Next Article in Journal
Study on Low-Temperature Deposition of Diamond-like Carbon Film on the Surface of Bionic Joint Thread and Its Properties
Previous Article in Journal
Novel Anodic TiO2 Synthesis Method with Embedded Graphene Quantum Dots for Improved Photocatalytic Activity
 
 
Font Type:
Arial Georgia Verdana
Font Size:
Aa Aa Aa
Line Spacing:
Column Width:
Background:
Article

Fabrication and Characterization of Micro-Arc Oxidation Films on β-Titanium Alloy in Silicate and Silicate/Glycerin Electrolyte

1
Institute of Radiation Technology, Beijing Academy of Science and Technology, Beijing 100875, China
2
Laboratory of Beam Technology and Energy Materials, Key Laboratory of Beam Technology of Ministry of Education, Faculty of Arts and Sciences, Beijing Normal University, Zhuhai 519087, China
*
Authors to whom correspondence should be addressed.
These authors contributed equally to this work.
Coatings 2024, 14(11), 1408; https://doi.org/10.3390/coatings14111408
Submission received: 2 October 2024 / Revised: 31 October 2024 / Accepted: 2 November 2024 / Published: 5 November 2024

Abstract

Micro-arc oxidation (MAO) films were fabricated on the Ti-39Nb-6Zr alloy at different voltages in the silicate and silicate/glycerin electrolyte. Their morphology, phase structure and composition were characterized by scanning electron microscopy (SEM) with energy dispersive X-ray spectroscopy (EDS), X-ray diffraction (XRD) and X-ray photoelectron spectroscopy (XPS). It was found that the glycerin additive in the silicate electrolyte improved the compactness of the MAO film. The corrosion resistance was evaluated, and the influence of glycerin additive in electrolyte on the growth of micro-arc oxidized film was revealed by optical emission spectra.

1. Introduction

Due to the merits of low elastic modulus, good biocompatibility, high specific strength, low density and non-magnetic properties, the β-type titanium alloys have presented broad application prospects in the fields of biomedical materials, aerospace and mechanical industries [1]. Noticeably, some new kinds of β-type titanium alloys containing non-toxic elements, such as Zr, Nb, Ta, Mo and Sn, possess the characteristics of superelasticity and shape memory, and have received tremendous attentions in the biomedical areas including pipe joints, orthopedic surgery and so on [2]. As a novel β-type titanium alloy with high Nb content, the Ti-39Nb-6Zr alloy exhibits high yield strength and low elastic modulus, close to that of bone, due to the addition of the Nb element; furthermore, the alloying element Zr also benefits blood compatibility [3]. However, its application is limited, due to its poor wear resistance and corrosion [4]. For these reasons, the Ti alloys also possess a certain degree of biological toxicity; the Ti ions intrude into the cells, and the main phenomenon of cell corrosion and blackening can be found. The corresponding practical performance can be affected by these shortcomings. To address this issue, the surface treatment technology is employed to enhance the surface performance of Ti alloys and, such technology is also considered as one of the important strategies to improve the practical application of Ti alloys. Some surface treatments, such as physical and chemical vapor deposition (PVD/CVD), ion implantation, electrodeposition, anodic oxidation, plasma spraying and micro-arc oxidation were studied to improve the surface performance of titanium alloys [5,6,7].
It should be noted that micro-arc oxidation is one of the vital approaches to improve the surface properties of Ti alloys. Moreover, the micro-arc oxidation technique used for the modification of Ti alloys has gradually become mature. The one or more electrolytes of aluminates, phosphates, silicates and sulfates are adopted to obtain the ceramic films with the thickness of ten-to-dozens of microns on the surfaces of Ti metal and common Ti alloys. For example, Wenbin Xue and Yaming Wang et al. studied the application of micro-arc oxidation technique on Ti alloys, and the investigations of their chemical compositions, microstructure evolutions, wear resistance, corrosion resistance and other aspects have been carried out [8,9]. The experimental results demonstrated that different electrolytes and electrical parameters seriously affected the property of the micro-arc oxidation layer. Recently, some researchers have conducted the micro-arc oxidation technique on the surface modification of Ti-13Nb-13Zr, Ti-24Nb-4Zr, Ti-29Nb-13Ta-4.6Zr and other alloys, to improve their biological properties [10,11,12]. Meanwhile, the Ti alloys with higher Nb content, such as Ti-39Nb-6Zr, have also been subject to increasing concern, as they are closer to the elastic modulus of the bone, whereas the corresponding studies on their micro-arc oxidation surface treatment are quite limited. In particular, there is little research on electrolyte additive effect on discharge process and the quality of micro-arc oxidation film with respect to the high Nb content of the titanium alloy.
In this work, in order to fabricate the dense micro-arc oxidized film and improve its surface corrosion resistance, micro-arc oxidation treatment was performed on the Ti-39Nb-6Zr alloy in the silicate and silicate/glycerin electrolyte, respectively. Moreover, the resultant corrosion resistance was evaluated, and the influence of the glycerin additive in the electrolyte on the growth of the micro-arc oxidized film was revealed.

