Study on Microstructure and Electrochemical Properties of Mg1.6Ni1-xTi0.4Mnx (x = 0~0.3) Alloy
Abstract
1. Introduction
2. Experimental Procedure and Methods
2.1. Experimental Materials
2.2. Preparation of Alloy
2.2.1. Microstructure Analysis
2.2.2. Electrochemical Performance Test
3. Experimental Results and Discussions
3.1. Effect of Mn Addition on Phase Composition and Microstructure of Alloys
3.2. Effect of Mn Addition on the Charge/Discharge Performance of the Alloy Electrode
3.2.1. Maximum Discharge Capacity and Cycle Stability
3.2.2. High-Rate Discharges
3.3. Effect of Mn Element on Electrochemical Performance of Alloy Electrode
3.3.1. AC Impedance Testing
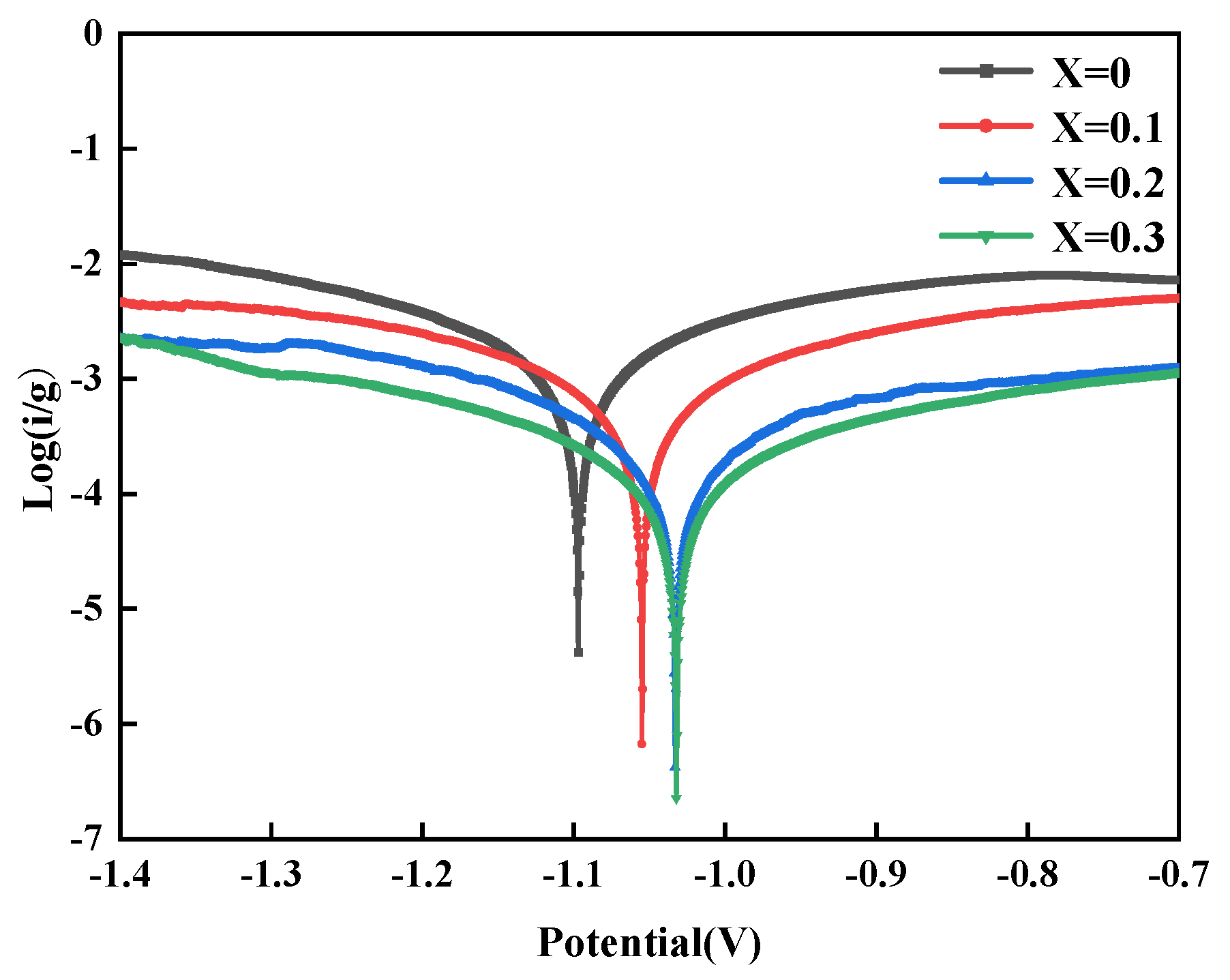
3.3.2. Corrosion Resistance Test
4. Conclusions
- Mg1.6Ni1-xTi0.4Mnx (x = 0~0.3) alloys show an apparent multiphase organization including Mg, Mg2Ni, Ni3Ti, Mg3MnNi2, and a small amount of the Ni phase. The Mg3MnNi2 phase gradually increases with increasing Mn content. The formation of this compound is due to the substitution of some of the Mg atoms in the Mg2Ni cell by Mn atoms and their combination with Ni atoms.
