A Review of Concrete Carbonation Depth Evaluation Models
Abstract
1. Introduction
2. Mathematical Curve Models for Concrete Carbonation Depth
3. Machine Learning Prediction Model
3.1. ANN-Based Prediction Model
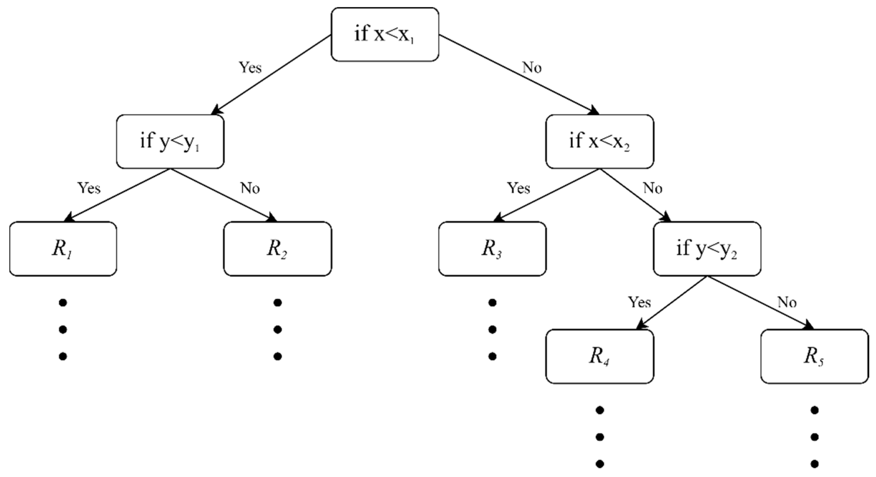
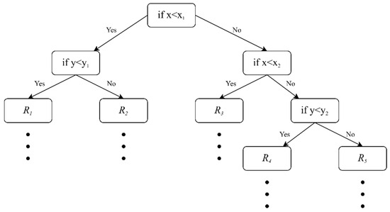
3.2. DT-Based Prediction Model
3.3. SVM-Based Prediction Model
3.4. Other Prediction Models
3.5. Comparison between Various Machine Learning Models
4. Challenges and Suggested Improvements
- (1)
- The mathematical curve model can only consider the influence of a few factors on concrete carbonation, and the prediction accuracy of a single curve model is often not high. The future development direction may be to combine various curve models to develop a unified curve model which can be applied to predict the carbonation depth of concrete under various environmental conditions;
- (2)
- Although many mathematical theoretical models have been developed, there are few models with small errors that can be widely applied in practical engineering. In the future, attention should be paid to starting the mathematical curve model from engineering practice, which can have a practical application significance;
- (3)
- The SVM prediction models can better handle small sample size datasets, while ANN and DT prediction models are more suitable for analyzing large sample size datasets. The future development trend is to combine advanced intelligent optimization algorithms with these models to improve their learning ability and application scope;
- (4)
- At present, the machine learning model needs to use a lot of experimental data to train for obtaining the prediction ability. Therefore, the accuracy of experimental data and the size of sample set have a decisive influence on the prediction accuracy of machine learning model. In the future, the intelligent level of machine learning models can be further improved by deep learning algorithm, so as to enhance the ability of these models to resist data measurement noise;
- (5)
- In the case of less experimental data, more data can be generated by using the appropriate mathematical curve model for the training of machine learning model. By combining the curve model with the machine learning model, a mature and reliable evaluation method of concrete carbonation depth with less experiment cost is expected to be developed.
5. Conclusions
- (1)
- The advantage of the mathematical curve model is that it can directly establish the functional relationship between carbonation depth of concrete and interested factors. Each parameter in the mathematical theoretical model has a clear physical meaning and is easy to solve. Therefore, the mathematical curve model is simpler than the machine learning model in application. However, a single curve model cannot effectively reflect the influence of different factors on concrete carbonation. The result of this is that each curve model can only be applied to carbonation evaluation under a certain environmental condition;
- (2)
- The ANNs are algorithms that simulate actual neural processes, allowing for direct learning, data analysis, and relatively complex modeling processes containing outliers. They have the advantages of good universality and a solid structural foundation and are one of the most widely used algorithms in various fields. However, due to the slow convergence speed of the ANN-model learning algorithms and the inability to obtain theoretical support for selecting the number of hidden nodes in the network, some uncertain factors may arise during the training process, resulting in local errors;
- (3)
- The DT is a machine learning approach for extracting knowledge from databases and creating prediction models. The results are simple to understand despite the technical complexity of building the DT. This model can give prediction results in a set of rules and eliminate the need for sophisticated calculations in data categorization. In addition, DTs can highlight the most important factors or contexts influencing prediction and categorization;
- (4)
- The SVM is a machine learning approach that has demonstrated significant potential for forecasting concrete carbonation depth. However, the efficacy of SVM models is heavily determined by the kernel function used. It is critical to pick a suitable kernel function to obtain excellent results using SVM models. Furthermore, incorporating optimization approaches into SVM models can considerably improve their efficiency, accuracy, and computing speed;
- (5)
- The outstanding advantage of machine learning model is that it can consider the influence of many factors such as concentration, water–cement ratio, temperature, humidity, and compressive strength on concrete carbonation at the same time. However, the efficiency of machine learning approaches primarily depends on the dataset quality used during training, and these methods cannot adequately capture the particular carbonation process and its underlying mechanism.