2. Materials and Methods

The Ti-39Nb-6Zr alloy plate with the dimension of 25 mm×12 mm×1 mm was selected as the anode material, and the stainless steel plate was used as the cathode material. The micro-arc oxidation treatment was conducted on special homemade 100kW AC micro-arc oxidation equipment. The schematic diagram of the micro-arc oxidation experimental device is shown in Figure 1. The electrolyte was composed of Na2SiO3·9H2O (9.25 g/L), KOH (1.25 g/L) and H3BO3 (2.65 g/L), and 20 mL/L glycerin was used as the additive. The anode voltage was set as +450 V, +500 V and +550 V, respectively, while the negative voltage was maintained at −120 V. The processing time was set as 10 min with the duty cycle of 90%, and the pulse frequency was 150 Hz.
The surface and cross-section morphologies of the micro-arc oxidized film were observed by scanning electron microscope (SEM, Hitachi, S-4800, Japan), and the corresponding elemental compositions were analyzed by energy dispersive X-ray spectrometer (EDS, Horiba Scientific, Japan) equipped with SEM. The surface roughness (Ra) was measured by a profilometer (Beijing times, TR-200, China). The cross-section sample was prepared by cutting and then mounted by resin, followed by grinding and polishing, and eventually sprayed with Pt before SEM observation. The phase analysis of the micro-arc oxidized film was conducted by X-ray diffraction (XRD, PANalytical, X ‘Pert Pro MPD, The Netherlands) equipped with Cu Kα ray (λ = 1.5406 A). The corresponding working voltage was set as 40 kV, and the scanning mode was continuous scanning of 10 deg/min in the range of diffraction angles of 20–90 degrees. The elemental forms and valence states of the micro-arc oxidized film were quantitatively analyzed by the X-ray photoelectron spectroscopy with Al Kα irradiation. (XPS, Thermo Fisher Scientific, ESCALAB 250Xi, USA). Before the measurement, the sample surface was firstly bombarded with argon ions to remove surface contaminants. The corrosion behaviors were evaluated using an electrochemical workstation (Princeton PARSTAT 2273, USA). Potentiodynamic polarization was measured at a scan rate of 1 mV/s, and electrochemical impedance spectroscopy (EIS) was performed in a frequency range from 1 MHz to 0.01 Hz. The optical signals produced during the micro-arc oxidation process were collected by AvaSpec-3648 optical fiber spectrometer (Avantes, The Netherlands) with 8 channels and a 3648-pixel CCD detector array with the resolution of 0.08 nm. The collection wavelength range was located within 200 nm–750 nm, and an integration time was set as 1s. The optical signals can be received by the optical fiber probe through a glass window on the electrolytic cell at a distance of 2 cm from the surface of the discharge sample. The collected emission spectra were determined and analyzed using Plasus Specline 2.1 spectral analysis software. During the discharge process, the plasma characteristic parameters were calculated by the collection of spectral signals, and, thereby, the discharge characteristics of plasma can be found [13].

3. Results

3.1. Morphologies, Chemical Compositions and Roughness Analysis of Micro-Arc Oxidized Films

Figure 2 shows the surface morphologies of micro-arc oxidized films of Ti-39Nb-6Zr alloy prepared in silicate electrolyte (S-MAO). Obviously, the surface characteristics of the micro-arc oxidized films prepared under various voltages exhibit porous morphologies. In particular, numerous pores with a small size can be observed under the preparation condition of +450 V/−120 V, and the as-prepared surface is slightly flat. However, when the applied voltage is enhanced, the average pore size on the surface of micro-arc oxidized film is gradually increased, and the diameter of some large pores can reach 40 μm. It should be noted that the surface morphologies of the micro-arc oxidized films prepared under the conditions of 500 V and 550 V are similar, and both the films show large roughness. According to the EDS analysis (20 KV accelerating voltages) as shown in Table 1, a large number of B ions were implanted into the near-surface layers of the micro-arc oxidized film. It can be found that, with the increase in voltage, the content of Si is increased and then reaches 15.13 wt.%, whereas the contents of Ti, Nb, Zr elements are significantly decreased. This indicates that when the voltage is enhanced, the sample surface is mainly occupied by the deposition of a large amount of SiO2, which is also responsible for the rough-surface morphology of micro-arc oxidized film.
Figure 3 presents the XPS spectra of micro-arc oxidized films of Ti-39Nb-6Zr alloy prepared in silicate electrolyte under the voltage of +500 V/−120 V. The binding-energy peaks located at 458.7 eV and 464.7 eV can identified as the Ti 2p3/2 and 2p1/2, respectively, and are closely related to the presence of Ti4+. Meanwhile, the binding-energy peak located at 103.1 eV can be attributed to the Si 2p, resulting from the formation of SiO2. The binding-energy peak of B1s can be detected at 193.1eV, and is associated with the generation of B2O3. Additionally, there are three peaks at 532.0 eV, 533.2 eV and 530.2 eV responsible for the presence of O 1s, which are derived from the SiO2, B2O3 and TiO2, respectively. Based on the elemental spectra, the binding-energy peaks of Si 2p and O 1s assigned to SiO2 exhibit relatively high intensities. It demonstrates that the surface of the micro-arc oxidized film mainly contains the deposition of SiO2 and a few of B2O3 and TiO2, whereas the contents of Nb2O5 and ZrO2 on the surface are relatively small.
The surface roughness of micro-arc oxidized film prepared under the experimental condition of 450 V/−120 V is relatively low, and it reaches only 0.9 μm. In contrast, Figure 4 presents the fact that when the positive voltage is increased to above 500 V, the surface roughness of the film is relatively large, with a value of about 5.9 μm. Owing to the increase in positive voltage, the discharge reaction of micro-arc oxidation becomes more intense, while the deposition of SiO2 on the film surface is also promoted, so that the generation of a rough and loose deposition layer with numerous pores can be detected on the surface.
Figure 5 exhibits the cross-section morphologies of micro-arc oxidized films (S-MAO) of Ti-39Nb-6Zr alloy prepared in silicate electrolyte under the voltages of +450 V/−120 V, +500 V/−120 V and +550 V/−120 V, respectively. It is apparent that the thickness of micro-arc oxidized film is remarkably increased with the increase in positive voltage. The micro-arc oxidation films prepared under the positive voltages of +500 V and +550 V show the poor interface adhesion. As shown in Figure 5b,c, there are obvious cracks at the interface between the metallic substrate and the oxide film, as well as inside the film. Moreover, the phenomenon of cracks can be observed within such a loose layer, whereas the compactness and bonding force of micro-arc oxidized film prepared under a low positive voltage are superior to that obtained under a high positive voltage.

