Mus. 1942, 10, 14–23. [Google Scholar]
- Murase, H. Conservation and Restoration of Cultural Property in Kaga: From the Edo Period to the Establishment of Conservation Workshops. Catalogue of the Exhibition “Restored Cultural Assets”; Ishikawa Prefectural Museum of Art: Kanazawa, Japan, 2024. [Google Scholar]
- Impey, O. Kakiemon. In Transaction of the Oriental Ceramic Society; Oriental Ceramic Society: London, UK, 2003–2004; Volume 68, pp. 1–14. [Google Scholar]
- Ohashi, K. Archaeological research on the origins of overglaze enamel porcelain in Japan—focusing on excavations reports from the Yanbeta site. 東洋陶磁 2017–2018, 47, 35–62, (In Japanese with English summaries). [Google Scholar]
- Documents of Yoshidaya, seac. Family Business 3-31: Letter by Toyoda Denemon in 1888. In The History of Kaga City; Kaga City: Kaga, Japan, 1976; References Volume 2, ID (NCID) BN0157205X. (In Japanese) [Google Scholar]
| Analyzed Porcelains and Ceramics | Description | Historical Period | XRF Results: Enamel Matrix and Chromophores | Identified Pigments | Co/Ni Ratio (Blue) | Cu/Zn Ratio (Green) |
|---|---|---|---|---|---|---|
![]() | Shallow bowl with design of Hotei | Early Period (1648–1650) | Green Enamel Pb, Cu, K, Si (Fe, Ca, Zn, As, Ni, Mn, Ti, Ca) | Cu-Zn-As Green | - | 27.12 |
![]() | Shallow bowl with design of Phoenix | Early Period (1648–1650) | Blue Enamel Pb, K, Si (Cu, Fe, Co, Ni, As, Ti, Ca) Green Enamel Pb, Cu, K, Si (Fe, Ca, Zn, As, Ni, Mn, Ti) | Smalt Blue Cu-Zn-As Green | 1.16 | 14.9 |
![]() | Nonomura Ninsei Incense burner in the Shape of a Pheasant (Koro) (National Treasure) | Early Period (1648–1650) | Blue Enamel Pb, K, Cu, Si (Fe, Co, Ni, As, Mn, Ti, Ca) Green Enamel Pb, Cu, K, Fe, Ca, Si, Au* (Zn, Ti, Mn, Ni, Al) * Au from overlapping gold decoration | Smalt Blue Cu-Zn Green | 2.15 | 6.7 |
![]() | Shallow bowl with design of Scattered Treasures and Heron | Middle Period (1650–1651) | Green Enamel Pb, Cu, K, Si (Fe, Ca, Zn, As, Ni, Ti, Ca) | Cu-Zn-As Green | - | 20.4 |
![]() | Shallow bowl with design of Quail | Middle Period (1650–1651) | Blue Enamel Pb, K, Si (Cu, Fe, Co, Ni, As, Ti, Ca) Green Enamel Pb, Cu, K, Si (Fe, Zn, As, Ni, Mn, Ti, Ca) | Smalt Blue Cu-Zn-As Green | 1.52 | 22.9 |
![]() | Shallow bowl with Paving Stone Pattern | Middle Period (1650–1651) | Blue Enamel Pb, K (Cu, Fe, Co, Ni, As, Si, Zn, Ti, Al, Ca) Green Enamel Pb, Cu, K (Fe, Zn, As, Ni, Mn, Ti, Si, Ca) | Smalt Blue Cu-Zn-As Green | 1.6 | 19.5 |
![]() | Shallow bowl with design of Peonies in Overglaze Enamels (Iro-e Botan) | Middle Period (1650–1651) | Green Enamel Pb, Cu, K (Fe, Zn, As, Ni, Mn, Ti, Si) | Cu-Zn-As Green | - | 29.89 |
![]() | Shallow bowl with design of Flowers and Bird Inside Jar | Middle Period (1650–1651) | Blue Enamel Pb, K (Cu, Fe, Co, Ni, As, Si, Zn, Ti, Ca) Green Enamel Pb, Cu, K (Fe, Zn, As, Ni, Mn, Ti, Si, Ca) | Smalt Blue Cu-Zn-As Green | 1.2 | 16.5 |