Author Contributions
Funding
Data Availability Statement
Conflicts of Interest
References
- Shah, V.; Mackechnie, J.; Scott, A. Determination of carbonation resistance of concrete through a combination of cement content and tortuosity. J. Build. Eng. 2022, 60, 105176. [Google Scholar] [CrossRef]
- Pei, X.J. Research progress on concrete carbonation and prediction models. China Cement 2016, 3, 78–81. [Google Scholar] [CrossRef]
- Liu, L.L. Research on the Absorption of CO2 by Freshly Mixed Cement Slurry and Its Reverse Mechanism; China University of Mining and Technology: Xuzhou, China, 2021. [Google Scholar] [CrossRef]
- Felix, E.F.; Carrazedo, R.; Possan, E. Carbonation model for fly ash concrete based on artificial neural network: Development and parametric analysis. Constr. Build. Mater. 2021, 266, 121050. [Google Scholar] [CrossRef]
- Ventura, A.; Ta, V.L.; Kiessé, T.S.; Bonnet, S. Design of concrete: Setting a new basis for improving both durability and environmental performance. J. Ind. Ecol. 2021, 25, 233–247. [Google Scholar] [CrossRef]
- Medvedev, V.; Pustovgar, A. A Review of Concrete Carbonation and Approaches to Its Research under Irradiation. Buildings 2023, 13, 1998. [Google Scholar] [CrossRef]
- Chen, G.; Lv, Y.; Zhang, Y.; Yang, M. Carbonation depth predictions in concrete structures under changing climate condition in China. Eng. Fail. Anal. 2021, 119, 104990. [Google Scholar] [CrossRef]
- Taffese, W.Z.; Sistonen, E.; Puttonen, J. CaPrM: Carbonation prediction model for reinforced concrete using machine learning methods. Constr. Build. Mater. 2015, 100, 70–82. [Google Scholar] [CrossRef]
- Malami, S.I.; Akpinar, P.; Lawan, M.M. Preliminary investigation of carbonation problem progress in concrete buildings of north Cyprus. In Proceedings of the MATEC Web of Conferences, Kuala Lumpur, Malaysia, 13–14 August 2018; p. 20306007. [Google Scholar]
- Jiang, C.; Gu, X.; Huang, Q.; Zhang, W. Carbonation depth predictions in concrete bridges under changing climate conditions and increasing traffic loads. Cem. Concr. Compos. 2018, 93, 140–154. [Google Scholar] [CrossRef]
- Forsdyke, J.C.; Lees, J.M. Model fitting to concrete carbonation data with non-zero initial carbonation depth. Mater. Struct. 2023, 56, 22. [Google Scholar] [CrossRef]
- Fuhaid, A.F.A.; Niaz, A. Carbonation and corrosion problems in reinforced concrete structures. Buildings 2022, 12, 586. [Google Scholar] [CrossRef]
- Jeong, H.; Jung, B.J.; Kim, J.H.; Seo, S.Y.; Kim, K.S. Development and assessment of Nile blue-immobilized pH sensor to monitor the early stage of concrete carbonation. J. Build. Eng. 2022, 62, 105319. [Google Scholar] [CrossRef]
- Lele, H.R.F.; Beushausen, H.; Alexander, M.G. A practical carbonation model for service life design of reinforced concrete structures. Sci. Afr. 2023, 20, e01677. [Google Scholar]
- Xu, Z.; Zhang, Z.; Huang, J.; Yu, K.; Zhong, G.; Chen, F.; Chen, X.; Yang, W.; Wang, Y. Effects of temperature, humidity and CO2 concentration on carbonation of cement-based materials: A review. Constr. Build. Mater. 2022, 346, 128399. [Google Scholar] [CrossRef]
- Luo, L. World Meteorological Organization Released ‘Global Climate Conditions in 2021’. China Meteorological News, 23 May 2022. [Google Scholar] [CrossRef]
- Liu, X. Greenhouse Gas Concentration and Sea Level Height Hit Records Last Year. Tech. Daily, 2 September 2022. [Google Scholar] [CrossRef]
- Wu, X. Review of enterprise carbon risk and its management research. Enterp. Reform Manag. 2024, 2, 9–11. [Google Scholar] [CrossRef]
- Carino, N.J.; Lew, H.S. The Maturity Method: From Theory to Application. Structures 2001, A Structural Engineering Odyssey. 2001; pp. 1–19. Available online: https://tsapps.nist.gov/publication/get_pdf.cfm?pub_id=860356 (accessed on 18 February 2024).
