Exploring TMA and H2O Flow Rate Effects on Al2O3 Thin Film Deposition by Thermal ALD: Insights from Zero-Dimensional Modeling
Abstract
1. Introduction
2. Surface Chemistry
3. Atomic Layer Deposition Model
3.1. Surface Kinetic Model
3.2. Partial Pressure Calculation
3.3. Input Parameters for ALD Modelling and Simulations
4. Experimental
4.1. Al2O3 Thin Film Growth
4.2. Precursor Flow Rate Measurement
5. Results and Discussion
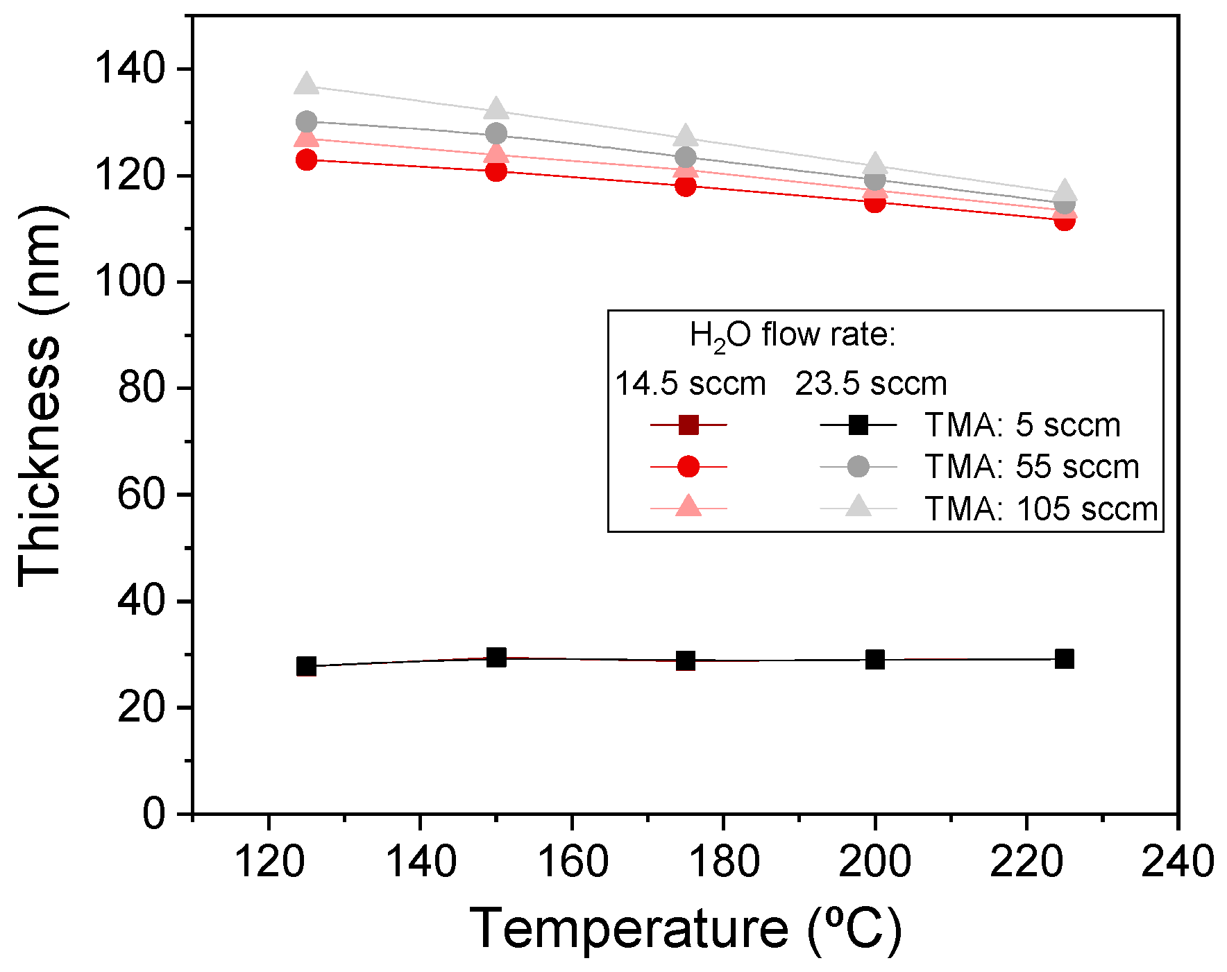
5.1. Film Thickness Dependence with TMA Flow Rate and Temperature
5.2. Surface Kinetic
5.3. FTIR Analyses
6. Conclusions
Author Contributions
Funding
Institutional Review Board Statement
Informed Consent Statement
Data Availability Statement
Conflicts of Interest
References
- Greene, J.E. Review Article: Tracing the Recorded History of Thin-Film Sputter Deposition: From the 1800s to 2017. J. Vac. Sci. Technol. A 2017, 35, 05C204. [Google Scholar] [CrossRef]
- Justin Kunene, T.; Kwanda Tartibu, L.; Ukoba, K.; Jen, T.C. Review of Atomic Layer Deposition Process, Application and Modeling Tools. Mater. Today Proc. 2022, 62, S95–S109. [Google Scholar] [CrossRef]
- Puurunen, R.L. Surface Chemistry of Atomic Layer Deposition: A Case Study for the Trimethylaluminum/Water Process. J. Appl. Phys. 2005, 97, 121301. [Google Scholar] [CrossRef]
- Chiappim, W.; Neto, B.B.; Shiotani, M.; Karnopp, J.; Gonçalves, L.; Chaves, J.P.; Sobrinho, A.d.S.; Leitão, J.P.; Fraga, M.; Pessoa, R. Plasma-Assisted Nanofabrication: The Potential and Challenges in Atomic Layer Deposition and Etching. Nanomaterials 2022, 12, 3497. [Google Scholar] [CrossRef]
- Knoops, H.C.M.; Potts, S.E.; Bol, A.A.; Kessels, W.M.M. Atomic Layer Deposition. In Handbook of Crystal Growth: Thin Films and Epitaxy: Second Edition; Elsevier B.V.: Amsterdam, The Netherlands, 2015; Volume 3, pp. 1101–1134. ISBN 9780444633057. [Google Scholar]
- Vandalon, V.; Kessels, W.M.M. Revisiting the Growth Mechanism of Atomic Layer Deposition of Al2O3: A Vibrational Sum-Frequency Generation Study. J. Vac. Sci. Technol. A 2017, 35, 05C313. [Google Scholar] [CrossRef]
- Dias, V.; Maciel, H.; Fraga, M.; Lobo, A.O.; Pessoa, R.; Marciano, F.R. Atomic Layer Deposited TiO2 and Al2O3 Thin Films as Coatings for Aluminum Food Packaging Application. Materials 2019, 12, 682. [Google Scholar] [CrossRef] [PubMed]
- Jinesh, K.B.; van Hemmen, J.L.; van de Sanden, M.C.M.; Roozeboom, F.; Klootwijk, J.H.; Besling, W.F.A.; Kessels, W.M.M. Dielectric Properties of Thermal and Plasma-Assisted Atomic Layer Deposited Al2O3 Thin Films. J. Electrochem. Soc. 2011, 158, G21. [Google Scholar] [CrossRef]
