Calculation of Stress Intensity Factor for Annular Double Cracks on Inner Surface of Pipeline
Abstract
1. Introduction
2. Finite Element Modeling and Crack Analysis Software
2.1. Finite Element Model
2.2. Principles for Evaluating SIF in FRANC3D Crack Analysis Software
2.3. FRANC3D Crack Simulation Validation
3. The Simulation of the Interaction between Two Parallel Cracks
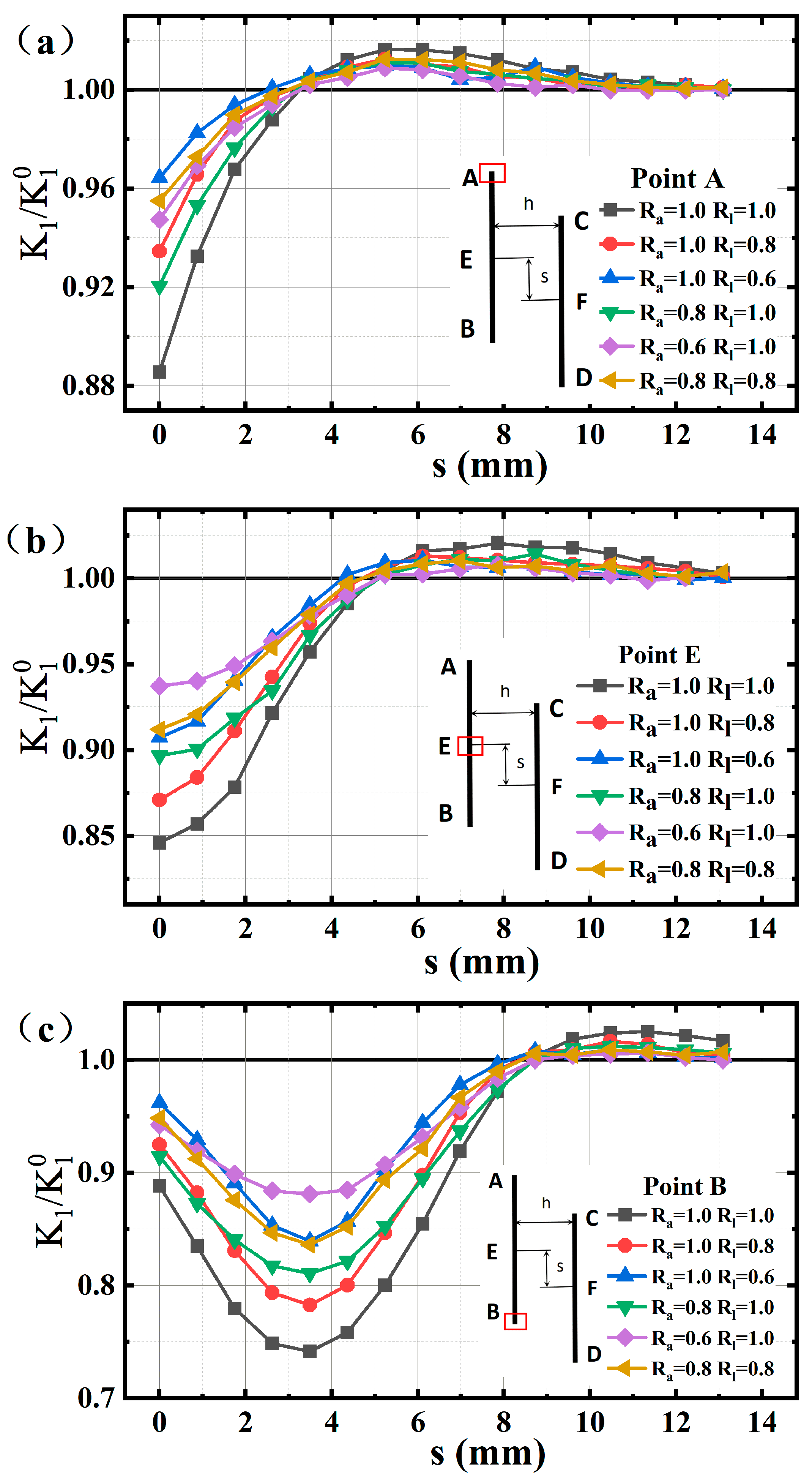
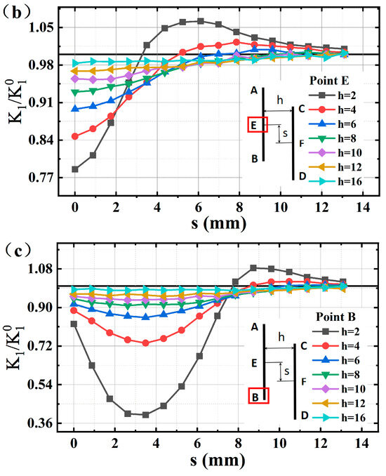
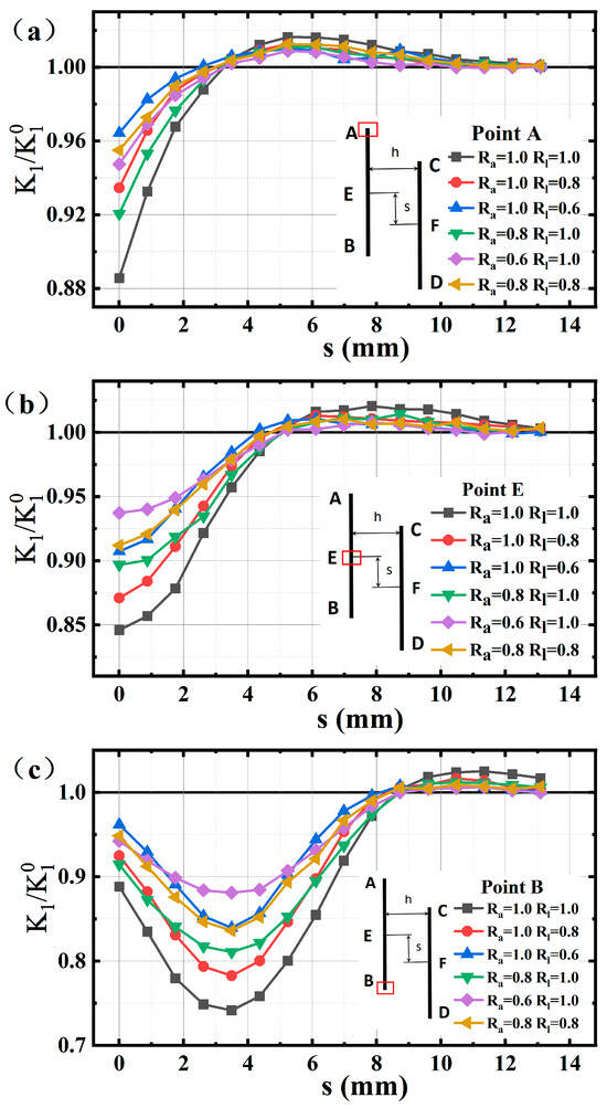
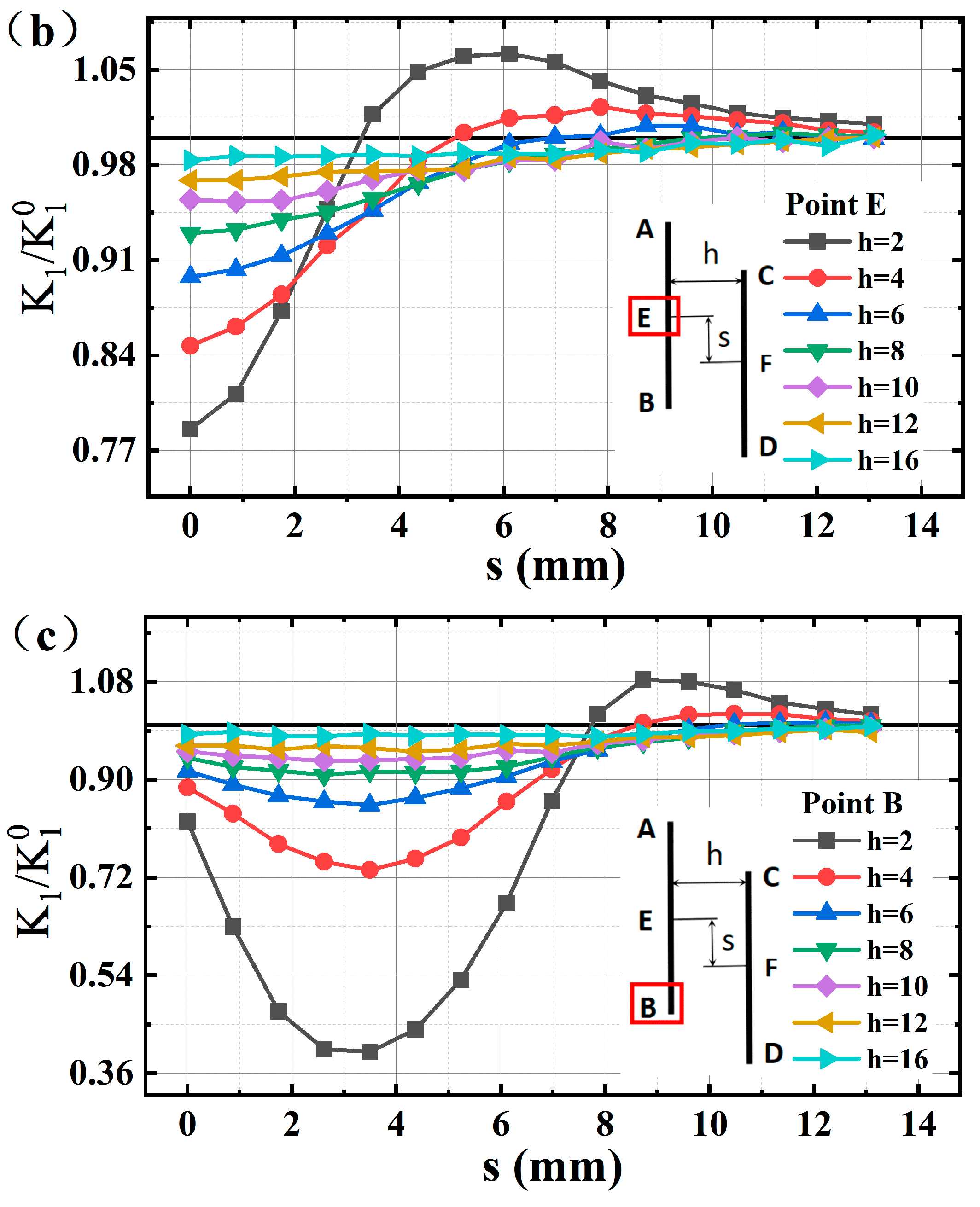
3.1. The Effects of the Spacing and Offset between Cracks
3.2. The Effects of the Secondary Crack Size
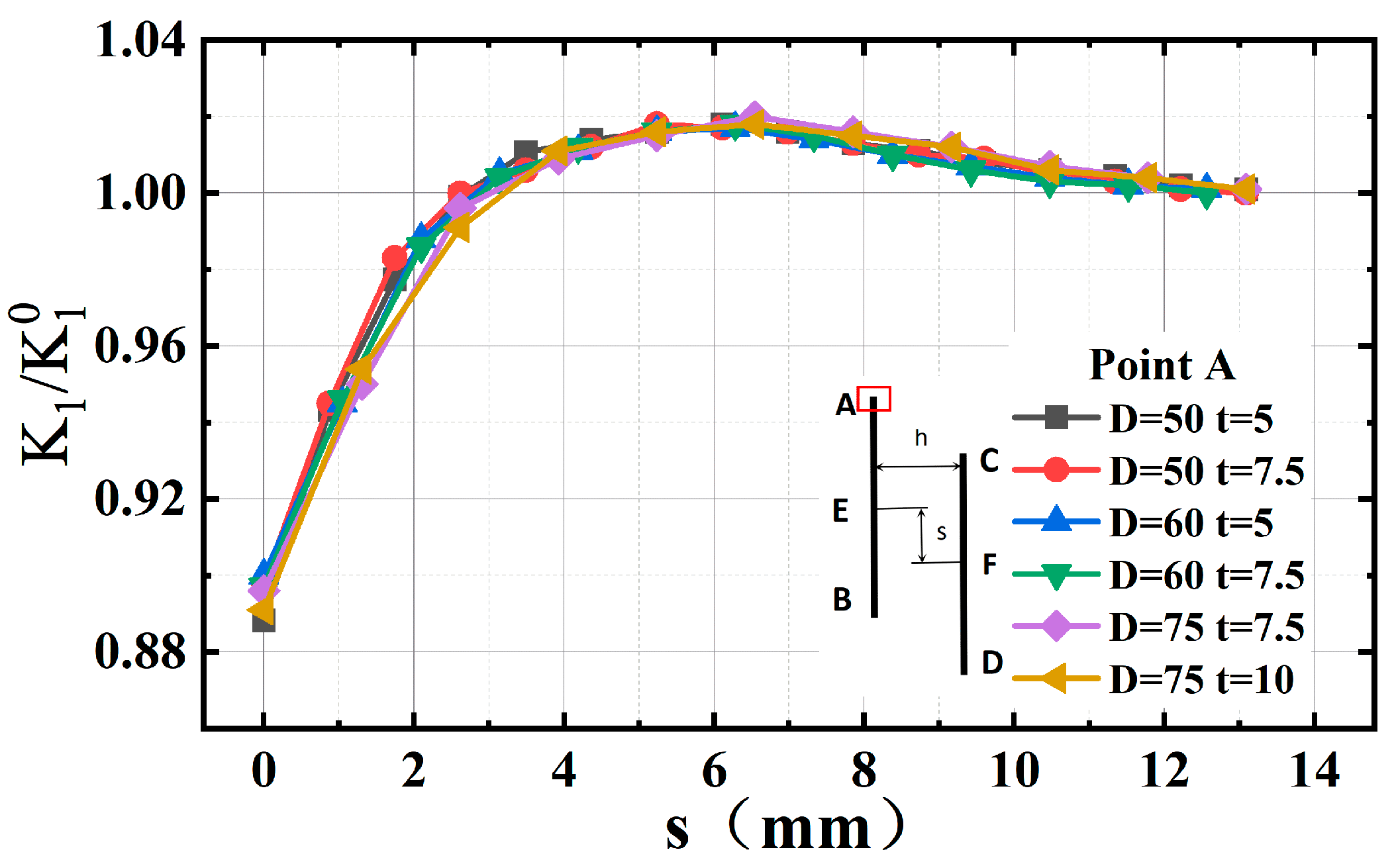
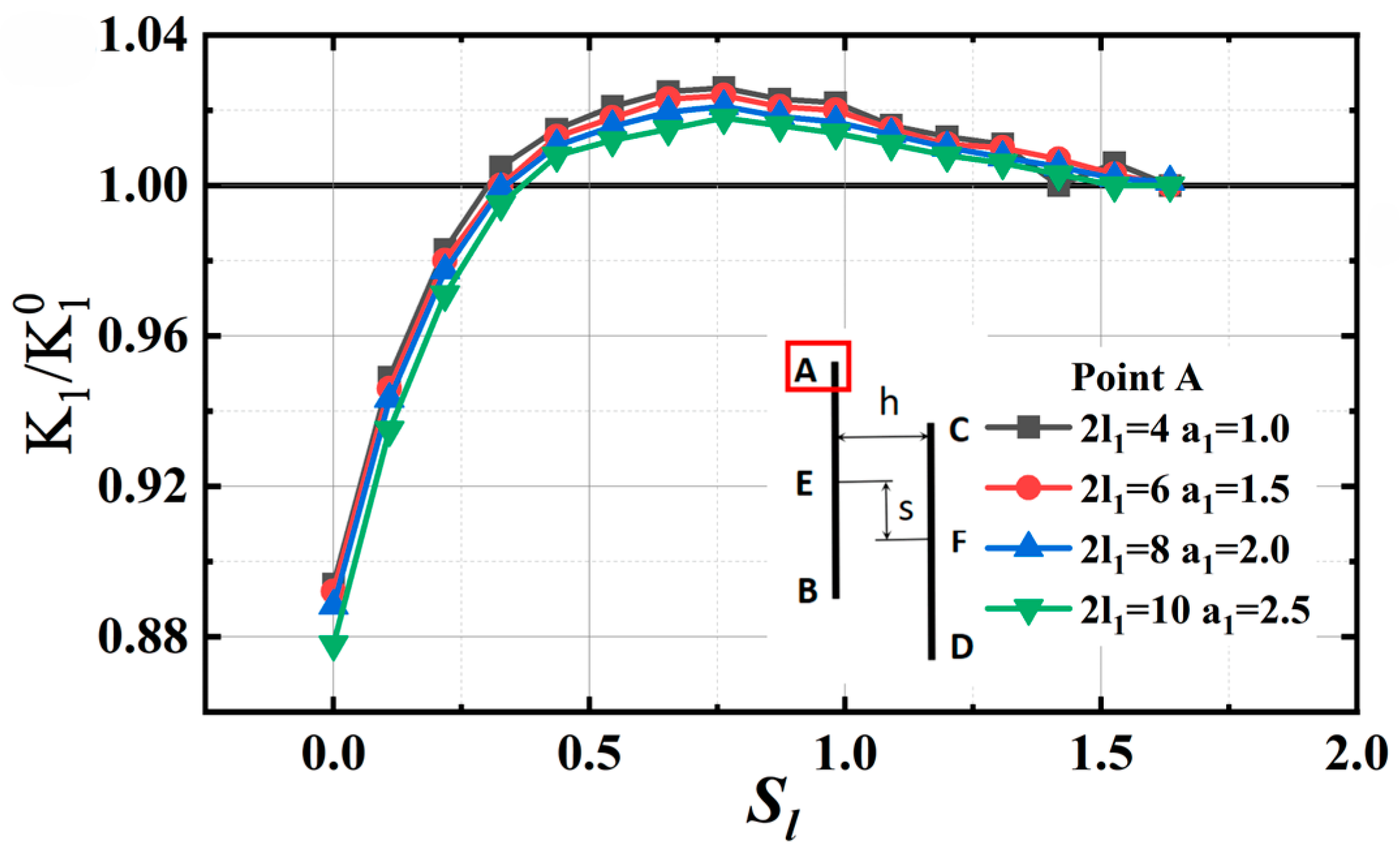
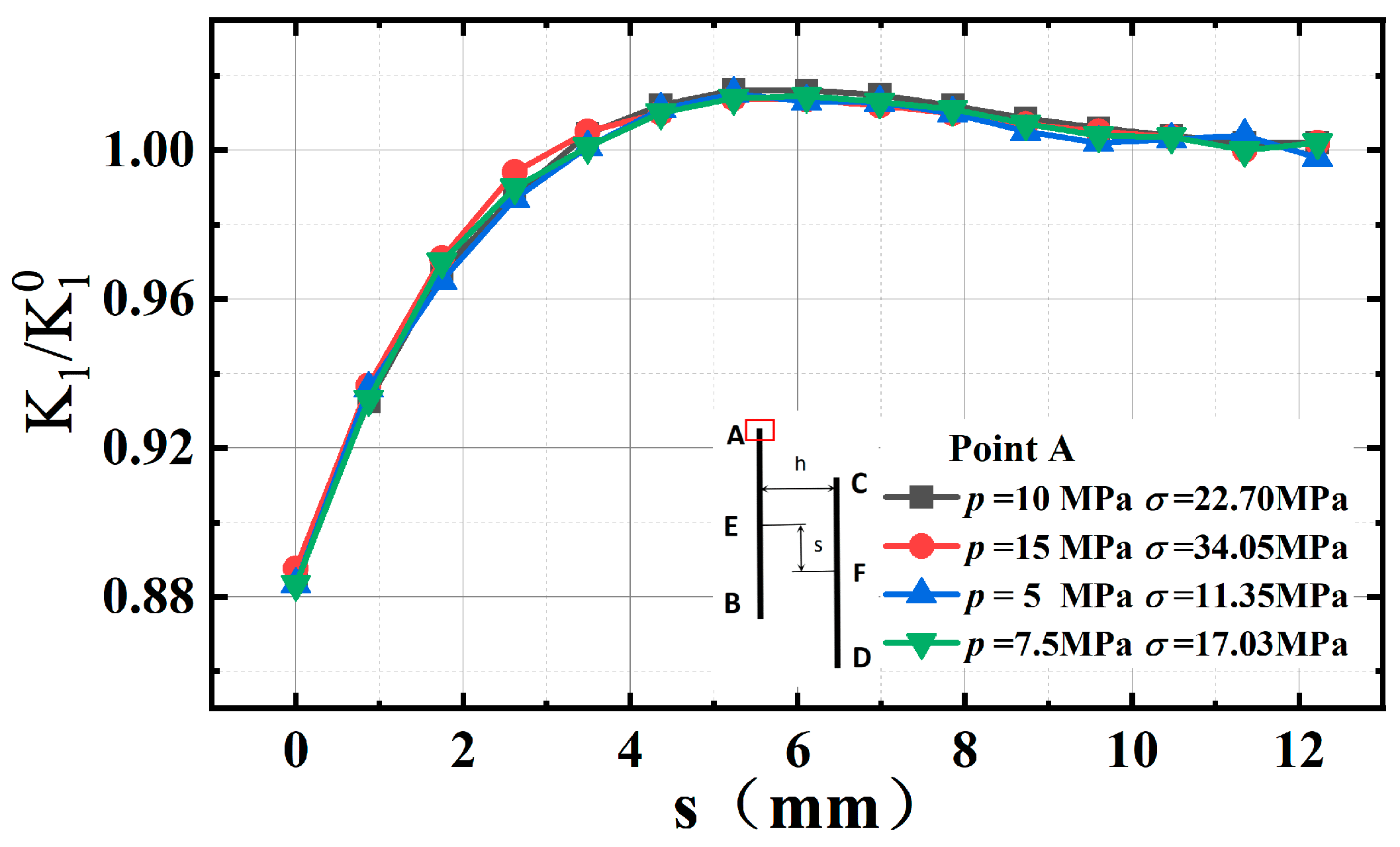
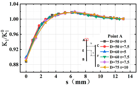
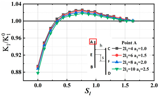
3.3. Effect of Pipe and Primary Crack Size
3.4. Boundaries for Shielding or Enhancing Interaction
4. Empirical Equations for Calculating Stress Intensity Factors of Crack
5. Conclusions
Author Contributions
Funding
Institutional Review Board Statement
Informed Consent Statement
Data Availability Statement
Conflicts of Interest
References
- Shao, J.; Zhang, Q. Analysis of the causes of cracks in pressure pipelines and preventive measures. Pet. Chem. Equip. 2011, 14, 10–12. [Google Scholar]