- Viviani, M.; Glisic, B.; Smith, I.F. Three-day prediction of concrete compressive strength evolution. ACI Mater. J. 2005, 102, 231–236. [Google Scholar]
- Yang, Y.; Chen, F. Strength development and evaluation of high-strength concrete at early age. China Concr. Cem. Prod. 2004, 137, 1–4. [Google Scholar]
- Zhao, S.; Zhao, Y.; Chen, H.; Liu, S.; Sun, Y. Application and study on time-dependent compressive strength and elastic modulus of C50 pumping concrete. Concrete 2015, 303, 98–101. [Google Scholar]
- Yang, Q.; Wang, X.; Peng, X.; Qin, F. General Curve Model for Evaluating Mechanical Properties of Concrete at Different Ages. Coatings 2023, 13, 2002. [Google Scholar] [CrossRef]
- Peng, X.; Yang, Q.; Cao, H.; Wang, H. Mathematical Model for Early-Aged UHPFRC Compressive Strength Changes. Coatings 2023, 13, 525. [Google Scholar] [CrossRef]
- Zhang, K.; Xiao, J. Prediction model of carbonation depth for recycled aggregate concrete. Cem. Concr. Compos. 2018, 88, 86–99. [Google Scholar] [CrossRef]
- Jiang, L.; Lin, B.; Cai, Y. A model for predicting carbonation of high-volume fly ash concrete. Cem. Concr. Res. 2000, 30, 699–702. [Google Scholar] [CrossRef]
- Ekolu, S.O. Model for natural carbonation prediction (NCP): Practical application worldwide to real life functioning concrete structures. Eng. Struct. 2020, 224, 111126. [Google Scholar] [CrossRef]
- Silva, R.; Silva, A.; Neves, R.; De Brito, J. Statistical modeling of carbonation in concrete incorporating recycled aggregates. J. Mater. Civ. Eng. 2016, 28, 04015082. [Google Scholar] [CrossRef]
- Walraven, J. fib Model Code for Concrete Structures 2010, mastering challenges and encountering new ones. Struct. Concr. 2013, 14, 3–9. [Google Scholar] [CrossRef]
- Atiş, C.D. Accelerated carbonation and testing of concrete made with fly ash. Constr. Build. Mater. 2003, 17, 147–152. [Google Scholar] [CrossRef]
- Papadakis, V.G.; Vayenas, C.G.; Fardis, M.N. Fundamental modeling and experimental investigation of concrete carbonation. Mater. J. 1991, 88, 363–373. [Google Scholar]
- Zhang, D.L.; Ning, Z.J.; Zheng, X.M.; Han, G.Q. Research progress on life prediction of reinforced concrete structures in complex environments. Concrete 2023, 8, 8–13+22. [Google Scholar]
- Hashim, F.A.; Mostafa, R.R.; Hussien, A.G.; Mirjalili, S.; Sallam, K.M. Fick’s Law Algorithm: A physical law-based algorithm for numerical optimization. Knowl.-Based Syst. 2023, 260, 110146. [Google Scholar] [CrossRef]
- Alexeyev, C.H. Corrosion and Protection of Reinforcement in Reinforced Concrete Structures; Huang, X.; Wu, X.; Jiang, R., Translators; Architecture Industry Press: Beijing, China, 1983. [Google Scholar]
- Papadakis, V.G. Effect of supplementary cementing materials on concrete resistance against carbonation and chloride ingress. Cem. Concr. Res. 2000, 30, 291–299. [Google Scholar] [CrossRef]
- Koichi, K. Durability of Iron Reinforced Concrete; Hiroshima Institute of Construction Technology Press: Hiroshima, Japan, 1963. [Google Scholar]
- Czarnecki, L.; Woyciechowski, P. Concrete carbonation as a limited process and its relevance to concrete cover thickness. ACI Mater. J. 2012, 109, 275. [Google Scholar]
- Papadakis, V.; Vayenas, C.; Fardis, M. Physical and chemical characteristics affecting the durability of concrete. ACI Mater. J. 1991, 88, 186–196. [Google Scholar]
- Papadakis, V.G.; Vayenas, C.G.; Fardis, M.N. Experimental investigation and mathematical modeling of the concrete carbonation problem. Chem. Eng. Sci. 1991, 46, 1333–1338. [Google Scholar] [CrossRef]
- Possan, E.; Andrade, J.; Dal Molin, D.; Ribeiro, J. Model to estimate concrete carbonation depth and service life prediction. Hygrothermal Behav. Build. Pathol. 2021, 67–97. [Google Scholar] [CrossRef]
- Liang, M.T.; Qu, W.; Liang, C.-H. Mathematical modeling and prediction method of concrete carbonation and its applications. J. Mar. Sci. Technol. 2002, 10, 128–135. [Google Scholar] [CrossRef]