- The electrochemical properties of the alloys are improved with an increase in the Mn content, the maximum discharge capacity of the alloys is increased from 50.45 mAh/g without the addition of Mn to 96.67 mAh/g at x = 0.3, and the cycling stability is improved. The activation property of the alloy electrode remains unchanged, the maximum discharge capacity is reached at the first discharge, and its discharge capacity increases to 165.52 mAh/g at 50 °C.
- The high-rate discharge performance of the alloy is improved with an increase in the Mn content, especially when the discharge current density is 100 mAh/g, the improvement is more obvious, the HRD100% is increased from 46.17% without the addition of the Mn element to 55.27% when the Mn content is 0.3, and its corrosion current density is also reduced from 0.96 mA/g to 0.3 mA/g.
Author Contributions
Funding
Institutional Review Board Statement
Informed Consent Statement
Data Availability Statement
Conflicts of Interest
References
- Olabi, A.G.; Bahri, A.S.; Abdelghafar, A.A.; Baroutaji, A.; Sayed, E.T.; Alami, A.H.; Rezk, H.; Abdelkareem, M.A. Large-Vscale Hydrogen Production and Storage Technologies: Current Status and Future Directions. Int. J. Hydrogen Energy 2021, 46, 23498–23528. [Google Scholar] [CrossRef]
- Lang, C.; Jia, Y.; Yao, X. Recent Advances in Liquid-Phase Chemical Hydrogen Storage. Energy Storage Mater. 2020, 26, 290–312. [Google Scholar] [CrossRef]
- Yang, L.; Zeng, W.; Li, Y. Advancements in the Modification of Magnesium-Based Hydrogen Storage Materials. Prog. Nat. Sci. Mater. Int. 2024, 34, 540–554. [Google Scholar] [CrossRef]
- Ma, N.; Zhao, W.; Wang, W.; Li, X.; Zhou, H. Large Scale of Green Hydrogen Storage: Opportunities and Challenges. Int. J. Hydrogen Energy 2024, 50, 379–396. [Google Scholar] [CrossRef]
- Yong, H.; Yan, P.; Chen, Y.; Zhang, Q.; Wang, S.; Sheng, Z.; Hu, J. Investigation of Microstructure, Hydrogen Storage Performance of Re-Mg-Based Alloy Modified byRE2O3 (RE = Dy, Er, Yb). Process Saf. Environ. Prot. 2024, 191, 1368–1376. [Google Scholar] [CrossRef]
- Wu, H.; Ji, Y.; Chen, Y.; Zhang, Y.; Yong, H.; Zhang, Y. Microstructure, Hydrogen Storage Properties, and Thermodynamic Characterization of Ball-Milled Mg90Ni5Y5 Alloy. J. Phys. Chem. Solids 2024, 195, 112284. [Google Scholar] [CrossRef]
- Sarı, A.; Sulukan, E.; Özkan, D.; Sıdkı Uyar, T. Environmental Impact Assessment of Hydrogen-Based Auxiliary Power System Onboard. Int. J. Hydrogen Energy 2021, 46, 29680–29693. [Google Scholar] [CrossRef]
- Shu, K.; Guan, B.; Zhuang, Z.; Chen, J.; Zhu, L.; Ma, Z.; Hu, X.; Zhu, C.; Zhao, S.; Dang, H.; et al. Reshaping the Energy Landscape: Explorations and Strategic Perspectives on Hydrogen Energy Preparation, Efficient Storage, Safe Transportation and Wide Applications. Int. J. Hydrogen Energy 2025, 97, 160–213. [Google Scholar] [CrossRef]