![]() | Shallow bowl with design of Stream and Mandarin Duck | Middle Period (1650–1651) | Blue Enamel Pb, K (Cu, Fe, Co, Ni, As, Zn, Si, Ti, Ca) Green Enamel Pb, Cu, K (Si, Fe, Zn, As, Ni, Ti, Mn, Ca) | Smalt Blue Cu-Zn-As Green | 1.17 | 26.48 |
![]() | Shallow bowl with design of Scattered Flowers and Twin Birds | Middle Period (1650–1651) | Blue Enamel Pb, K (Si, Cu, Fe, Co, Ni, As, Ti, Zn, Ca) Green Enamel Pb, Cu, K (Fe, Si, Zn, As, Ni, Mn, Ti, Ca) | Smalt Blue Cu-Zn-As Green | 1.15 | 22.12 |
![]() | Shallow bowl with design of Karuta and Cranes | Middle Period (1650–1651) | Green Enamel Pb, Cu, K (Si, Fe, Zn, As, Ni, Mn, Ti, Ca) | Cu-Zn-As Green | - | 22.9 |
![]() | Shallow bowl with design of Old Tree and White Cloud | Middle Period (1650–1651) | Blue Enamel Pb, K, Fe, Cu (Zn, Mn**, Co, Ni, As, Ti, Si, Ca, Al) ** from black decoartion layer Green Enamel Pb, Cu, K (Fe, Zn, As, Si, Ni, Ti, Si) | Smalt Blue Cu-Zn-As Green | 1.14 | 18.92 |
![]() | Nonomura Ninsei Water Jar for the tea ceremony, Mizusahsi (Important Cultural Property) | 1650–1655 | Green Enamel Pb, Cu (Si, Fe, K, Ca, Zn, Ni, Ti, Mn, Ca, Al) Cold Gold Pigment Au, Ca (Fe, Cu, Si, K, Ni, Ti, Al) | Cu-Zn Green Cold Gold Pigment | - | 22.3 |
![]() | Nonomura Ninsei Incense Container, Kogo | 1650–1655 | Blue Enamel Pb, Cu, K (Si, Fe, Co, Ni, As, Zn, Ca, Al) Green Enamel Pb, Cu, K (Si, Ca, Fe, Zn, Mn, Ti, Ni, Al) | Smalt Blue Cu-Zn Green | 0.76 | 14.3 |
![]() | Shallow bowl with design of Shochikubai | Late Period (1651) | Green Enamel Pb, Cu, K (Fe, Zn, As, Ti, Ni, Si) | Cu-Zn-As Green | - | 18.73 |
![]() | Shallow bowl with design of Peony | Late Period (1651–1652) | Green Enamel Pb, Cu, Zn, K (Fe, As, Mn, Si, Ti, Ni, Ca) | Cu-Zn-As Green | - | 5.5 |
![]() | Shallow bowl with design of Aged (Aode) Pine Tree | Late Period (1651–1652) | Green Enamel Pb, Cu, K, Zn (As, Fe, Si, Mn, Ni, Ti, Ca) | Cu-Zn-As Green | - | 4.96 |
![]() | Shallow bowl with design of Pine Tree and Peacock | Late Period (1652) | Blue Enamel Pb, Cu, K (Si, Fe, Co, Ni, As, Zn, TiCa) Green Enamel Pb, Cu, K (Si, Fe, Zn, Ni, Ti, Mn, Ca) | Smalt Blue Cu-Zn Green | 1.19 | 21.14 |
![]() | Shallow bowl with design of Chestnuts and Waves | Late Period (1652–1653) | Blue Enamel Pb, K, Cu (Si, Fe, Co, Ni, As, Zn, Ti, Ca, Al, Mn) Green Enamel Pb, Cu, K (Si, Fe, Zn, Ni, Ti, Ca) | Smalt Blue Cu-Zn Green | 1.14 | 30.03 |
![]() | Shallow bowl with design of Scattered Cherry Blossoms | Late Period (1653–1654) | Blue Enamel Pb, K, Cu (Fe, Co, Ni, As, Si, Ti, Ca) Green Enamel Pb, Cu, K (Fe, Zn, Si, Ti, Ni, Ca) | Smalt Blue Cu-Zn Green | 1.17 | 21.9 |