- Irwin, G.R. Analysis of stresses and strains near end of a crack traversing a plate. J. Appl. Mech. 1957, 24, 361–364. [Google Scholar] [CrossRef]
- Mechab, B.; Malika, M.; Mokadem, S.; Boualem, S. Probabilistic elastic-plastic fracture mechanics analysis of propagation of cracks in pipes under internal pressure. Fract. Struct. Integr. 2020, 14, 202–210. [Google Scholar] [CrossRef]
- Tan, X.; Wang, G.; Tu, S.; Xuan, F. Comparisons of creep constraint and fracture parameter C* of different types of surface cracks in pressurized pipes. Int. J. Press. Vessel. Pip. 2019, 172, 360–372. [Google Scholar] [CrossRef]
- Salem, M.; Mechab, B.; Berrahou, M.; Bouiadjra, B.B.; Serier, B. Failure Analyses of Propagation of Cracks in Repaired Pipe under Internal Pressure. J. Fail. Anal. Prev. 2019, 19, 212–218. [Google Scholar] [CrossRef]
- Luis, E.; Antonio, J.B.; Sourojeet, C.; Daniela, G. Comparison of the Stress Intensity Factor for a Longest Crack in an elliptical Base Gas Pipe, using FEM vs. DCT method. Forces Mech. 2023, 13, 100233. [Google Scholar]
- Seenuan, P.; Noraphaiphipaksa, N.; Kanchanomai, C. Stress Intensity Factors for Pressurized Pipes with an Internal Crack: The Prediction Model Based on an Artificial Neural Network. Appl. Sci. 2023, 13, 11446. [Google Scholar] [CrossRef]