- Li, X.; Yuan, Z.; Liu, C.; Sui, Y.; Zhai, T.; Hou, Z.; Han, Z.; Zhang, Y. Research Progress in Improved Hydrogen Storage Properties of Mg-Based Alloys with Metal-Based Materials and Light Metals. Int. J. Hydrogen Energy 2024, 50, 1401–1417. [Google Scholar] [CrossRef]
- Yan, S.; Wei, L.; Gong, Y.; Yang, K. Enhanced Hydrogen Storage Properties of Magnesium Hydride by Multifunctional Carbon-Based Materials: A Review. Int. J. Hydrogen Energy 2024, 55, 521–541. [Google Scholar] [CrossRef]
- Zhang, J.; Jin, R.S.; Pang, X.T.; Zhou, X.J.; Lu, X.Z.; Yu, L.P.; Chen, X.M.; Yu, X.B. Effect and Mechanism of Graphite Addition on Microstructures and Hydrogen Storage Properties of Mg–Y–Zn Alloy. J. Phys. Chem. Solids 2024, 195, 112283. [Google Scholar] [CrossRef]
- Hitam, C.N.C.; Aziz, M.A.A.; Ruhaimi, A.H.; Taib, M.R. Magnesium-Based Alloys for Solid-State Hydrogen Storage Applications: A Review. Int. J. Hydrogen Energy 2021, 46, 31067–31083. [Google Scholar] [CrossRef]
- Bai, J.; Tian, H.; Wu, X.; Liu, S.; Li, Y. Microstructure Characteristics, Dynamic Kinetics and Thermal Properties of Mg77+xNi20-xCe3 (x = 0, 5, 10, 15) Hydrogen Storage Alloys. Mater. Chem. Phys. 2024, 321, 129491. [Google Scholar] [CrossRef]
- Wan, C.; Zhao, S.; Wang, H. Tuning Phase Structure and Electrochemical Hydrogen Storage Properties of A5B19-Type La–Y–Ni–Mn-Based Superlattice Alloys by Partial Al Substitution. Int. J. Hydrogen Energy 2024, 49, 51–58. [Google Scholar] [CrossRef]
- Liu, C.; Yuan, Z.; Li, X.; Sui, Y.; Han, Z.; Zhai, T. Effect of Ni Content on Hydrogen Storage Properties of Nd5Mg41 Alloy. J. Energy Storage 2024, 82, 110608. [Google Scholar] [CrossRef]
- Du, Q.; Li, S.; Huang, G.; Feng, Q. Enhanced Electrochemical Kinetics of Magnesium-Based Hydrogen Storage Alloy by Mechanical Milling with Graphite. Int. J. Hydrogen Energy 2017, 42, 21871–21879. [Google Scholar] [CrossRef]
- Song, M.Y.; Kwak, Y.J.; Lee, S.H.; Song, J.; Mumm, D.R. Enhancement of Hydrogen-Storage Performance of MgH2 by Mg2Ni Formation and Hydride-Forming Ti Addition. Int. J. Hydrogen Energy 2012, 37, 18133–18139. [Google Scholar] [CrossRef]
- Zhong, H.; Xu, J.; Jiang, C.; Lu, X. Microstructure and Remarkably Improved Hydrogen Storage Properties of Mg2Ni Alloys Doped with Metal Elements of Al, Mn and Ti. Trans. Nonferrous Met. Soc. China 2018, 28, 2470–2477. [Google Scholar] [CrossRef]
- Liu, J.-W.; Yuan, H.-T.; Cao, J.-S.; Wang, Y.-J. Effect of Ti–Al Substitution on the Electrochemical Properties of Amorphous MgNi-Based Secondary Hydride Electrodes. J. Alloys Compd. 2005, 392, 300–305. [Google Scholar] [CrossRef]
- Zhao, X.; Ma, L. Recent Progress in Hydrogen Storage Alloys for Nickel/Metal Hydride Secondary Batteries. Int. J. Hydrogen Energy 2009, 34, 4788–4796. [Google Scholar] [CrossRef]