3.2. Phase Analysis of Micro-Arc Oxidized Films

Figure 6 shows the XRD patterns of micro-arc oxidized films prepared under various positive voltages in silicate electrolyte. The micro-arc oxidized films of Ti-39Nb-6Zr alloy are composed of the anatase TiO2 phase, rutile TiO2 phase, monoclinic ZrO2 phase (m-ZrO2) and Nb2O5 phase [14]. The diffraction-peak intensity of the rutile TiO2 phase is remarkably high, compared to those of the other phases, including the anatase TiO2 phase. Accordingly, it indicates that the micro-arc oxidized films mainly contain the rutile TiO2 phase.

3.3. Preparation and Characterizations of Micro-Arc Oxidized Films of Ti-39Nb-6Zr Alloy in Silicate Electrolyte with Glycerin Additive

Figure 7 shows the surface morphologies of micro-arc oxidized films of Ti-39Nb-6Zr alloy prepared in silicate electrolyte with glycerin additive under various positive voltages (SG-MAO). It is evident that all the surfaces of micro-arc oxidized films are uniform and porous. However, the relatively dark area can be observed in some localized regions, and, based on the magnified SEM image, it shows that the holes in this area are smaller than those in other region. According to the EDS analysis of chemical compositions as shown in Table 2, it can be found that the content of carbon element in the dark area (B) reaches around 13.32 wt.%, which is higher than that in the bright area (W). It suggests that the carbon decomposed by the glycerin additive can be attached to some localized areas of the surface. The content of the carbon element is slightly increased with the increase in voltage, but the overall content of the carbon element on the surface remains within the range of 2 wt.%~4 wt.%.
Figure 8 exhibits the XPS spectra of the micro-arc oxidized film of Ti-39Nb-6Zr alloy prepared in silicate electrolyte with glycerin additive under the voltage of +500 V/−120 V. The binding-energy peaks located at 458.7 eV and 464.7 eV can be attributed to Ti 2p3/2 and 2p1/2 respectively; they are closely related to the presence of Ti4+ and belong to characteristic peaks of TiO2. Additionally, the binding-energy peaks of Nb 3d5/2 and 3d3/2 can be detected at 209.9 eV and 207.2 eV, respectively, and are associated with the presence of Nb5+. As shown in Figure 8c, the binging-energy peaks located at 182.4 eV and 184.5 eV correspond to Zr 3d5/2 and Zr 3d3/2, respectively. The binding-energy peaks of Si 2p and B 1s can also be detected at 102.8 eV and 193.1 eV, and are derived from the formation of SiO2 and B2O3, respectively. The binding-energy peaks of 530.3 eV, 531.2 eV, 531.6 eV, 532.4 and 533.1 eV can be attributed to O 1s, and correspond to the generation of ZrO2, TiO2, Nb2O5, SiO2 and B2O3, respectively. The binding-energy peaks of C1s located at 84.5 eV and 285.3 eV can be assigned to sp2 and sp3, respectively, indicating that the surface of the film contains the diamond-like component. According to the calculation of XPS fitting analysis, the contents of the diamond-like component of the micro-arc oxidized films are determined as 26.56% at +450 V/−120 V, 31.87% at +500 V/−120 V, and 36.05% at +550 V/−120 V. It is obvious that the content of the diamond-like component is increased with the increase in voltage. A large amount of ZrO2 and Nb2O5 can be detected by XPS analysis, suggesting that the contents of ZrO2 and Nb2O5 on the surface are remarkably large, compared to those of the micro-arc oxidized film prepared in silicate electrolyte without glycerin additive, and the deposition amount of SiO2 on the surface is correspondingly reduced.
Based on the measurement of surface roughness as shown in Figure 9, it is apparent that the surface roughness of the micro-arc oxidized film is maintained as a stable value of ~2.3 μm, and there is no significant change with the variation in voltage. As compared to the micro-arc oxidized films prepared in silicate electrolyte without glycerin, both the pore size and surface roughness are dramatically decreased after the addition of glycerin, and are mainly ascribed to the reduced deposition of SiO2 on the surfaces of micro-arc oxidized films.
Figure 10 shows the cross-section morphologies of the micro-arc oxidized films (SG-MAO) of Ti-39Nb-6Zr alloy prepared in silicate electrolyte with glycerin additive under the conditions of +450 V/−120 V, +500 V/−120 V and +550 V/−120 V, respectively. When the voltage is enhanced, the thickness of the micro-arc oxidized film is gradually increased. Moreover, there are no obvious cracks within the micro-arc oxidized films, indicating that the resultant film has strong bonding force with the metallic substrate. As compared to the micro-arc oxidized film prepared in silicate electrolyte, the compactness of the micro-arc oxidized film can be improved by the addition of glycerin.
Figure 11 shows the XRD patterns of micro-arc oxidized films prepared in silicate electrolyte with glycerin additive under various positive voltages. All the micro-arc oxidized films are composed of the anatase TiO2 phase, rutile TiO2 phase, monoclinic ZrO2 phase (m-ZrO2) and Nb2O5 phase, and are similar to those obtained under the conditions without glycerin additive. Nevertheless, the peak intensity of the anatase TiO2 phase is significantly higher than those of the other phases, including the rutile TiO2 phase, so that the as-prepared film mainly contains the anatase TiO2 phase. This can probably be explained by the fact that the micro-arc discharge degree of Ti-39Nb-6Zr alloy become weak after the addition of glycerin into silicate electrolyte, and the temperature of the plasma discharge zone is relatively low, leading to only a small amount of anatase phase transformed to rutile phase. In contrast, the discharge reaction in silicate electrolyte without glycerin additive is more intense, and, thereby, the temperature of the micro-arc discharge zone is higher, so that more anatase phase can be transformed to rutile phase. Therefore, the generation of large sparks can be inhibited by the addition of glycerin, leading to the uniform spark discharge. Meanwhile, the deposition amount of SiO2 is reduced on the surface of the film, and the thickness of the loose layer is decreased, resulting in the smoother surface of the film.