- Daubert, J.S.; Hill, G.T.; Gotsch, H.N.; Gremaud, A.P.; Ovental, J.S.; Williams, P.S.; Oldham, C.J.; Parsons, G.N. Corrosion Protection of Copper Using Al2O3, TiO2, ZnO, HfO2, and ZrO2 Atomic Layer Deposition. ACS Appl. Mater. Interfaces 2017, 9, 4192–4201. [Google Scholar] [CrossRef] [PubMed]
- Barbos, C.; Blanc-Pelissier, D.; Fave, A.; Botella, C.; Regreny, P.; Grenet, G.; Blanquet, E.; Crisci, A.; Lemiti, M. Al2O3 Thin Films Deposited by Thermal Atomic Layer Deposition: Characterization for Photovoltaic Applications. Thin Solid Films 2016, 617, 108–113. [Google Scholar] [CrossRef]
- Ballestero, M.; Dória, A.C.O.C.; Pessoa, R.S.; Rodrigues, B.V.M. Enhancing Microbiostatic Properties of Silicone Catheters with Al2O3 Coatings Deposited by Atomic Layer Deposition. Mater. Lett. 2023, 344, 2–6. [Google Scholar] [CrossRef]
- Matero, R.; Rahtu, A.; Ritala, M.; Leskelä, M.; Sajavaara, T. Effect of Water Dose on the Atomic Layer Deposition Rate of Oxide Thin Films. Thin Solid Films 2000, 368, 1–7. [Google Scholar] [CrossRef]
- Chiappim, W.; Testoni, G.E.; de Lima, J.S.B.; Medeiros, H.S.; Pessoa, R.S.; Grigorov, K.G.; Vieira, L.; Maciel, H.S. Effect of Process Temperature and Reaction Cycle Number on Atomic Layer Deposition of TiO2 Thin Films Using TiCl4 and H2O Precursors: Correlation Between Material Properties and Process Environment. Braz. J. Phys. 2016, 46, 56–69. [Google Scholar] [CrossRef]
- Gakis, G.P.; Vergnes, H.; Scheid, E.; Vahlas, C.; Boudouvis, A.G.; Caussat, B. Detailed Investigation of the Surface Mechanisms and Their Interplay with Transport Phenomena in Alumina Atomic Layer Deposition from TMA and Water. Chem. Eng. Sci. 2019, 195, 399–412. [Google Scholar] [CrossRef]
- Lim, J.-W.; Park, H.-S.; Kang, S.-W. Kinetic Modeling of Film Growth Rate in Atomic Layer Deposition. J. Electrochem. Soc. 2001, 148, C403. [Google Scholar] [CrossRef]
- Guerra-Nuñez, C.; Döbeli, M.; Michler, J.; Utke, I. Reaction and Growth Mechanisms in Al2O3 deposited via Atomic Layer Deposition: Elucidating the Hydrogen Source. Chem. Mater. 2017, 29, 8690–8703. [Google Scholar] [CrossRef]
- Pan, D. Density Functional Theory (DFT)-Enhanced Computational Fluid Dynamics Modeling of Substrate Movement and Chemical Deposition Process in Spatial Atomic Layer Deposition. Chem. Eng. Sci. 2021, 234, 116447. [Google Scholar] [CrossRef]
- Weckman, T.; Laasonen, K. First Principles Study of the Atomic Layer Deposition of Alumina by TMA-H2O-Process. Phys. Chem. Chem. Phys. 2015, 17, 17322–17334. [Google Scholar] [CrossRef]
- Kunene, T.J.; Coetzee, R.A.M.; Tartibu, L.; Jen, T.C. Numerical Modeling of Atomic Layer Deposition Supercycles. Mater. Today Proc. 2022, 62, S30–S39. [Google Scholar] [CrossRef]
- Gakis, G.P.; Vergnes, H.; Scheid, E.; Vahlas, C.; Caussat, B.; Boudouvis, A.G. Computational Fluid Dynamics Simulation of the ALD of Alumina from TMA and H2O in a Commercial Reactor. Chem. Eng. Res. Des. 2018, 132, 795–811. [Google Scholar] [CrossRef]
