Corrosion Behavior of the 2024 Aluminum Alloy in the Atmospheric Environment of the South China Sea Islands
Abstract
1. Introduction
2. Materials and Methods
2.1. Materials
2.2. Atmospheric Corrosion Test
2.3. Morphology Observation
2.4. Phase Analysis
2.5. Electrochemical Test
2.5.1. AC Impedance Test (EIS)
2.5.2. Polarization Test
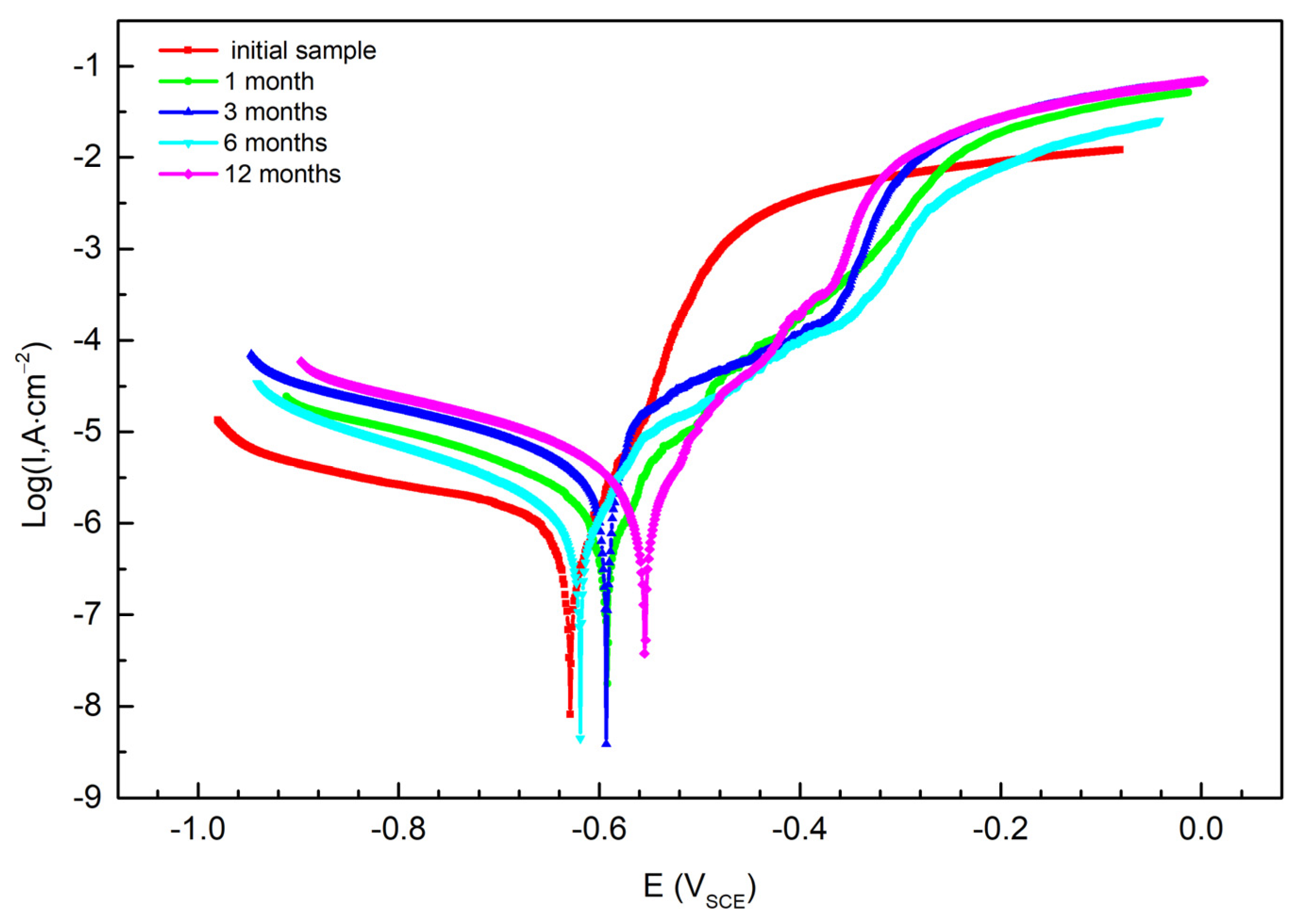
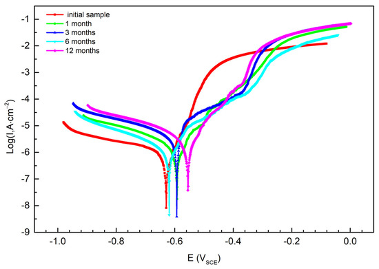
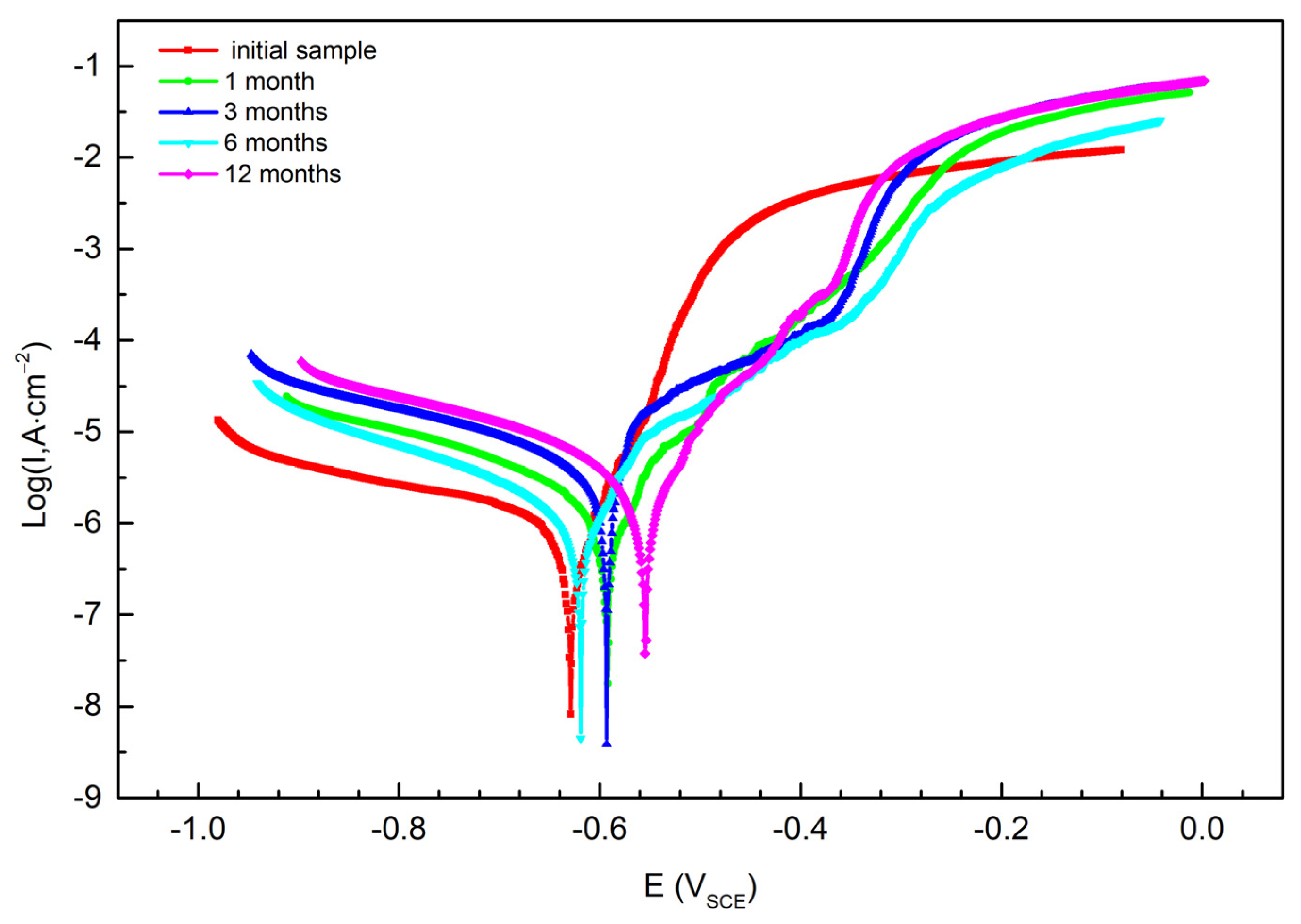
3. Results and Discussion
3.1. Corrosion Kinetics
3.2. Surface Morphologies
3.3. Phase Analysis
3.4. EIS Analysis
3.5. Corrosion Mechanism
3.5.1. The Initiation of Pitting Corrosion
3.5.2. Spalling of the Corrosion Products
4. Conclusions
Author Contributions
Funding
Institutional Review Board Statement
Informed Consent Statement
Data Availability Statement
Conflicts of Interest
References
- Johnson, J.B.; Elliott, P.; Winterbottom, M.A.; Wood, G.C. Short-term atmospheric corrosion of mild steel at two weather and pollution monitored sites. Corros. Sci. 1977, 17, 691–700. [Google Scholar] [CrossRef]
- Chen, Z.; Xu, W.; Zhou, J. Mechanical performance of marine concrete filled CFRP-aluminum alloy tube columns under axial compression: Experiment and finite element analysis. Eng. Struct. 2022, 272, 114993. [Google Scholar] [CrossRef]
- Yan, X.F.; Ahmed, M.; He, M.N. Behavior and design of axially loaded high-strength concrete-filled circular aluminum tubular short columns. Structures 2022, 44, 357–371. [Google Scholar] [CrossRef]
- Zhou, F.; Young, B. Concrete-filled double-skin aluminum circular hollow section stub columns. Thin-Walled Struct. 2018, 133, 141–152. [Google Scholar] [CrossRef]