3.4. Electrochemical Corrosion Properties of Micro-Arc Oxidized Films at Room Temperature

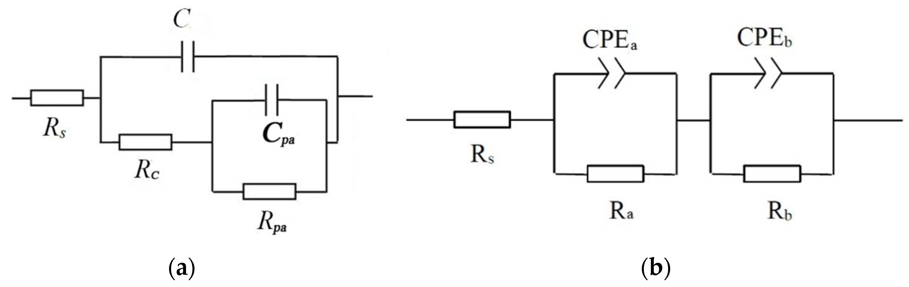
Figure 12 shows the potentiodynamic polarization curves and Nyquist diagrams of micro-arc oxidized films of Ti-39Nb-6Zr alloy prepared under +550 V/−120 V in various electrolytes and 0.6 M NaCl solution, respectively. Table 3 shows the values of corrosion potential (Ecorr), corrosion current (icorr) and polarization resistance (Rp). The Ecorr and icorr of Ti-39Nb-6Zr alloy can be determined as −0.49 V and 2.11 × 10−6 A·cm−2, respectively. In contrast, the micro-arc oxidized film of Ti-39Nb-6Zr alloy prepared in silicate electrolyte with glycerin additive exhibits higher Ecorr and lower icorr, demonstrating that the corrosion resistance of Ti-39Nb-6Zr alloy can be improved by the micro-arc oxidation treatment. The micro-arc oxidized film prepared in silicate electrolyte exhibits poor compactness and weak adhesion with the substrate, but it has a lower icorr of 1.25 × 10−7 A·cm−2. It indicates that, as compared to the micro-arc oxidized film obtained in silicate electrolyte with glycerin additive, the as-prepared film has superior corrosion resistance because of its larger thickness. As shown in the Nyquist diagrams, it can also be found that the micro-arc oxidized film prepared in silicate electrolyte shows a relatively large capacitive arc radius, suggesting that it possesses better corrosion-resistance performance. Figure 13 shows the equivalent circuit diagrams of Ti-39Nb-6Zr alloy and the corresponding micro-arc oxidized film, where the Rs represents the solution resistance, C is the electric double-layer capacitor, RC is the charge transfer resistance, Cpa is the capacitor element related to the passivation film, and Rpa is the resistance element related to the passivation film. Moreover, CPEa and Ra represent the constant phase-angle elements and resistors related to the loose layer of the micro-arc oxidized film, respectively. Meanwhile, CPEb and Rb represent the constant phase-angle elements and resistors related to the dense layer of the micro-arc oxidized film, respectively. Based on the fitting results as listed in Table 4 and Table 5, the dense layer of the micro-arc oxidized film has higher resistance value than that of the passivation film of the alloy substrate. The loose layer of the micro-arc oxidized film prepared in silicate electrolyte also exhibits a very high resistance value. Nevertheless, because of the smaller thickness of the loose layer, the micro-arc oxidized film prepared in the silicate electrolyte with glycerin additive shows quite a low resistance value.