- Yao, X.M.; Zhang, Y.C.; Pei, Q.; Jin, L.Z.; Ma, T.H.; He, X.H.; Zhou, C.Y. Empirical Solution of Stress Intensity Factors for the Inclined Inner Surface Crack of Pipe under External Pressure and Axial Compression. Materials 2022, 16, 364. [Google Scholar] [CrossRef] [PubMed]
- Kumar, S.S.; Balaji, N.V. Mode-I, Mode-II, and Mode-III Stress Intensity Factor Estimation of Regular- and Irregular-Shaped Surface Cracks in Circular Pipes. J. Fail. Anal. Prev. 2020, 20, 1–15. [Google Scholar]
- Fu, G.; Yang, W.; Li, C. Stress intensity factors for mixed mode fracture induced by inclined cracks in pipes under axial tension and bending. Theor. Appl. Fract. Mech. 2017, 89, 100–109. [Google Scholar] [CrossRef]
- Qiu, K.; Du, P.; Wei, X.; Qu, Y.; Chen, N. Fracture phase-field method-based circumferential surface crack propagationinvestigation of pipeline. Chin. J. Ship Res. 2024, 19, 1–8. (In Chinese) [Google Scholar] [CrossRef]
- Zhou, Z.J.; Wen, D.; Len, X.F. Study on the stress intensity factor of pipeline outer surface cracks. Mod. Mach. 2024, 36–41. [Google Scholar] [CrossRef]
- Cui, Y.Y.; Li, H.F.; Qian, C.F.; Wu, Z. Calculation of stress intensity factor for pipe penetration diagonal cracks. Press. Vessel 2023, 40, 30–36+66. [Google Scholar]