- Ekolu, S.O. Model for practical prediction of natural carbonation in reinforced concrete: Part 1-formulation. Cem. Concr. Compos. 2018, 86, 40–56. [Google Scholar] [CrossRef]
- Liang, M.-T.; Lin, S.-M. Mathematical modeling and applications for concrete carbonation. J. Mar. Sci. Technol. 2003, 11, 3. [Google Scholar] [CrossRef]
- Lu, C.H.; Wu, W.L.; Zhao, Y.G. Research on prediction models for carbonation depth of concrete and prestressed concrete structures. J. Railw. Sci. Eng. 2015, 12, 368–375. [Google Scholar]
- Li, B.; Tian, T.; Jin, N.G.; Jin, X.Y. A prediction model for concrete carbonation depth based on cement hydration. J. Water Resour. 2015, 46, 109–117. [Google Scholar]
- Krogh, A. What are artificial neural networks? Nat. Biotechnol. 2008, 26, 195–197. [Google Scholar] [CrossRef]
- ASCE Task Committee on Application of Artificial Neural Networks in Hydrology. Artificial neural networks in hydrology. I: Preliminary concepts. J. Hydrol. Eng. 2000, 5, 115–123. [Google Scholar] [CrossRef]
- Wang, X.D.; Ouyang, P. A review of the application of artificial neural networks in the field of concrete structures. Low Temp. Build. Technol. 2022, 44, 75–78. [Google Scholar]
- Topcu, I.B.; Sarıdemir, M. Prediction of properties of waste AAC aggregate concrete using artificial neural network. Comput. Mater. Sci. 2007, 41, 117–125. [Google Scholar] [CrossRef]
- Yang, X.; Yu, J.; Dong, Z.; Zhao, A.; Wei, T. Research on Concrete Carbonation Depth Prediction Algorithm Based on BP-AR. IOP Conf. Ser. Earth Environ. Sci. 2019, 242, 062019. [Google Scholar] [CrossRef]
- Luo, D.; Niu, D.; Dong, Z. Application of Neural Network for Concrete Carbonation Depth Prediction. 2014. Available online: https://docs.lib.purdue.edu/cgi/viewcontent.cgi?article=1058&context=icdcs (accessed on 18 February 2024).
- Wei, Y.; Chen, P.; Cao, S.; Wang, H.; Liu, Y.; Wang, Z.; Zhao, W. Prediction of Carbonation Depth for Concrete Containing Mineral Admixtures Based on Machine Learning. Arab. J. Sci. Eng. 2023, 48, 13211–13225. [Google Scholar] [CrossRef]
- Concha, N.C. A robust carbonation depth model in recycled aggregate concrete (RAC) using neural network. Expert Syst. Appl. 2024, 237, 121650. [Google Scholar] [CrossRef]
- Liu, X.F.; Gui, Z.R.; Gan, J.Y.; Liang, S.F. Prediction of Concrete Carbonization Based on WOA-BP Network Model. Shanxi Archit. 2023, 49, 125–129. [Google Scholar]
- Gan, H.L.; Guo, R.K. Prediction of Concrete Carbonization Depth Based on PCA-BP Principle. Technol. Bull. 2019, 35, 144–149+154. [Google Scholar]
- Bu, N.; Yang, G.; Zhao, H. Prediction of concrete carbonization depth based on DE-BP neural network. In Proceedings of the 2009 Third International Symposium on Intelligent Information Technology Application, Nanchang, China, 21–22 November 2009; Volume 3, pp. 240–243. [Google Scholar]
- Feng, Z.J.; Li, C.L.; Ren, Z.Z. A review of the application of artificial neural network models in the field of concrete. South. Agric. Mach. 2019, 50, 206–207. [Google Scholar]
- Gao, P.X.; Yu, J.Q.; Niu, D.T.; Dong, Z.P.; Luo, D.M. Research and application of neural networks in predicting the depth of concrete carbonation. Comput. Eng. Appl. 2014, 50, 238–241+250. [Google Scholar]
- Akpinar, P.; Uwanuakwa, I.D. Intelligent prediction of concrete carbonation depth using neural networks. Bull. Transilv. Univ. Bras. Ser. III Math. Comput. Sci. 2016, 9, 99–108. [Google Scholar]
- Akpinar, P.; Uwanuakwa, I. Investigation of the parameters influencing progress of concrete carbonation depth by using artificial neural networks. Mater. Construcción 2020, 70, e209. [Google Scholar] [CrossRef]
- Kellouche, Y.; Boukhatem, B.; Ghrici, M.; Tagnit-Hamou, A. Exploring the major factors affecting fly-ash concrete carbonation using artificial neural network. Neural Comput. Appl. 2019, 31, 969–988. [Google Scholar] [CrossRef]
- Londhe, S.; Kulkarni, P.; Dixit, P.; Silva, A.; Neves, R.; De Brito, J. Predicting carbonation coefficient using Artificial neural networks and genetic programming. J. Build. Eng. 2021, 39, 102258. [Google Scholar] [CrossRef]