3.5. Optical Emission Spectroscopy of Micro-Arc Discharge

In order to explore the influence of glycerin on the growth mechanism of micro-arc oxidized film, the changes in emission spectra (OES) with time during the micro-arc discharge process were measured by the optical fiber spectrometer, and the parameters of plasma can be calculated to determine the types of elements involved in such a reaction process and the characteristics of the plasma discharge zone. The electron concentration can be calculated by the half-height width Δλ1/2 of the Hβ peak, and the electron temperature can be determined by the double spectral lines of H (Hβ: 486.05 nm, Hα: 656.32 nm). The parameters of the spectral lines are listed in Table 6.
Figure 14a shows the total optical emission spectra of micro-arc oxidized film of Ti-39Nb-6Zr alloy prepared in silicate electrolyte under the voltage of+450 V/−120 V. It can be found that all the H, O, Na, and Si elements of the electrolyte and the Ti, Nb, and Zr elements of the anode are involved in the plasma discharge process. The occurrence of a strong continuous spectrum between 450 nm and 750 nm is attributed to the existence of bremsstrahlung and recombination radiation during the electron motion [15,16]. Hβ and Hα are regarded as the spectral lines produced by photons of different frequencies emitted by the transition of electrons in hydrogen atoms between different energy levels, and they belong to unionized hydrogen atoms. Figure 14b,c show the variations in spectral-line intensities of Hβ 436.13 nm and Hα 656.35 nm against time, respectively. Both the variation curves display the same change trend, and the intensities of the spectral lines are rapidly increased and then reach a stable state within 0~80 s. Because the intensities of the spectral lines of the Ti, Nb and Zr elements in the total spectra are relatively weak, it is difficult to find a pair of suitable spectral lines for the calculation of plasma parameters. Accordingly, in the present case, Hα and Hβ spectral lines are selected to calculate the plasma parameters, and so the as-obtained electron temperature is slightly high, but the results of the qualitative analysis cannot be significantly affected.
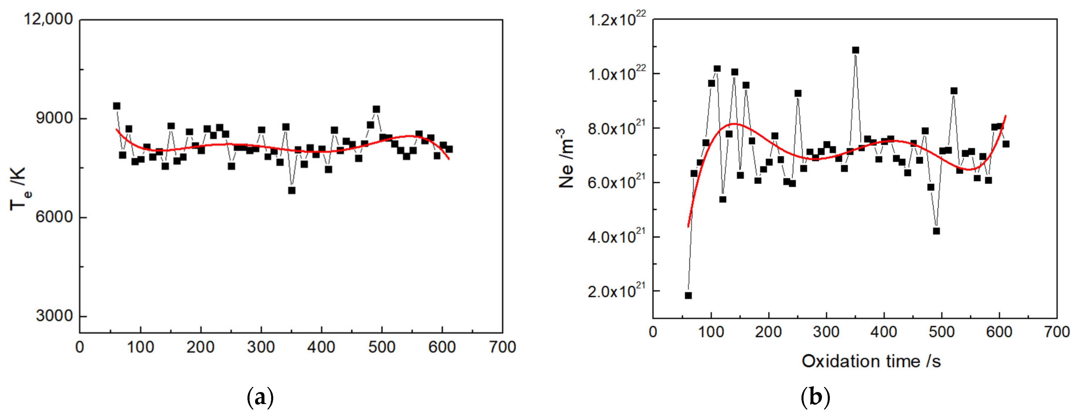
In general, the electron concentration and electron temperature are considered as two important parameters for plasma, which can be used to effectively characterize the discharge behavior of plasma. Figure 15b provides the relationship between electron concentration and discharge time during the micro-arc oxidation process. It is evident that at the initial stage of discharge process, the electron concentration is relatively low, and then gradually increases with time. Subsequently, the electron concentration is basically maintained at around 7.5 × 1021 m−3 after 150s, which is larger than the minimum electron concentration of 4.1 × 1021 m−3 required for a localized thermodynamic-equilibrium state [17]. Therefore, the discharge plasma region of Ti-39Nb-6Zr alloy in silicate electrolyte can meet the requirements of the localized thermodynamic-equilibrium condition to calculate the electron temperature, and thereby the electron temperature can be basically maintained at 8500 K. Currently, it is reported that during the micro-arc oxidation process, the electron temperature can be maintained within the range of ~3300–10,000 K [18,19,20,21], which is consistent with the results calculated in the present study.
Figure 16a shows the total emission spectra of micro-arc oxidized film of Ti-39Nb-6Zr alloy prepared in silicate electrolyte with glycerin additive under the voltage of +450 V/−120 V. The spectral lines are derived from the Ti, Nb and Zr elements of the substrate and the C, H, O, Na and Si elements of the electrolyte. Similarly, the continuous spectrum between 450 nm and 750 nm can be produced by the bremsstrahlung and recombination radiation during the electron motion process [9,10]. Figure 16b,c show the variations in spectral-line intensities of Hβ 436.13 nm and Hα 656.35 nm against time, respectively. These two curves display the same change trend, in which the intensities of spectral lines are rapidly increased and then reach a stable state within 0~80 s. Nevertheless, the intensities of the two such spectral lines are much weaker than those obtained in the discharge reaction in silicate electrolyte without glycerin additive.
Furthermore, the electron concentration can be calculated by the half-height width Δλ1/2 of the Hβ peak, and the electron temperature can be determined by the double spectral lines of H (Hβ: 436.13 nm, Hα: 656.35 nm). It can be seen from Figure 17a that, at the initial stage of the discharge process, the electron concentration is relatively low, and then gradually increases with time. The electron concentration remains at around 7 × 1021 m−3 after 80 s, while the electron temperature is determined as 8100 K. As compared to the discharge reaction in silicate electrolyte without glycerin additive, both the electron temperature and electron concentration are reduced after the addition of glycerin, indicating that the addition of glycerin not only brings about the involvement of the C element in the reaction, but also inhibits the intense degree of discharge reaction.

4. Discussion

Based on the above analysis of the emission spectra and acoustic spectra of Ti-39Nb-6Zr alloy during the micro-arc oxidation process in silicate electrolyte with or without glycerin additive under +450 V/−120 V, it is found that the discharge spectral intensity, electron temperature and electron concentration in silicate electrolyte with the glycerin additive are lower than those obtained in silicate electrolyte without glycerin.
It should be mentioned that the morphologies and phase compositions of micro-arc oxidized films of Ti-39Nb-6Zr alloy are greatly influenced by the addition of glycerin. With the comparisons of Figure 1 and Figure 6, it is apparent that the pore size and surface roughness of micro-arc oxidized film in silicate electrolyte without glycerin are much larger. Additionally, the phenomenon of carbon accumulation can be found in the micro-arc oxidized film prepared in silicate electrolyte with the glycerin additive, and the deposition of SiO2 can be also inhibited. For the electrolyte of silicate without glycerin, the content of the rutile TiO2 phase of the micro-arc oxidized film is higher than that of the other phases. By contrast, for the electrolyte of silicate with the glycerin additive, the content of the anatase TiO2 phase of the micro-arc oxidized film is higher than that of the other phases. It is mainly attributed to the different temperature of the plasma zone, and the high spark-reaction temperature of silicate electrolyte without glycerin is favorable for the transformation of the anatase phase to the rutile phase, so that a relatively loose layer with an amount of rutile phase can be obtained.

5. Conclusions

In this work, the Ti-39Nb-6Zr alloy was subjected to the micro-arc oxidation treatment in silicate electrolyte with or without glycerin additive. The microstructure evolution and phase structures of micro-arc oxidized film were systematically investigated, and the spectral characteristics of the corresponding discharge process were analyzed. The main conclusions can be drawn as follows:
  • For the micro-arc oxidized films of the Ti-39Nb-6Zr alloy prepared in silicate electrolyte with or without glycerin additive, their phase structures are mainly composed of the anatase phase (A-TiO2), rutile phase (R-TiO2), Nb2O5 phase, and monoclinic m-ZrO2 phase. Moreover, the content of the anatase phase is significantly increased after the addition of glycerin.
  • The addition of glycerin into silicate electrolyte not only brings about the involvement of the C element into the reaction, but also inhibits the deposition of SiO2. Accordingly, the thickness of the loose layer is reduced, and the surface roughness of the micro-arc oxidized film is improved, leading to the enhanced compactness and adhesion force with the substrate.
  • During the micro-arc oxidation process, the electron concentration in the plasma-discharge zone of silicate electrolyte without glycerin is about 7.5 × 1021 m−3, and the electron temperature is determined as about 8500 K. In contrast, for the discharge zone of silicate electrolyte with glycerin additive, the electron concentration is about 7 × 1021 m−3, while the electron temperature is about 8100 K.