- Chen, F.; Ding, N.; Wang, X.Y.; Zhang, F.; Liu, G. Numerical simulation of pipeline surface crack circumferential extension based on XFEM. Mater. Prot. 2022, 55, 47–54+78. [Google Scholar]
- Li, Z.; Jiang, X.; Hopman, H. Surface Crack Growth in Offshore Metallic Pipes under Cyclic Loads: A Literature Review. J. Mar. Sci. Eng. 2020, 8, 339. [Google Scholar] [CrossRef]
- Tanwar, A.; Das, S.; Craciun, E. Interaction among interfacial offset cracks in composite materials under the anti-plane shear loading. ZAMM-J. Appl. Math. Mech. 2023, 103, 202300081. [Google Scholar] [CrossRef]
- Anis, F.S.; Koyama, M.; Hamada, S.; Noguchi, H. Simplified stress field determination for an inclined crack and interaction between two cracks under tension. Theor. Appl. Fract. Mech. 2020, 107, 102561. [Google Scholar] [CrossRef]
- Shen, Q.Q.; Rao, Q.H.; Li, Z.; Yi, W.; Sun, D.L. Interacting mechanism and initiation prediction of multiple cracks. Trans. Nonferrous Met. Soc. China 2021, 31, 779–791. [Google Scholar] [CrossRef]
- Wang, Y.X.; Javadi, A.; Corrado, F. Analysis of Interaction of Multiple Cracks Based on Tip Stress Field Using Extended Finite Element Method. J. Appl. Math. 2022, 2022, 1010174. [Google Scholar] [CrossRef]