- Tao, J.; Xiang, L.; Zhang, Y.; Zhao, Z.; Su, Y.; Chen, Q.; Sun, J.; Huang, B.; Peng, F. Corrosion Behavior and Mechanical Performance of 7085 Aluminum Alloy in a Humid and Hot Marine Atmosphere. Materials 2022, 15, 7503. [Google Scholar] [CrossRef]
- Friel, J.J. Atmospheric Corrosion Products on Al, Zn, and AlZn Metallic Coatings. Corrosion 1986, 42, 422–426. [Google Scholar] [CrossRef]
- Scherrer, C.J.; Mauleon, J.L.; Gmerek, J.D. Compositions for Inhibiting the Corrosion of Metals. U.S. Patent 3,981,780, 21 September 1976. [Google Scholar]
- Vermilyea, D.A. Discussion of “Natural and Thermally Formed Oxide Films on Aluminum” [M. S. Hunter and P. Fowle (pp. 482–485, Vol. 103)]. J. Electrochem. Soc. 1957, 104, 394. [Google Scholar] [CrossRef]
- Sun, S.; Zheng, Q.; Li, D.; Wen, J. Long-term atmospheric corrosion behaviour of aluminium alloys 2024 and 7075 in urban, coastal and industrial environments. Corros. Sci. 2009, 51, 719–727. [Google Scholar] [CrossRef]
- Zhang, S.; Zhang, T.; He, Y.; Feng, Y.; Du, X.; Ma, B.; Zhang, T. Effect of coastal atmospheric corrosion on fatigue properties of 2024-T4 aluminum alloy structure. J. Alloys Compd. 2019, 802, 511–521. [Google Scholar] [CrossRef]
- Sun, S.; Zheng, Q.; Li, D.; Hu, S.; Wen, J. Exfoliation corrosion of extruded 2024-T4 in the coastal environments in China. Corros. Sci. 2011, 53, 2527–2538. [Google Scholar] [CrossRef]
- Mao, Y.; Zhu, Y.; Deng, C.-M.; Sun, S.; Xia, D.-H. Analysis of localized corrosion mechanism of 2024 aluminum alloy at a simulated marine splash zone. Eng. Fail. Anal. 2022, 142, 106759. [Google Scholar] [CrossRef]