Author Contributions

Conceptualization, L.C. and J.W.; methodology, L.C. and X.J.; software, L.C.; validation, L.C. and X.J.; formal analysis, L.C. and X.J.; investigation, L.C. and X.J.; resources, W.X.; data curation, L.C.; writing—original draft preparation, L.C.; writing—review and editing, L.C. and X.J.; visualization, L.C. and X.J.; supervision, L.C. and J.W.; project administration, L.C. and J.W.; funding acquisition, L.C. All authors have read and agreed to the published version of the manuscript.

Funding

This research was sponsored by the Beijing Nova Program No. 20220484013, the Beijing Institute of Science and Technology Innovation Project No. 24CA002-03 and the financial support from Beijing Normal University at Zhuhai Nos. 312200502504, 312200502505 and 110623209501.

Institutional Review Board Statement

Not applicable.

Informed Consent Statement

Not applicable.

Data Availability Statement

All the data used in this study are contained within the article.

Conflicts of Interest

The authors declare no conflicts of interest.

References

  1. Abdel-Hady, M.; Hinoshita, K.; Morinaga, M. General approach to phase stability and elastic properties of β-type Ti-alloys using electronic parameters. Scripta Mater. 2006, 55, 477–480. [Google Scholar]
  2. Martins, G.V.; Silva, C.R.M.; Nunes, C.A.; Trava-Airoldi, V.J.; Borges, L.A.; Machado, J.P.B. Beta Ti-45Nb and Ti-50Nb alloys produced by Powder Metallurgy for aerospace application. Mater. Sci. Forum. 2010, 660, 405–409. [Google Scholar]
  3. Geetha, M.; Singh, A.K.; Gogia, A.K.; Asokamani, R. Effect of thermomechanical processing on evolution of various phases in Ti–Nb–Zr alloys. J. Alloys Compd. 2004, 384, 131–144. [Google Scholar]
  4. Dong, H.; Bell, T. Enhanced wear resistance of titanium surfaces by a new thermal oxidation treatment. Wear 2000, 238, 131–137. [Google Scholar] [CrossRef]
  5. Selvan, J.S.; Subramanian, K.; Nath, A.K.; Kumarb, H.; Ramachandrac, C.; Ravindranathanc, S.P. Laser boronising of Ti–6Al–4V as a result of laser alloying with pre-placed BN. Mater. Sci. Eng. A 1999, 260, 178–187. [Google Scholar] [CrossRef]
  6. Blau, P.J.; Jolly, B.C.; Qu, J.; Peter, W.H.; Blue, C.A. Tribological investigation of titanium-based materials for brakes. Wear 2007, 263, 1202–1211. [Google Scholar] [CrossRef]
  7. Farrakhov, R.; Melnichuk, O.; Parfenov, E.; Mukaeva, V.; Raab, A.; Sheremetyev, V.; Zhukova, Y.; Prokoshkin, S. Comparison of Biocompatible Coatings Produced by Plasma Electrolytic Oxidation on cp-Ti and Ti-Zr-Nb Superelastic Alloy. Coatings 2021, 11, 401. [Google Scholar] [CrossRef]
  8. Xue, W.B.; Deng, Z.W.; Chen, R.Y.; Zhang, T.H. Microstructure of Ceramic Coating Formed by Microarc Oxidation in Silicate Solution on Ti-6Al-4V Alloy. Heat Treat. Met. 2000, 2, 5–7. [Google Scholar]
  9. Wang, Y.M.; Jiang, B.L.; Lei, T.Q.; Guo, L.X. Microstructure and Tribological Properties of Microarc Oxidation Coatings Formed on Ti6Al4V Alloy in Na2SiO3 System Aqueous Solution. Tribology 2003, 23, 371–375. [Google Scholar]
  10. Duarte, L.T.; Biaggio, S.R.; Rocha-Filho, R.C.; Bocchi, N. Preparation and characterization of biomimetically and electrochemically deposited hydroxyapatite coatings on micro-arc oxidized Ti–13Nb–13Zr. J. Mater. Sci-Mater. 2011, 22, 1663–1670. [Google Scholar]
  11. Tsutsumi, Y.; Niinomi, M.; Nakai, M.; Tsutsumi, H.; Doi, H.; Nomura, N.; Hanawa, T. Micro-arc oxidation treatment to improve the hard-tissue compatibility of Ti–29Nb–13Ta–4.6Zr alloy. Appl. Surf. Sci. 2012, 262, 34–38. [Google Scholar]
  12. Lederer, S.; Lutz, P.; Furbeth, W. Surface Modification of Ti 13Nb 13Zr by Plasma Electrolytic Oxidation. Surf. Coat. Technol. 2018, 335, 62–71. [Google Scholar]
  13. Liu, R.; Wu, J.; Xue, W.B.; Qu, Y.; Yang, C.L.; Wang, B.; Wu, X.Y. Discharge behaviors during plasma electrolytic oxidation on aluminum alloy. Mater. Chem. Phys. 2014, 148, 284–292. [Google Scholar] [CrossRef]
  14. Chen, L.; Jin, X.Y.; Qu, Y.; We, K.J.; Zhang, Y.F.; Liao, B.; Xue, W.B. High Temperature Tribological Behaviors of Microarc Oxidation Film on Ti-39Nb-6Zr Alloy. Surf. Coat. Tech. 2018, 347, 29–37. [Google Scholar] [CrossRef]
  15. Stojadinovic, S.; Vasilic, R.; Petkovic, M.; Nedic, Z.; Kasalica, B.; Belca, I.; Zekovic, L.J. Luminescence properties of oxide films formed by anodization of aluminum in 12-tungstophosphoric acid. Electrochim. Acta 2010, 55, 3857–3863. [Google Scholar] [CrossRef]
  16. Griem, H.R. Plasma Diagnostics; McGraw Hill: New York, NY, USA, 1964. [Google Scholar]