- Zhang, Y.; Lei, Y.-Q.; Chen, L.-X.; Yuan, J.; Zhang, Z.-H.; Wang, Q.-D. The Effect of Partial Substitution of Zr for Ti on the Electrochemical Properties and Surface Passivation Film of Mg35Ti10−xZrxNi55 (x=1, 3, 5, 7, 9) Electrode Alloys. J. Alloys Compd. 2002, 337, 296–302. [Google Scholar] [CrossRef]
- Zhang, Y.; Zhao, D.; Han, X.; Li, B.; Dong, X.; Wang, X. Electrochemical Characteristics of Mechanical Alloyed (Mg1-xZrx)2Ni (X = 0–0.1) Electrode Alloys. Int. J. Hydrogen Energy 2007, 32, 2830–2835. [Google Scholar] [CrossRef]
- Goo, N.H.; Lee, K.S. The Electrochemical Hydriding Properties of Mg–Ni–Zr Amorphous Alloy. Int. J. Hydrogen Energy 2002, 27, 433–438. [Google Scholar] [CrossRef]
- Zhang, Y.; Zhang, S.-K.; Chen, L.-X.; Lei, Y.-Q.; Wang, Q.-D. The Study on the Electrochemical Performance of Mechanically Alloyed Mg–Ti–Ni-Based Ternary and Quaternary Hydrogen Storage Electrode Alloys. Int. J. Hydrogen Energy 2001, 26, 801–806. [Google Scholar] [CrossRef]
- Zhang, Y.; Zhang, H.; Ding, X.; Liu, D.; Zhang, Q.; Si, T. Microstructure Characterization and Hydrogen Storage Properties Study of Mg2Ni0.92M0.08 (M = Ti, V, Fe or Si) Alloys. Prog. Nat. Sci. Mater. Int. 2018, 28, 464–469. [Google Scholar] [CrossRef]
- Zhang, Y.; Zhao, D.; Li, B.; Ren, H.; Guo, S.; Wang, X. Electrochemical Hydrogen Storage Characteristics of Nanocrystalline Mg20Ni10−xCux (x = 0–4) Alloys Prepared by Melt-Spinning. J. Alloys Compd. 2010, 491, 589–594. [Google Scholar] [CrossRef]
- Yang, X.; Zhu, Y.; Zhang, J.; Zhang, Y.; Liu, Y.; Lin, H.; Wang, T.; Li, L. Effect of Partial Substitution of Ti for Al on the Phase Structure and Electrochemical Hydrogen Storage Properties of Mg3AlNi2 Alloy. J. Alloys Compd. 2018, 746, 421–427. [Google Scholar] [CrossRef]
- Hsu, F.-K.; Lin, C.-K.; Lee, S.-L.; Lin, C.-Y.; Bor, H.-Y. Effect of Mg3MnNi2 on the Electrochemical Characteristics of Mg2Ni Electrode Alloy. J. Power Sources 2010, 195, 374–379. [Google Scholar] [CrossRef]
- Li, B.; Zhang, Y.; Wu, Z.; Shi, Y.; Pang, Z.; Wang, X. Effects of the Substitution of Mn for Ni on Structures and Electrochemical Performances of the As-Cast and Quenched La0.5Ce0.2Mg0.3Co0.4Ni2.6-xMnx (X = 0–0.4) Electrode Alloys. Int. J. Hydrogen Energy 2008, 33, 141–148. [Google Scholar] [CrossRef]
- Qiu, S.-J.; Chu, H.-L.; Zhang, Y.; Sun, D.-L.; Song, X.-Y.; Sun, L.-X.; Xu, F. Electrochemical Kinetics and Its Temperature Dependence Behaviors of Ti0.17Zr0.08V0.35Cr0.10Ni0.30 Alloy Electrode. J. Alloys Compd. 2009, 471, 453–456. [Google Scholar] [CrossRef]
- Cui, N.; Luan, B.; Liu, H.K.; Dou, S.X. Discharge Behaviour of Mg2Ni-Type Hydrogen-Storage Alloy Electrodes in 6 M KOH Solution by Electrochemical Impedance Spectroscopy. J. Power Sources 1996, 63, 209–214. [Google Scholar] [CrossRef]
- Niu, H.; Northwood, D.O. Enhanced Electrochemical Properties of Ball-Milled Mg2Ni Electrodes. Int. J. Hydrogen Energy 2002, 27, 69–77. [Google Scholar] [CrossRef]