- Zhou, J.; Wang, B.; Liu, C.; Liu, J. Effect of static elastic stress on the corrosion behavior of 7A04 aluminum alloy exposed to real marine atmospheric environment. J. Mater. Res. Technol. 2023, 26, 8197–8212. [Google Scholar] [CrossRef]
- Zhao, H.; Chen, X.; Xinjieyuan; Lilizhou; Wang, X. Effect of Different Sealing Treatments of Oxide Films on Corrosion Resistance of Anodized ZL101A Aluminum Alloy in Simulated Marine Atmospheric Environment. Int. J. Electrochem. Sci. 2022, 17, 220851. [Google Scholar] [CrossRef]
- Zhao, Q.; Guo, C.; Niu, K.; Zhao, J.; Huang, Y.; Li, X. Long-term corrosion behavior of the 7A85 aluminum alloy in an industrial-marine atmospheric environment. J. Mater. Res. Technol. 2021, 12, 1350–1359. [Google Scholar] [CrossRef]
- Bonfils-Lahovary, M.; Laffont, L.; Blanc, C. Characterization of intergranular corrosion defects in a 2024 T351 aluminium alloy. Corros. Sci. 2017, 119, 60–67. [Google Scholar] [CrossRef]
- Zhang, B.; Wang, Y.; Wan, H.; Deng, J.; Li, W.; Liu, F. Actual Xisha marine atmospheric corrosion behavior of 30CrMnSiA steel in different parts of the aircraft. Eng. Fail. Anal. 2023, 154, 107684. [Google Scholar] [CrossRef]
- Wan, H.; Song, D. Corrosion failure process of organic conductive coating on Mg-RE alloy with PEO in the simulated Xisha atmospheric solution. Mater. Chem. Phys. 2022, 291, 126771. [Google Scholar] [CrossRef]
- Wan, H.; Cai, Y.; Song, D.; Li, T. Investigation of corrosion behavior of Mg-6Gd-3Y-0.4Zr alloy in Xisha atmospheric simulation solution. Ocean Eng. 2020, 195, 106760. [Google Scholar] [CrossRef]
- ISO 9223-2012; Corrosion of Metals and Alloys, Corrosivity of Atmospheres-Classification. ISO: Geneva, Switzerland, 2012.