  17. Hussein, R.O.; Zhang, P.; Nie, X.; Xia, Y.; Northwood, D.O. The effect of current mode and discharge type on the corrosion resistance of plasma electrolytic oxidation (PEO) coated magnesium alloy AJ62. Surf. Coat. Tech. 2011, 206, 1990–1997. [Google Scholar] [CrossRef]
  18. Krysmann, W.; Kruze, P.; Dittrich, K.H.; Schneider, H.G. Process characteristics and Parameters of Anodic Oxidation by Spark Discharge (ANOF). Cryst. Res. Technol. 1984, 19, 973–979. [Google Scholar] [CrossRef]
  19. Jovovic, J.; Stojadinovic, S.; Sisovic, N.M.; Konjevic, N. Spectroscopic characterization of plasma during electrolytic oxidation (PEO) of aluminium. Surf. Coat. Tech. 2011, 206, 24–28. [Google Scholar] [CrossRef]
  20. Hussein, R.O.; Nie, X.; Northwood, D.O. Influence of process parameters on electrolytic plasma discharging behaviour and aluminum oxide coating microstructure. Surf. Coat. Tech. 2010, 205, 1659–1667. [Google Scholar] [CrossRef]
  21. Hussein, R.O.; Nie, X.; Northwood, D.O. An investigation of ceramic coating growth mechanisms in plasma electrolytic oxidation (PEO) processing. Electrochim. Acta 2013, 112, 111–119. [Google Scholar] [CrossRef]
Figure 1. The schematic diagram of the micro-arc oxidation experimental device.
Figure 1. The schematic diagram of the micro-arc oxidation experimental device.
Coatings 14 01408 g001
Figure 2. Surface morphologies of the MAO films at different voltages in silicate electrolyte: (a) +450 V/−120 V, (b) +500 V/−120 V, (c) +550 V/−120 V.
Figure 2. Surface morphologies of the MAO films at different voltages in silicate electrolyte: (a) +450 V/−120 V, (b) +500 V/−120 V, (c) +550 V/−120 V.
Coatings 14 01408 g002
Figure 3. XPS spectra of MAO film on Ti-39Nb-6Zr alloy at +500 V/−120 V in silicate electrolyte, (a) Ti 2p, (b) Si 2p, (c) B 1s, (d) O 1s.
Figure 3. XPS spectra of MAO film on Ti-39Nb-6Zr alloy at +500 V/−120 V in silicate electrolyte, (a) Ti 2p, (b) Si 2p, (c) B 1s, (d) O 1s.
Coatings 14 01408 g003
Figure 4. Surface roughness (Ra) of MAO films at different positive voltages in silicate electrolyte.
Figure 4. Surface roughness (Ra) of MAO films at different positive voltages in silicate electrolyte.
Coatings 14 01408 g004
Figure 5. The cross-section morphologies of the MAO films at different voltages in silicate electrolyte: (a) +450 V/−120, (b) +500 V/−120, (c) +550 V/−120.
Figure 5. The cross-section morphologies of the MAO films at different voltages in silicate electrolyte: (a) +450 V/−120, (b) +500 V/−120, (c) +550 V/−120.
Coatings 14 01408 g005
Figure 6. XRD patterns of the MAO films on Ti-39Nb-6Zr alloy at different positive voltages in silicate electrolyte.
Figure 6. XRD patterns of the MAO films on Ti-39Nb-6Zr alloy at different positive voltages in silicate electrolyte.
Coatings 14 01408 g006
Figure 7. Surface morphologies of the MAO films at different voltages in silicate/glycerin electrolyte: (a,b) +450 V/−120, (c,d) +500 V/−120, (e,f) +550 V/−120.
Figure 7. Surface morphologies of the MAO films at different voltages in silicate/glycerin electrolyte: (a,b) +450 V/−120, (c,d) +500 V/−120, (e,f) +550 V/−120.
Coatings 14 01408 g007
Figure 8. XPS spectra of MAO film on Ti-39Nb-6Zr alloy at +500 V/−120 V in silicate/glycerin electrolyte, (a) Ti 2p, (b) Nb 3d, (c) Zr 3d, (d) Si 2p, (e) B 1s, (f) O 1s, (g) C 1s.
Figure 8. XPS spectra of MAO film on Ti-39Nb-6Zr alloy at +500 V/−120 V in silicate/glycerin electrolyte, (a) Ti 2p, (b) Nb 3d, (c) Zr 3d, (d) Si 2p, (e) B 1s, (f) O 1s, (g) C 1s.
Coatings 14 01408 g008aCoatings 14 01408 g008b
Figure 9. Surface roughness (Ra) of MAO films at different positive voltages in silicate/glycerin electrolyte.
Figure 9. Surface roughness (Ra) of MAO films at different positive voltages in silicate/glycerin electrolyte.
Coatings 14 01408 g009
Figure 10. Cross-sectional morphologies of the MAO films at different voltages in silicate/glycerin electrolyte: (a) +450 V/−120, (b) +500 V/−120, (c) +550 V/−120.
Figure 10. Cross-sectional morphologies of the MAO films at different voltages in silicate/glycerin electrolyte: (a) +450 V/−120, (b) +500 V/−120, (c) +550 V/−120.
Coatings 14 01408 g010
Figure 11. XRD patterns of the MAO films on Ti-39Nb-6Zr alloy at different positive voltages in silicate/glycerin electrolyte.
Figure 11. XRD patterns of the MAO films on Ti-39Nb-6Zr alloy at different positive voltages in silicate/glycerin electrolyte.
Coatings 14 01408 g011
Figure 12. Potentiodynamic polarization curves and Nyquist plots of bare Ti−39Nb−6Zr alloy, S-MAO films and SG-MAO prepared at +550 V/−120 V (0.6 M NaCl solution), (a) potentiodynamic polarization curves, (b) Nyquist diagrams.