- Long, H.; Tuan, T.N. Facilitation effect of multiple crack interaction on fatigue life reduction and a quantitative evaluation of interactions factor of two parallel Non-coplanar cracks. Theor. Appl. Fract. Mech. 2023, 125, 103941. [Google Scholar]
- Parsania, A.; Kakavand, E.; Hosseini, A.S.; Parsania, A. Estimation of multiple cracks interaction and its effect on stress intensity factors under mixed load by artificial neural networks. Theor. Appl. Fract. Mech. 2024, 131, 104340. [Google Scholar] [CrossRef]
- Han, Z.C. Research on Inter-Crack Interactions and Crack Population Equivalence Method. Ph.D. Dissertation, Beijing University of Chemical Technology, Beijing, China, 2021. [Google Scholar]
- Zhang, R.; Han, Y. Study on the interference effect of crack strength factor on inner surface of pipeline based on ANSYS Workbench. Electromech. Eng. Technol. 2023, 52, 177–180+189. [Google Scholar]
- Huang, Y.F.; Qiu, J.H.; Guo, Z.Q. Boundary element analysis of fracture behavior under multi-crack interaction. Sci. Technol. Eng. 2018, 18, 6–12. [Google Scholar]
- Cui, W.; Xiao, Z.M.; Zhang, Q.; Yang, J.; Feng, Z.M. Modeling the Crack Interference in X80 Oil and Gas Pipeline Weld. Materials 2023, 16, 3330. [Google Scholar] [CrossRef] [PubMed]
- Yao, A.L.; He, W.; Xu, T. 3D-VCCT based fracture analysis method for gas pipelines with multiple cracks. Nat. Gas Ind. B 2019, 6, 488–496. [Google Scholar] [CrossRef]