- Liu, Y.; Zhao, S.; Yi, C. The forecast of carbonation depth of concrete based on RBF neural network. In Proceedings of the 2008 Second International Symposium on Intelligent Information Technology Application, Shanghai, China, 20–22 December 2008; Volume 3, pp. 544–548. [Google Scholar]
- Felix, E.F.; Possan, E.; Carrazedo, R. Analysis of training parameters in the ANN learning process to mapping the concrete carbonation depth. J. Build. Pathol. Rehabil. 2019, 4, 16. [Google Scholar] [CrossRef]
- Tran, V.Q. Using Artificial neural network containing two hidden layers for predicting carbonation depth of concrete. In CIGOS 2021, Emerging Technologies and Applications for Green Infrastructure: Proceedings of the 6th International Conference on Geotechnics, Civil Engineering and Structures; Springer: Berlin/Heidelberg, Germany, 2022; pp. 1945–1952. [Google Scholar]
- Topçu, İ.B.; Boğa, A.R.; Hocaoğlu, F.O. Modeling corrosion currents of reinforced concrete using ANN. Autom. Constr. 2009, 18, 145–152. [Google Scholar] [CrossRef]
- Firouzi, A.; Rahai, A. An integrated ANN-GA for reliability based inspection of concrete bridge decks considering extent of corrosion-induced cracks and life cycle costs. Sci. Iran. 2012, 19, 974–981. [Google Scholar] [CrossRef]
- Bengio, Y.; Courville, A.; Vincent, P. Representation learning: A review and new perspectives. IEEE Trans. Pattern Anal. Mach. Intell. 2013, 35, 1798–1828. [Google Scholar] [CrossRef] [PubMed]
- Lee, H.; Lee, H.-S.; Suraneni, P. Evaluation of carbonation progress using AIJ model, FEM analysis, and machine learning algorithms. Constr. Build. Mater. 2020, 259, 119703. [Google Scholar] [CrossRef]
- Fan, C.Y.; Chang, P.C.; Lin, J.J.; Hsieh, J.C. A hybrid model combining case-based reasoning and fuzzy decision tree for medical data classification. Appl. Soft Comput. 2011, 11, 632–644. [Google Scholar] [CrossRef]
- Tung, K.Y.; Huang, C.; Chen, S.L.; Shih, C.T. Mining the Generation Xers’ job attitudes by artificial neural network and decision tree—Empirical evidence in Taiwan. Expert Syst. Appl. 2005, 29, 783–794. [Google Scholar] [CrossRef]
- Yu, Z.; Haghighat, F.; Fung, B.C.; Yoshino, H. A decision tree method for building energy demand modeling. Energy Build. 2010, 42, 1637–1646. [Google Scholar] [CrossRef]
- Deng, C.Q.; Zheng, Y.Z.; Liu, X.; Wu, P. Research and exploration of concrete rebound strength curve in Shenzhen area based on decision tree algorithm. Build. Superv. Test. Cost 2022, 15, 36–41. [Google Scholar]
- Zhang, C.H. Fine Simulation and Mechanical Behavior Analysis of Ultra-High Performance Concrete; Hunan University: Changsha, China, 2021. [Google Scholar] [CrossRef]
- DeRousseau, M.; Kasprzyk, J.; Srubar Iii, W. Computational design optimization of concrete mixtures: A review. Cem. Concr. Res. 2018, 109, 42–53. [Google Scholar] [CrossRef]
- Nisbet, R.; Elder, J.; Miner, G.D. Handbook of Statistical Analysis and Data Mining Applications; Academic Press: Cambridge, MA, USA, 2009. [Google Scholar]
- Taffese, W.; Sistonen, E.; Puttonen, J.A. Prediction of Concrete Carbonation Depth Using Decision Trees; ESANN: Bruges, Belgium, 2015. [Google Scholar]
- Tso, G.K.F.; Yau, K.K.W. Predicting electricity energy consumption: A comparison of regression analysis, decision tree and neural networks. Energy 2007, 32, 1761–1768. [Google Scholar] [CrossRef]
- Khan, M.; Khan, A.U.; Houda, M.; El Hachem, C.; Rasheed, M.; Anwar, W. Optimizing durability assessment: Machine learning models for depth of wear of environmentally-friendly concrete. Results Eng. 2023, 20, 101625. [Google Scholar] [CrossRef]
- Breiman, L. Random forests. Mach. Learn. 2001, 45, 5–32. [Google Scholar] [CrossRef]
- Cutler, A.; Cutler, D.R.; Stevens, J.R. Random forests. Ensemble Mach. Learn. Methods Appl. 2012, 157–175. [Google Scholar] [CrossRef]