- Xie, Y.; Pan, D.; Ma, L.; Yuan, C. Optimizing the Process Efficiency of Atomic Layer Deposition of Alumina for Its Sustainability Improvement: A Combined Experimental and Modeling Study. J. Clean. Prod. 2016, 133, 338–347. [Google Scholar] [CrossRef]
- Holmqvist, A.; Törndahl, T.; Magnusson, F.; Zimmermann, U.; Stenström, S. Dynamic Parameter Estimation of Atomic Layer Deposition Kinetics Applied to in Situ Quartz Crystal Microbalance Diagnostics. Chem. Eng. Sci. 2014, 111, 15–33. [Google Scholar] [CrossRef]
- Pan, D.; Jen, T.C.; Yuan, C. Effects of Gap Size, Temperature and Pumping Pressure on the Fluid Dynamics and Chemical Kinetics of in-Line Spatial Atomic Layer Deposition of Al2O3. Int. J. Heat Mass Transf. 2016, 96, 189–198. [Google Scholar] [CrossRef]
- Yamamoto, K.; Suzuki, A.; Kagaya, M.; Matsukuma, M.; Moriya, T. Surface Oxidation Model in Plasma Enhanced Atomic Layer Deposition for Silicon Oxide Films Including Various Aminosilane Precursors. J. Vac. Sci. Technol. A 2019, 37, 020920. [Google Scholar] [CrossRef]
- Muneshwar, T.; Cadien, K. Surface Reaction Kinetics in Atomic Layer Deposition: An Analytical Model and Experiments. J. Appl. Phys. 2018, 124, 095302. [Google Scholar] [CrossRef]
- Kuse, R.; Kundu, M.; Yasuda, T.; Miyata, N.; Toriumi, A. Effect of Precursor Concentration in Atomic Layer Deposition of Al2O3. J. Appl. Phys. 2003, 94, 6411–6416. [Google Scholar] [CrossRef]
- Widjaja, Y.; Musgrave, C.B. Quantum Chemical Study of the Mechanism of Aluminum Oxide Atomic Layer Deposition. Appl. Phys. Lett. 2002, 80, 3304–3306. [Google Scholar] [CrossRef]
- Dillon, A.C.; Ott, A.W.; Way, J.D.; George, S.M. Surface Chemistry of Al2O3 Deposition Using Al(CH3)3 and H2O in a Binary Reaction Sequence. Surf. Sci. 1995, 322, 230–242. [Google Scholar] [CrossRef]
- Haukka, S.; Root, A. The Reaction of Hexamethyldisilazane and Subsequent Oxidation of Trimethylsilyl Groups on Silica Studied by Solid-State NMR and FTIR. J. Physial Chem. 1994, 98, 1695–1703. [Google Scholar] [CrossRef]
- Travis, C.D.; Adomaitis, R.A. Dynamic Modeling for the Design and Cyclic Operation of an Atomic Layer Deposition (ALD) Reactor. Processes 2013, 1, 128–152. [Google Scholar] [CrossRef]
- Scialdone, J.J. Preventing Molecular and Particulate in a Confined Volume; SPIE: Bellingham, WA, USA, 1999; Volume 2784. [Google Scholar]
- Arts, K.; Vandalon, V.; Puurunen, R.L.; Utriainen, M.; Gao, F.; Kessels, W.M.M.; Knoops, H.C.M. Sticking Probabilities of H2O and Al(CH3)3 during Atomic Layer Deposition of Al2O3 Extracted from Their Impact on Film Conformality. J. Vac. Sci. Technol. A 2019, 37, 030908. [Google Scholar] [CrossRef]