- Xiao, A.; Lin, Y.; Huang, C.; Cui, X.; Yan, Z.; Du, Z. Effect of electromagnetic forming–heat treatment process on mechanical and corrosion properties of 2024 aluminum alloy. J. Mater. Res. Technol. 2023, 23, 1027–1038. [Google Scholar] [CrossRef]
- Wang, T.; Huang, Y.; Ma, Y.; Wu, L.; Yan, H.; Liu, C.; Liu, Y.; Liu, B.; Liu, W. Microstructure and mechanical properties of powder metallurgy 2024 aluminum alloy during cold rolling. J. Mater. Res. Technol. 2021, 15, 3337–3348. [Google Scholar] [CrossRef]
- Zhang, S.; Zhang, T.; He, Y.; Liu, D.; Wang, J.; Du, X.; Ma, B. Long-term atmospheric corrosion of aluminum alloy 2024-T4 in coastal environment: Surface and sectional corrosion behavior. J. Alloys Compd. 2019, 789, 460–471. [Google Scholar] [CrossRef]
- Li, X.; Deng, S.; Xie, X. Experimental and theoretical study on corrosion inhibition of oxime compounds for aluminium in HCl solution. Corros. Sci. 2014, 81, 162–175. [Google Scholar] [CrossRef]
- Li, X.; Deng, S.; Lin, T.; Xie, X.; Du, G. Cassava starch-sodium allylsulfonate-acryl amide graft copolymer as an effective inhibitor of aluminum corrosion in HCl solution. J. Taiwan Inst. Chem. Eng. 2018, 86, 252–269. [Google Scholar] [CrossRef]
- Abd El Rehim, S.S.; Hassan, H.H.; Amin, M.A. Corrosion inhibition study of pure Al and some of its alloys in 1.0 M HCl solution by impedance technique. Corros. Sci. 2004, 46, 5–25. [Google Scholar] [CrossRef]
- Lenderink, H.J.W.; Linden, M.V.D.; De Wit, J.H.W. Corrosion of aluminium in acidic and neutral solutions. Electrochim. Acta 1993, 38, 1989–1992. [Google Scholar] [CrossRef]
- Noor, E.A. Evaluation of inhibitive action of some quaternary N-heterocyclic compounds on the corrosion of Al-Cu alloy in hydrochloric acid. Mater. Chem. Phys. 2009, 114, 533–541. [Google Scholar] [CrossRef]
- Nikravesh, B.; Ramezanzadeh, B.; Sarabi, A.A.; Kasiriha, S.M. Evaluation of the corrosion resistance of an epoxy-polyamide coating containing different ratios of micaceous iron oxide/Al pigments. Corros. Sci. 2011, 53, 1592–1603. [Google Scholar] [CrossRef]
- Zhang, J.; Zhu, Q.; Wang, Z.; Wang, X.; Yan, J. Flake-like ZnAl alloy powder modified waterborne epoxy coatings with enhanced corrosion resistance. Prog. Org. Coat. 2023, 175, 107367. [Google Scholar] [CrossRef]
- Yuan, X.; Yue, Z.F.; Chen, X.; Wen, S.F.; Li, L.; Feng, T. The protective and adhesion properties of silicone-epoxy hybrid coatings on 2024 Al-alloy with a silane film as pretreatment. Corros. Sci. 2016, 104, 84–97. [Google Scholar] [CrossRef]
- Sahu, B.P.; Sarangi, C.K.; Mitra, R. Effect of Zr content on structure property relations of Ni-Zr alloy thin films with mixed nanocrystalline and amorphous structure. Thin Solid Film. 2018, 660, 31–45. [Google Scholar] [CrossRef]












| Element | Cu | Mg | Mn | Cr | Zn | Al |
|---|---|---|---|---|---|---|
| Content | 3.8–4.9 | 1.2–1.8 | 0.3–1.0 | 0.1 | 0.25 | Bal. |
| Average Temperature (°C) | Average Humidity (%) | Sunshine Duration (h/a) | Total Rainfall (mm/a) | Surface Wetting Time (h/a) | Cl− Deposition Rate (mg/100 cm2·d) |