- Alyami, M.; Khan, M.; Javed, M.F.; Ali, M.; Alabduljabbar, H.; Najeh, T.; Gamil, Y. Application of metaheuristic optimization algorithms in predicting the compressive strength of 3D-printed fiber-reinforced concrete. Dev. Built Environ. 2023, 17, 100307. [Google Scholar] [CrossRef]
- Marani, A.; Nehdi, M.L. Machine learning prediction of compressive strength for phase change materials integrated cementitious composites. Constr. Build. Mater. 2020, 265, 120286. [Google Scholar] [CrossRef]
- Lu, S.; Koopialipoor, M.; Asteris, P.G.; Bahri, M.; Armaghani, D.J. A novel feature selection approach based on tree models for evaluating the punching shear capacity of steel fiber-reinforced concrete flat slabs. Materials 2020, 13, 3902. [Google Scholar] [CrossRef]
- Breiman, L. Classification and Regression Trees; Routledge: New York, NY, USA, 2017. [Google Scholar]
- Wu, X.G.; Wang, L.; Deng, T.T.; Hu, Y.; Yuan, F.Y. Early carbonation prediction of concrete based on random forest. J. Civ. Eng. Manag. 2020, 37, 14–19+26. [Google Scholar]
- Londhe, S.; Kulkarni, P.; Dixit, P.; Silva, A.; Neves, R.; De Brito, J. Tree based approaches for predicting concrete carbonation coefficient. Appl. Sci. 2022, 12, 3874. [Google Scholar] [CrossRef]
- Hong, W.C.; Pai, P.F. Potential assessment of the support vector regression technique in rainfall forecasting. Water Resour. Manag. 2007, 21, 495–513. [Google Scholar] [CrossRef]
- Chen, Z.; Lin, J.; Sagoe-Crentsil, K.; Duan, W. Development of hybrid machine learning-based carbonation models with weighting function. Constr. Build. Mater. 2022, 321, 126359. [Google Scholar] [CrossRef]
- Uwanuakwa, I.D. Deep learning modelling and generalisation of carbonation depth in fly ash blended concrete. Arab. J. Sci. Eng. 2021, 46, 4731–4746. [Google Scholar] [CrossRef]
- Liu, X.; Wang, S.M.; Lu, L.; Chen, M.Z.; Di, Y. Research progress in predicting the durability of concrete materials using machine learning. J. Ceram. 2023, 51, 2062–2073. [Google Scholar]
- Zendehboudi, A.; Baseer, M.A.; Saidur, R. Application of support vector machine models for forecasting solar and wind energy resources: A review. J. Clean. Prod. 2018, 199, 272–285. [Google Scholar] [CrossRef]
- Behzad, M.; Asghari, K.; Coppola, E.A., Jr. Comparative study of SVMs and ANNs in aquifer water level prediction. J. Comput. Civ. Eng. 2010, 24, 408–413. [Google Scholar] [CrossRef]
- Suykens, J.A.; Lukas, L.; Van Dooren, P.; De Moor, B.; Vandewalle, J. Least squares support vector machine classifiers: A large scale algorithm. In Proceedings of the European Conference on Circuit Theory and Design, ECCTD, Citeseer, Stresa, Italy, 29 August–2 September 1999; Volume 99, pp. 839–842. [Google Scholar]
- Song, Y.; Xie, X.; Wang, Y.; Yang, S.; Ma, W.; Wang, P. Energy consumption prediction method based on LSSVM-PSO model for autonomous underwater gliders. Ocean Eng. 2021, 230, 108982. [Google Scholar] [CrossRef]
- Xu, Y.; Li, Y.; Ahn, C.K.; Chen, X. Seamless indoor pedestrian tracking by fusing INS and UWB measurements via LS-SVM assisted UFIR filter. Neurocomputing 2020, 388, 301–308. [Google Scholar] [CrossRef]
- Pan, X.; Xing, Z.; Tian, C.; Wang, H.; Liu, H. A method based on GA-LSSVM for COP prediction and load regulation in the water chiller system. Energy Build. 2021, 230, 110604. [Google Scholar] [CrossRef]
- Mahmoodzadeh, A.; Nejati, H.R.; Mohammadi, M.; Ibrahim, H.H.; Khishe, M.; Rashidi, S.; Ali, H.F.H. Prediction of Mode-I rock fracture toughness using support vector regression with metaheuristic optimization algorithms. Eng. Fract. Mech. 2022, 264, 108334. [Google Scholar] [CrossRef]
- Çevik, A.; Kurtoğlu, A.E.; Bilgehan, M.; Gülşan, M.E.; Albegmprli, H.M. Support vector machines in structural engineering: A review. J. Civ. Eng. Manag. 2015, 21, 261–281. [Google Scholar] [CrossRef]
- Chaabene, W.B.; Flah, M.; Nehdi, M.L. Machine learning prediction of mechanical properties of concrete: Critical review. Constr. Build. Mater. 2020, 260, 119889. [Google Scholar] [CrossRef]