![]() | Shallow bowl with design of Grapevine | Late Period (1653–1654) | Green Enamel Pb, Cu, K (Si, Fe, Zn, Ni, Ti, Ca) | Cu-Zn Green | - | 26.4 |
![]() | Shallow bowl with design of Jumokuzu (Big Tree) | Late Period (1654–1655) | Green Enamel Pb, Cu, K (Si, Fe, Zn, Ni, Ti, Ca) | Cu-Zn Green | - | 29.93 |
![]() | Shard # 310 (1) | Early-to-mid 1640s | Green Enamel Pb, Cu, Si (Ca, Fe, K, Zn, Ni, Ti, Al) | Cu-Zn Green | - | 19.07 |
![]() | Shard #493 (2) | Early-to-mid 1640s | Green Enamel Pb, Cu, Si, K (Fe, Ca, Zn, Ti, Mn, Ni, Al) | Cu-Zn Green | - | 19.76 |
![]() | Shard # 22 (3) | Early-to-mid 1640s | Green Enamel Pb, Cu, K, Si (Fe, Ca, Zn, Ni, Mn, Ti, Al) | Cu-Zn Green | - | 10.68 |
![]() | Shard # 595 (4) | 1652 ca | Blue Enamel Pb, Cu, K (Si, Fe, Co, Ni, As, Zn, Mn, Ti, Al, Ca) Green Enamel Pb, Cu, K, Si (Fe, Ca, Zn, Ni, Ti, Mn, Al) | Smalt Blue Cu-Zn Green | 0.62 | 12.04 |
| Element Ratio | Cobalt Ore (Marienberg) | Blue Enamel (Phoenix) |
|---|---|---|
| Fe/Co | 0.93 | 1.1 |
| Co/Ni | 1.0 | 1.16 |
| Element Ratio | Shard #310 | Shard #493 | Shard #22 | Shard #595 |
|---|---|---|---|---|
| Cu/Zn | 19.07 | 19.76 | 10.68 | 12.04 |
| Element Ratio | Shard #310 | Shard #493 | Shard #22 | Shard #595 |
|---|---|---|---|---|
| Rb/Sr | 0.19 | 0.28 | 0.29 | 0.45 |
Disclaimer/Publisher’s Note: The statements, opinions and data contained in all publications are solely those of the individual author(s) and contributor(s) and not of MDPI and/or the editor(s). MDPI and/or the editor(s) disclaim responsibility for any injury to people or property resulting from any ideas, methods, instructions or products referred to in the content. |
© 2024 by the authors. Licensee MDPI, Basel, Switzerland. This article is an open access article distributed under the terms and conditions of the Creative Commons Attribution (CC BY) license (https://creativecommons.org/licenses/by/4.0/).
Share and Cite
Montanari, R.; Murase, H.; Alberghina, M.F.; Schiavone, S.; Pelosi, C. The Origin of Ko-Kutani Porcelain: New Discoveries and a Reassessment. Coatings 2024, 14, 1146. https://doi.org/10.3390/coatings14091146
Montanari R, Murase H, Alberghina MF, Schiavone S, Pelosi C. The Origin of Ko-Kutani Porcelain: New Discoveries and a Reassessment. Coatings. 2024; 14(9):1146. https://doi.org/10.3390/coatings14091146
Chicago/Turabian StyleMontanari, Riccardo, Hiroharu Murase, Maria Francesca Alberghina, Salvatore Schiavone, and Claudia Pelosi. 2024. "The Origin of Ko-Kutani Porcelain: New Discoveries and a Reassessment" Coatings 14, no. 9: 1146. https://doi.org/10.3390/coatings14091146
APA StyleMontanari, R., Murase, H., Alberghina, M. F., Schiavone, S., & Pelosi, C. (2024). The Origin of Ko-Kutani Porcelain: New Discoveries and a Reassessment. Coatings, 14(9), 1146. https://doi.org/10.3390/coatings14091146



