- Hamzah, K.; Long, N.N.; Senu, N. Stress intensity factor for multiple cracks in bonded dissimilar materials using hypersingular integral equations. Appl. Math. Model. 2019, 73, 95–108. [Google Scholar] [CrossRef]
- Xie, M.J.; Wang, Y.F.; Xiong, W.N.; Zhao, J.L.; Pei, X.J. A Crack Propagation Method for Pipelines with Interacting Corrosion and Crack Defects. Sensors 2022, 22, 986. [Google Scholar] [CrossRef] [PubMed]
- Sahnoun, M.; Ouinas, D.; Bouiadjra, B.B.; Olay, J.V. Numerical Modelling of the Interaction Macro–Multimicrocracks in a Pipe under Tensile Stress. Adv. Mater. Res. 2015, 1105, 245–250. [Google Scholar] [CrossRef]
- Chong, Z.W.; Ma, T.X.; Yu, D.L.; Wu, D.R.; Tao, J.; Lv, H. Stress Intensity Factor of Double Cracks on Seabed-Spanning Pipeline Surface under the Spring Boundary. J. Pipeline Syst. Eng. Pract. 2021, 12, 04021052. [Google Scholar] [CrossRef]
- He, X.; Qin, X.; Xie, L. Influence of pipe axial double crack angle on tip stress intensity factor. J. Northeast. Univ. (Nat. Sci. Ed.) 2011, 32, 1623–1626. [Google Scholar]
- Yu, J.; Guo, S.; Wu, Z. Analysis of fatigue life of submarine pipelines containing double crack defects. China Offshore Platf. 2016, 31, 66–72. [Google Scholar]