|---|---|---|---|---|---|
| 26–27 | 80 | 2800 | 1500 | 2628 | 1.0 |
| Area | O | Al | Mg | Cu | Mn |
|---|---|---|---|---|---|
| a | 17.85 | 78.18 | 1.52 | 2.23 | 0.23 |
| b | 71.56 | 25.04 | 1.2 | 0.8 | 0.12 |
| c | 71.77 | 26.5 | 1.31 | 0.3 | 0.12 |
| d | 70.85 | 25.13 | 2.61 | 0.95 | 0.38 |
| e | 70.72 | 25.2 | 1.95 | 1.84 | 0.29 |
| Samples | Rs (Ω·cm2) | Q (×106 Ω−1·cm−2) | n | R1 (kΩ·cm2) | L (H·cm2) | R2 (kΩ·cm2) |
|---|---|---|---|---|---|---|
| Initial samples | 18.72 | 52.1 | 0.81 | 18.36 | 6.175 × 105 | 2.1 |
| Samples | Rs (Ω·cm2) | Q1 (×106 Ω−1·cm−2) | n1 | R1 (kΩ·cm2) | R2 | Q2 (kΩ·cm2) | n2 | R3 (kΩ·cm2) |
|---|---|---|---|---|---|---|---|---|
| 1 month | 6.97 | 15.36 | 0.55 | 9.51 | 2.35 | 132.7 | 0.73 | 0.6 |
| 3 months | 7.93 | 4.716 | 0.84 | 4.58 | 3.74 | 60.61 | 0.79 | 1.91 |
| Samples | Rs (Ω·cm2) | Q1 (×106 Ω−1·cm−2) | n1 | R1 (kΩ·cm2) | Q2 (kΩ·cm−2) | n2 | R2 (kΩ·cm2) |
|---|---|---|---|---|---|---|---|
| 6 months | 4.64 | 38.19 | 0.75 | 12.51 | 90.73 | 0.75 | 5.23 |
| Samples | Ecorr (mV vs. SCE) | Icorr (μA/cm2) | Corrosion Rate (μm/year) |
|---|---|---|---|
| Initial samples | −629 | 0.456 | 4.97 |
| 1 month | −592 | 1.387 | 15.12 |
| 3 months | −593 | 8.338 | 90.88 |
| 6 months | −619 | 2.359 | 25.71 |
| 12 months | −555 | 2.849 | 31.05 |
Disclaimer/Publisher’s Note: The statements, opinions and data contained in all publications are solely those of the individual author(s) and contributor(s) and not of MDPI and/or the editor(s). MDPI and/or the editor(s) disclaim responsibility for any injury to people or property resulting from any ideas, methods, instructions or products referred to in the content. |
© 2024 by the authors. Licensee MDPI, Basel, Switzerland. This article is an open access article distributed under the terms and conditions of the Creative Commons Attribution (CC BY) license (https://creativecommons.org/licenses/by/4.0/).
Share and Cite
Zhao, J.; Zhao, T.; Zhang, Y.; Zhang, Z.; Chen, Z.; Wang, J.; Chen, M. Corrosion Behavior of the 2024 Aluminum Alloy in the Atmospheric Environment of the South China Sea Islands. Coatings 2024, 14, 331. https://doi.org/10.3390/coatings14030331
Zhao J, Zhao T, Zhang Y, Zhang Z, Chen Z, Wang J, Chen M. Corrosion Behavior of the 2024 Aluminum Alloy in the Atmospheric Environment of the South China Sea Islands. Coatings. 2024; 14(3):331. https://doi.org/10.3390/coatings14030331
Chicago/Turabian StyleZhao, Jing, Tongjun Zhao, Yazhou Zhang, Zhongtian Zhang, Zehao Chen, Jinlong Wang, and Minghui Chen. 2024. "Corrosion Behavior of the 2024 Aluminum Alloy in the Atmospheric Environment of the South China Sea Islands" Coatings 14, no. 3: 331. https://doi.org/10.3390/coatings14030331
APA StyleZhao, J., Zhao, T., Zhang, Y., Zhang, Z., Chen, Z., Wang, J., & Chen, M. (2024). Corrosion Behavior of the 2024 Aluminum Alloy in the Atmospheric Environment of the South China Sea Islands. Coatings, 14(3), 331. https://doi.org/10.3390/coatings14030331