- Zhang, K.; Zhang, K.; Bao, R.; Liu, X. A framework for predicting the carbonation depth of concrete incorporating fly ash based on a least squares support vector machine and metaheuristic algorithms. J. Build. Eng. 2023, 65, 105772. [Google Scholar] [CrossRef]
- Li, Z.; He, H.; Zhao, S. Research on support vector machine’s prediction of concrete carbonization. In Proceedings of the 2008 International Seminar on Business and Information Management, Wuhan, China, 19 December 2008; Volume 1, pp. 319–322. [Google Scholar]
- Xiang, R. Prediction of concrete carbonation depth based on support vector regression. In Proceedings of the 2009 Third International Symposium on Intelligent Information Technology Application, Nanchang, China, 21–22 November 2009; Volume 3, pp. 172–175. [Google Scholar]
- Moein, M.M.; Saradar, A.; Rahmati, K.; Ghasemzadeh Mousavinejad, S.H.; Bristow, J.; Aramali, V.; Karakouzian, M. Predictive models for concrete properties using machine learning and deep learning approaches: A review. J. Build. Eng. 2023, 63, 105444. [Google Scholar] [CrossRef]
- Yin, B.D. A Study on Application of Deep Learning Algorithm for the Prediction of Carbonation Rate Coefficient of the Underground Concrete Structures; Kyushu University: Fukuoka, Japan, 2021. [Google Scholar]
- Cha, Y.J.; Choi, W.; Büyüköztürk, O. Deep learning-based crack damage detection using convolutional neural networks. Comput.-Aided Civ. Infrastruct. Eng. 2017, 32, 361–378. [Google Scholar] [CrossRef]
- Larochelle, H.; Bengio, Y.; Louradour, J.; Lamblin, P. Exploring strategies for training deep neural networks. J. Mach. Learn. Res. 2009, 10, 1–40. [Google Scholar]
- You, X.; Hu, X.; He, P.; Liu, J.; Shi, C. A review on the modelling of carbonation of hardened and fresh cement-based materials. Cem. Concr. Compos. 2022, 125, 104315. [Google Scholar] [CrossRef]
- Loo, Y.; Chin, M.; Tam, C.; Ong, K. A carbonation prediction model for accelerated carbonation testing of concrete. Mag. Concr. Res. 1994, 46, 191–200. [Google Scholar] [CrossRef]
- Duprat, F.; Vu, N.T.; Sellier, A. Accelerated carbonation tests for the probabilistic prediction of the durability of concrete structures. Constr. Build. Mater. 2014, 66, 597–605. [Google Scholar] [CrossRef]
- Khunthongkeaw, J.; Tangtermsirikul, S.; Leelawat, T. A study on carbonation depth prediction for fly ash concrete. Constr. Build. Mater. 2006, 20, 744–753. [Google Scholar] [CrossRef]
- Pan, Z.; Chen, A.; Ma, R.; Wang, D.; Tian, H. Three-dimensional lattice modeling of concrete carbonation at meso-scale based on reconstructed coarse aggregates. Constr. Build. Mater. 2018, 192, 253–271. [Google Scholar] [CrossRef]
- Bao, H.; Yu, M.; Xu, L.; Saafi, M.; Ye, J. Experimental study and multi-physics modelling of concrete under supercritical carbonation. Constr. Build. Mater. 2019, 227, 116680. [Google Scholar] [CrossRef]
- Paul, S.C.; Panda, B.; Huang, Y.; Garg, A.; Peng, X. An empirical model design for evaluation and estimation of carbonation depth in concrete. Measurement 2018, 124, 205–210. [Google Scholar] [CrossRef]
- Moghaddas, S.A.; Nekoei, M.; Golafshani, E.M.; Nehdi, M.; Arashpour, M. Modeling carbonation depth of recycled aggregate concrete using novel automatic regression technique. J. Clean. Prod. 2022, 371, 133522. [Google Scholar] [CrossRef]
- Kumar, A.; Arora, H.C.; Kapoor, N.R.; Kontoni, D.P.N.; Kumar, K.; Jahangir, H.; Bhushan, B. Practical applicable model for estimating the carbonation depth in fly-ash based concrete structures by utilizing adaptive neuro-fuzzy inference system. Comput. Concr. 2023, 32, 119–138. [Google Scholar]
- Liu, J.; Bai, X. Application of Adaptive Neuro-Fuzzy Inference Systems with Principal Component Analysis Model for the Forecasting of Carbonation Depth of Reinforced Concrete Structures. Appl. Sci. 2023, 13, 5824. [Google Scholar] [CrossRef]
- Agustin, L.M.; Silva, D.L. Hybrid Neuro-Particle Swarm Model For Carbonation Depth Forecasting In Recycled Aggregate Concrete. In Proceedings of the 2023 6th International Conference on Artificial Intelligence and Big Data (ICAIBD), Chengdu, China, 26–29 May 2023; pp. 492–500. [Google Scholar]