- Li, W.; Tan, Y.; Wu, W. Effect of two-crack interaction on the stress intensity factor of pipelines. Oil Gas Storage Transp. 2019, 38, 1125–1129. [Google Scholar]
- Wei, M. Research on multi-crack interaction and effect on strength of its main steam pipeline. China Spec. Equip. Saf. 2019, 35, 70–75. [Google Scholar]
- Qin, Y.; Qin, X.; Chen, Z. Study on the influence law between parallel biaxial cracks on the inner surface of thick-walled cylinders. Electromech. Eng. 2022, 39, 276–280. [Google Scholar]
- Zhang, Y.; Fan, M.; Xiao, Z. Nonlinear elastic-plastic stress investigations on two interacting 3-D cracks in offshore pipelines subjected to different loadings. AIMS Mater. Sci. 2016, 3, 1321–1339. [Google Scholar] [CrossRef]
- Williams, L.M. On the Stress Distribution at the Base of a Stationary Crack. J. Appl. Mech. 1957, 24, 109–114. [Google Scholar] [CrossRef]
- Rice, J.R. A Path independent integral and the approximate analysis of strain concentrations by notches and cracks. J. Appl. Mech. 1968, 35, 379–386. [Google Scholar] [CrossRef]
- Rice, J.R.; Rosengren, G.F. Plane strain deformation near crack tip in a power-law hardening material. J. Mech. Phys. Solids 1968, 16, 1–12. [Google Scholar] [CrossRef]
- API 579-1/ASME FFS-1; Fitness-for-Service. American Petroleum Institute: Houston, TX, USA, 2016.