- Ott, A.W.; Klaus, J.W.; Johnson, J.M.; George, S.M. Al3O3 Thin Film Growth on Si(100) Using Binary Reaction Sequence Chemistry. Thin Solid Films 1997, 292, 135–144. [Google Scholar] [CrossRef]
- Leybold GmbH. Fundamentals of Vacuum Technology; Hermann, A., Alfred, B., Hermann, B., Heinz, D., Karl, G., Wolfgang, J., Walter, M., Hans-Jürgen, M., Hans-Dieter, O., Willi, S., et al., Eds.; Walter Umr.; Leybold: Tokyo, Japan, 2016; ISBN 9783527653898. [Google Scholar]
- Groner, M.D.; Fabreguette, F.H.; Elam, J.W.; George, S.M. Low-Temperature Al2O3 Atomic Layer Deposition. Chem. Mater. 2004, 16, 639–645. [Google Scholar] [CrossRef]
- Cheng, C.-C.; Chien, C.-H.; Luo, G.-L.; Liu, J.-C.; Kei, C.-C.; Liu, D.-R.; Hsiao, C.-N.; Yang, C.-H.; Chang, C.-Y. Characteristics of Atomic-Layer-Deposited Al2O3 High-k Dielectric Films Grown on Ge Substrates. J. Electrochem. Soc. 2008, 155, G203. [Google Scholar] [CrossRef]
- Zhuravlev, L.T. Concentration of Hydroxyl Groups on the Surface of Amorphous Silicas. Langmuir 1987, 3, 316–318. [Google Scholar] [CrossRef]
- Puurunen, R.L. Analysis of Hydroxyl Group Controlled Atomic Layer Deposition of Hafnium Dioxide from Hafnium Tetrachloride and Water. J. Appl. Phys. 2004, 95, 4777–4786. [Google Scholar] [CrossRef]
- Travis, C.D.; Adomaitis, R.A. Modeling Alumina Atomic Layer Deposition Reaction Kinetics during the Trimethylaluminum Exposure. Theor. Chem. Acc. 2014, 133, 3–11. [Google Scholar] [CrossRef]
- Travis, C.D.; Adomaitis, R.A. Modeling ALD Surface Reaction and Process Dynamics Using Absolute Reaction Rate Theory. Chem. Vap. Depos. 2013, 19, 4–14. [Google Scholar] [CrossRef]
- Poodt, P.; van Lieshout, J.; Illiberi, A.; Knaapen, R.; Roozeboom, F.; van Asten, A. On the Kinetics of Spatial Atomic Layer Deposition. J. Vac. Sci. Technol. A 2013, 31, 01A108. [Google Scholar] [CrossRef]
- Chaves, J.; Chiappim, W.; Karnopp, J.; Neto, B.; Leite, D.; da Silva Sobrinho, A.; Pessoa, R. Novel Energetic Co-Reactant for Thermal Oxide Atomic Layer Deposition: The Impact of Plasma-Activated Water on Al2O3 Film Growth. Nanomaterials 2023, 13, 3110. [Google Scholar] [CrossRef]
- Gao, M.; Liu, B.; Zhao, P.; Yi, X.; Shen, X.; Xu, Y. Mechanical Strengths and Thermal Properties of Titania-Doped Alumina Aerogels and the Application as High-Temperature Thermal Insulator. J. Sol-Gel Sci. Technol. 2019, 91, 514–522. [Google Scholar] [CrossRef]
- Wang, H.; Liu, Y.; Liu, H.; Chen, Z.; Xiong, P.; Xu, X.; Chen, F.; Li, K.; Duan, Y. Effect of Various Oxidants on Reaction Mechanisms, Self-Limiting Natures and Structural Characteristics of Al2O3 Films Grown by Atomic Layer Deposition. Adv. Mater. Interfaces 2018, 5, 1701248. [Google Scholar] [CrossRef]