| Alloys | Mg (wt.%) | Ni (wt.%) | Ti (wt.%) | Mn (wt.%) |
|---|---|---|---|---|
| Mg1.6NiTi0.4 | 49.98 | 37.71 | 12.31 | - |
| Mg1.6Ni0.9Ti0.4Mn0.1 | 50.11 | 34.03 | 12.31 | 3.55 |
| Mg1.6Ni0.8Ti0.4Mn0.2 | 50.36 | 30.39 | 12.41 | 6.84 |
| Mg1.6Ni0.7Ti0.4Mn0.3 | 50.34 | 26.57 | 12.41 | 10.68 |
| Area of Analysis | Mg (wt.%) | Ni (wt.%) | Ti (wt.%) | Mn (wt.%) | O (wt.%) |
|---|---|---|---|---|---|
| A | 7.81 | 37.81 | 43.86 | - | 10.52 |
| B | 39.56 | 49.78 | - | 2.32 | 8.34 |
| C | 80.35 | 11.20 | - | - | 8.45 |
| D | 38.33 | 28.35 | - | 32.32 | 1.00 |
| Sample | X = 0 | X = 0.1 | X = 0.2 | X = 0.3 |
|---|---|---|---|---|
| HRD50/% | 52.33 | 51.43 | 57.74 | 67.22 |
| HRD100/% | 46.17 | 46.48 | 57.02 | 55.27 |
| HRD200/% | 40.18 | 34.67 | 34.94 | 44.54 |
| HRD400/% | 31.68 | 31.72 | 35.41 | 36.90 |
| Sample | X = 0 | X = 0.1 | X = 0.2 | X = 0.3 |
|---|---|---|---|---|
| R2/Ωg | 0.45 | 0.56 | 0.52 | 0.49 |
| R3/Ωg | 10.5 | 8.70 | 8.50 | 7.30 |
| Sample | X = 0 | X = 0.1 | X = 0.2 | X = 0.3 |
|---|---|---|---|---|
| Icorr (mA/g) | 0.96 | 0.8 | 0.67 | 0.3 |
| Ecorr (V) | −1.08 | −1.06 | −1.04 | −1.03 |
Disclaimer/Publisher’s Note: The statements, opinions and data contained in all publications are solely those of the individual author(s) and contributor(s) and not of MDPI and/or the editor(s). MDPI and/or the editor(s) disclaim responsibility for any injury to people or property resulting from any ideas, methods, instructions or products referred to in the content. |
© 2024 by the authors. Licensee MDPI, Basel, Switzerland. This article is an open access article distributed under the terms and conditions of the Creative Commons Attribution (CC BY) license (https://creativecommons.org/licenses/by/4.0/).
Share and Cite
Wang, J.; Liang, Y.; Wang, F.; Li, J.; Ju, D.; Feng, J.; Zhang, X.; Ma, J. Study on Microstructure and Electrochemical Properties of Mg1.6Ni1-xTi0.4Mnx (x = 0~0.3) Alloy. Coatings 2024, 14, 1558. https://doi.org/10.3390/coatings14121558
Wang J, Liang Y, Wang F, Li J, Ju D, Feng J, Zhang X, Ma J. Study on Microstructure and Electrochemical Properties of Mg1.6Ni1-xTi0.4Mnx (x = 0~0.3) Alloy. Coatings. 2024; 14(12):1558. https://doi.org/10.3390/coatings14121558
Chicago/Turabian StyleWang, Jiangang, Yibo Liang, Feilong Wang, Jingwei Li, Dongying Ju, Jiangsong Feng, Xin Zhang, and Jing Ma. 2024. "Study on Microstructure and Electrochemical Properties of Mg1.6Ni1-xTi0.4Mnx (x = 0~0.3) Alloy" Coatings 14, no. 12: 1558. https://doi.org/10.3390/coatings14121558
APA StyleWang, J., Liang, Y., Wang, F., Li, J., Ju, D., Feng, J., Zhang, X., & Ma, J. (2024). Study on Microstructure and Electrochemical Properties of Mg1.6Ni1-xTi0.4Mnx (x = 0~0.3) Alloy. Coatings, 14(12), 1558. https://doi.org/10.3390/coatings14121558