| Materials | Young’s Modulus | Poisson’s Ratio | Inside Diameter | Wall Thickness | Length |
|---|---|---|---|---|---|
| S30408 | 195 GPa | 0.3 | D (mm) | t (mm) | 5(D + 2t) (mm) |
| a/mm | c/mm | D/mm | t/mm | FRANC3D (Point E) | ASME FFS-1 (Point E) | Relative Difference |
|---|---|---|---|---|---|---|
| 1 | 1 | 50 | 5 | 26.78 | 25.78 | 3.9% |
| 1 | 2 | 50 | 5 | 35.93 | 36.39 | 1.3% |
| 2 | 2 | 50 | 5 | 38.46 | 39.53 | 2.7% |
| 2 | 4 | 50 | 5 | 53.09 | 53.50 | 0.8% |
| 3 | 3 | 50 | 5 | 47.28 | 49.28 | 4.1% |
| 3 | 6 | 50 | 5 | 68.54 | 69.11 | 0.8% |
| Steps | Formulas | |
|---|---|---|
| , | ||
| , | ||
| Steps | Formulas | |
|---|---|---|
| , | ||
| , | ||
| , | ||
| Scheme | Formulas | |
|---|---|---|
| , | ||
| , | ||
| , | ||
| , | ||
| Average Difference | Maximum Difference | |||||||
|---|---|---|---|---|---|---|---|---|
| 50 | 5 | 8 | 2 | 1 | 1 | 5.5 | 1.01% | 2.22% |
| 50 | 5 | 8 | 2 | 1 | 1 | 9 | 0.85% | 1.48% |
| 50 | 5 | 8 | 2 | 0.85 | 0.95 | 3 | 1.13% | 1.51% |
| 50 | 5 | 8 | 2 | 0.5 | 0.7 | 6 | 0.92% | 1.82% |
| 70 | 15 | 8 | 2 | 1 | 1 | 4 | 1.83% | 3.32% |
| 80 | 20 | 12 | 3 | 0.8 | 0.8 | 2 | 1.85% | 3.62% |
| 50 | 5 | 4 | 1 | 0.75 | 0.75 | 3 | 1.94% | 2.74% |
| 500 | 50 | 80 | 20 | 1 | 1 | 4 | 1.41% | 2.27% |
Disclaimer/Publisher’s Note: The statements, opinions and data contained in all publications are solely those of the individual author(s) and contributor(s) and not of MDPI and/or the editor(s). MDPI and/or the editor(s) disclaim responsibility for any injury to people or property resulting from any ideas, methods, instructions or products referred to in the content. |
© 2024 by the authors. Licensee MDPI, Basel, Switzerland. This article is an open access article distributed under the terms and conditions of the Creative Commons Attribution (CC BY) license (https://creativecommons.org/licenses/by/4.0/).
Share and Cite
Cui, J.; Li, H.; Wu, Z.; Qian, C. Calculation of Stress Intensity Factor for Annular Double Cracks on Inner Surface of Pipeline. Coatings 2024, 14, 744. https://doi.org/10.3390/coatings14060744
Cui J, Li H, Wu Z, Qian C. Calculation of Stress Intensity Factor for Annular Double Cracks on Inner Surface of Pipeline. Coatings. 2024; 14(6):744. https://doi.org/10.3390/coatings14060744
Chicago/Turabian StyleCui, Jintai, Huifang Li, Zhiwei Wu, and Caifu Qian. 2024. "Calculation of Stress Intensity Factor for Annular Double Cracks on Inner Surface of Pipeline" Coatings 14, no. 6: 744. https://doi.org/10.3390/coatings14060744
APA StyleCui, J., Li, H., Wu, Z., & Qian, C. (2024). Calculation of Stress Intensity Factor for Annular Double Cracks on Inner Surface of Pipeline. Coatings, 14(6), 744. https://doi.org/10.3390/coatings14060744