- Kim, S.; Lee, S.H.; Jo, I.H.; Seo, J.; Yoo, Y.E.; Kim, J.H. Influence of Growth Temperature on Dielectric Strength of Al2O3 Thin Films Prepared via Atomic Layer Deposition at Low Temperature. Sci. Rep. 2022, 12, 5124. [Google Scholar] [CrossRef] [PubMed]














| Parameter | Symbol | Value | Reference |
|---|---|---|---|
| Adsorption activation energy | TMA: 0 H2O: 0 | [18] | |
| Desorption activation energy | TMA: 1.13 eV H2O on DMA and MMA: 0.64 eV H2O on MMAOH: 1.13 eV | ||
| Reaction activation energy | TMA: 0.35 eV H2O on DMA and MMA: 0.44 eV H2O on MMAOH: 0.67 eV | ||
| Initial sticking coefficient | TMA: 0.001 H2O: 0.003 | Fitted | |
| Bulk concentration of alumina | 3500 kg.m−3 | [33] | |
| Pumping speed | 28 m3h−1 | - | |
| Reactor geometry | Diameter: 15.0 cm Height: 1.5 cm | - | |
| Temperature | T | 150 °C (423 K) 200 °C (473 K) | - |
| ALD cycle | TMA and H2O pulses: 90 ms Purges: 2 s Cycles: 1000 | - | |
| N2 flow rate | 150 sccm | - |
Disclaimer/Publisher’s Note: The statements, opinions and data contained in all publications are solely those of the individual author(s) and contributor(s) and not of MDPI and/or the editor(s). MDPI and/or the editor(s) disclaim responsibility for any injury to people or property resulting from any ideas, methods, instructions or products referred to in the content. |
© 2024 by the authors. Licensee MDPI, Basel, Switzerland. This article is an open access article distributed under the terms and conditions of the Creative Commons Attribution (CC BY) license (https://creativecommons.org/licenses/by/4.0/).
Share and Cite
Karnopp, J.; Neto, N.A.; Vieira, T.; Fraga, M.; Sobrinho, A.d.S.; Sagás, J.; Pessoa, R. Exploring TMA and H2O Flow Rate Effects on Al2O3 Thin Film Deposition by Thermal ALD: Insights from Zero-Dimensional Modeling. Coatings 2024, 14, 578. https://doi.org/10.3390/coatings14050578
Karnopp J, Neto NA, Vieira T, Fraga M, Sobrinho AdS, Sagás J, Pessoa R. Exploring TMA and H2O Flow Rate Effects on Al2O3 Thin Film Deposition by Thermal ALD: Insights from Zero-Dimensional Modeling. Coatings. 2024; 14(5):578. https://doi.org/10.3390/coatings14050578
Chicago/Turabian StyleKarnopp, Júlia, Nilton Azevedo Neto, Thaís Vieira, Mariana Fraga, Argemiro da Silva Sobrinho, Julio Sagás, and Rodrigo Pessoa. 2024. "Exploring TMA and H2O Flow Rate Effects on Al2O3 Thin Film Deposition by Thermal ALD: Insights from Zero-Dimensional Modeling" Coatings 14, no. 5: 578. https://doi.org/10.3390/coatings14050578
APA StyleKarnopp, J., Neto, N. A., Vieira, T., Fraga, M., Sobrinho, A. d. S., Sagás, J., & Pessoa, R. (2024). Exploring TMA and H2O Flow Rate Effects on Al2O3 Thin Film Deposition by Thermal ALD: Insights from Zero-Dimensional Modeling. Coatings, 14(5), 578. https://doi.org/10.3390/coatings14050578