- Hao, W.F.; Gu, J.Z.; Tang, C. Study on carbonation depth of prestressed concrete using wavelet support vector machine. Ind. Archit. 2009, 39, 931–934. [Google Scholar]
- Liu, K.; Alam, M.S.; Zhu, J.; Zheng, J.; Chi, L. Prediction of carbonation depth for recycled aggregate concrete using ANN hybridized with swarm intelligence algorithms. Constr. Build. Mater. 2021, 301, 124382. [Google Scholar] [CrossRef]





| Model | Application Scope and Reliability |
|---|---|
| Model of Ref. [25]: : the water absorption rate of the aggregate; : temperature; , where represents relative humidity; : the execution transfer parameter; : the 28 day compressive strength (MPa); : the water content; : the cement content; : the concentration of ; : a constant parameter. Parameters to be measured in application: , , , |
|
| Model of Ref. [28], : the clinker content (); : the content of (%); : the equivalent water absorption rate of aggregate mixture (%). Parameters to be measured in application: , , |
|
| Model of Ref. [34], : the effective diffusion coefficient of in concrete; : the concentration of in the environment; : the absorption per unit of concrete. Parameters to be measured in application: , |
|
| Model of Ref. [35], , , , and : the initial concentrations of , , , and , respectively. Parameters to be measured in application: , , , , |
|
| Model of Ref. [36], : the coefficient of influence of cement variety; : the coefficient of influence of aggregate variety; : the coefficient of influence of concrete additives; : the water–cement ratio of concrete. Parameters to be measured in application: |
|
| Model of Ref. [37], : the water–cement ratio of concrete. Parameters to be measured in application: |
|
| Abbreviations of Professional Nouns | |
|---|---|
| Adaptive network fuzzy inference system | ANFIS |
| Artificial bee colony expression programming | ABCEP |
| Artificial neural network | ANN |
| Back propagation | BP |
| Back propagation differential evolution | DE-BP |
| Decision tree | DT |
| Convolutional neural network | CNN |
| Deep neural network | DNN |
| Genetic programming | GP |
| Least squares support vector machine | LSSVM |
| Multi-gene genetic programming | MGGP |
| Multiple linear regression | MLR |
| Particle swarm optimization | PSO |
| Principal component analysis | PCA |
| Radial basis function | RBF |
| Random forest | RF |
| Recycled aggregate concrete | RAC |
| Support vector machine | SVM |
| Support vector regression | SVR |
| Wavelet neural network | WNN |
| Whale algorithm | WOA |
| Model | Advantage | Defect |
|---|---|---|
| ANN |
|
|
| DT |
|
|
| SVM |
|
|
Disclaimer/Publisher’s Note: The statements, opinions and data contained in all publications are solely those of the individual author(s) and contributor(s) and not of MDPI and/or the editor(s). MDPI and/or the editor(s) disclaim responsibility for any injury to people or property resulting from any ideas, methods, instructions or products referred to in the content. |
© 2024 by the authors. Licensee MDPI, Basel, Switzerland. This article is an open access article distributed under the terms and conditions of the Creative Commons Attribution (CC BY) license (https://creativecommons.org/licenses/by/4.0/).
Share and Cite
Wang, X.; Yang, Q.; Peng, X.; Qin, F. A Review of Concrete Carbonation Depth Evaluation Models. Coatings 2024, 14, 386. https://doi.org/10.3390/coatings14040386
Wang X, Yang Q, Peng X, Qin F. A Review of Concrete Carbonation Depth Evaluation Models. Coatings. 2024; 14(4):386. https://doi.org/10.3390/coatings14040386
Chicago/Turabian StyleWang, Xinhao, Qiuwei Yang, Xi Peng, and Fengjiang Qin. 2024. "A Review of Concrete Carbonation Depth Evaluation Models" Coatings 14, no. 4: 386. https://doi.org/10.3390/coatings14040386
APA StyleWang, X., Yang, Q., Peng, X., & Qin, F. (2024). A Review of Concrete Carbonation Depth Evaluation Models. Coatings, 14(4), 386. https://doi.org/10.3390/coatings14040386