Figure 12. Potentiodynamic polarization curves and Nyquist plots of bare Ti−39Nb−6Zr alloy, S-MAO films and SG-MAO prepared at +550 V/−120 V (0.6 M NaCl solution), (a) potentiodynamic polarization curves, (b) Nyquist diagrams.
Coatings 14 01408 g012
Figure 13. Equivalent circuits of EIS. (a) bare Ti-39Nb-6Zr alloy, (b) S-MAO and SG-MAO films.
Figure 13. Equivalent circuits of EIS. (a) bare Ti-39Nb-6Zr alloy, (b) S-MAO and SG-MAO films.
Coatings 14 01408 g013
Figure 14. The optical emission spectra of micro-arc oxidized film of Ti-39Nb-6Zr alloy prepared in silicate electrolyte under the voltage of+450 V/−120 V. (a) Total optical emission spectra, (b) Hβ 436.1333 nm, (c) Hα 656.3519 nm.
Figure 14. The optical emission spectra of micro-arc oxidized film of Ti-39Nb-6Zr alloy prepared in silicate electrolyte under the voltage of+450 V/−120 V. (a) Total optical emission spectra, (b) Hβ 436.1333 nm, (c) Hα 656.3519 nm.
Coatings 14 01408 g014
Figure 15. The plasma parameters of micro-arc oxidized film of Ti-39Nb-6Zr alloy prepared in silicate electrolyte at +450 V/−120 V. (a) The relationship between electron temperature and discharge time, (b) the relationship between electron concentration and discharge time.
Figure 15. The plasma parameters of micro-arc oxidized film of Ti-39Nb-6Zr alloy prepared in silicate electrolyte at +450 V/−120 V. (a) The relationship between electron temperature and discharge time, (b) the relationship between electron concentration and discharge time.
Coatings 14 01408 g015
Figure 16. The optical emission spectra of micro-arc oxidized film of Ti-39Nb-6Zr alloy prepared in silicate/glycerin electrolyte under the voltage of+450 V/−120 V. (a) Total optical emission spectra, (b) Hβ 436.1333 nm, (c) Hα 656.3519 nm.
Figure 16. The optical emission spectra of micro-arc oxidized film of Ti-39Nb-6Zr alloy prepared in silicate/glycerin electrolyte under the voltage of+450 V/−120 V. (a) Total optical emission spectra, (b) Hβ 436.1333 nm, (c) Hα 656.3519 nm.
Coatings 14 01408 g016
Figure 17. The plasma parameters of micro-arc oxidized film of the Ti-39Nb-6Zr alloy prepared in silicate/glycerin electrolyte at +450 V/−120 V. (a) The relationship between electron temperature and discharge time, (b) the relationship between electron concentration and discharge time.
Figure 17. The plasma parameters of micro-arc oxidized film of the Ti-39Nb-6Zr alloy prepared in silicate/glycerin electrolyte at +450 V/−120 V. (a) The relationship between electron temperature and discharge time, (b) the relationship between electron concentration and discharge time.
Coatings 14 01408 g017
Table 1. Surface compositions of MAO films at different voltages in silicate electrolyte.
Table 1. Surface compositions of MAO films at different voltages in silicate electrolyte.
Voltage/ElementB (wt.%)O (wt.%)Si (wt.%)Ti (wt.%)Zr (wt.%)Nb (wt.%)
+400 V/−120 V40.1829.928.1612.531.917.09
+450 V/−120 V42.0938.6412.681.830.950.68
+500 V/−120 V47.9731.9615.130.311.000.03
Table 2. Surface compositions of MAO films at different voltages in silicate/glycerin electrolyte.
Table 2. Surface compositions of MAO films at different voltages in silicate/glycerin electrolyte.
Voltage/ElementC (wt.%)O (wt.%)Si (wt.%)Ti (wt.%)Zr (wt.%)Nb (wt.%)
+400 V/−120 V40.1829.928.1612.531.917.09
+450 V/−120 V42.0938.6412.681.830.950.68
+500 V/−120 V47.9731.9615.130.311.000.03
B region13.3239.627.2219.556.6412.99
W region0.1734.826.2339.786.3911.78
Table 3. Fitting results of potentiodynamic polarization curves in 0.6 M NaCl solution for bare Ti-39Nb-6Zr alloy, S-MAO films and SG-MAO prepared at +550 V/−120 V.
Table 3. Fitting results of potentiodynamic polarization curves in 0.6 M NaCl solution for bare Ti-39Nb-6Zr alloy, S-MAO films and SG-MAO prepared at +550 V/−120 V.
Samplesicorr (A·cm−2)Ecorr (V)Rp (Ω·cm2)
Ti-39Nb-6Zr alloy2.11 × 10−6−0.491.99 × 104
S-MAO1.25 × 10−7−0.0491.79 × 105
SG-MAO3.36 × 10−7−0.02376,311
Table 4. EIS fitting results of bare Ti-39Nb-6Zr alloy.
Table 4. EIS fitting results of bare Ti-39Nb-6Zr alloy.
SamplesRs
Ω·cm2
C
F/cm2
Rc
Ω·cm2
Cpa
F/cm2
Rpa
Ω·cm2
Ti-39Nb-6Zr alloy11.262.25 × 10−4654.304.13 × 10−45790
Table 5. EIS fitting results of S-MAO and SG-MAO films prepared at +550 V/−120 V.
Table 5. EIS fitting results of S-MAO and SG-MAO films prepared at +550 V/−120 V.
SamplesRs
Ω·cm2
CPEa,Y0
Ω−1·cm−2·s−n
naRa
Ω·cm2
CPEb,Y0
Ω−1·cm−2·s−n
nbRb
Ω·cm2
S-MAO10.523.91 × 10−60.651.90 × 1051.76 × 10−50.694.87 × 106
SG-MAO11.286.09 × 10−60.6512784.65 × 10−50.518.07 × 105
Table 6. Showing the wavelengths, transition modes, and statistical weights of the upper energy level, excitation energies and transition probabilities of two HI spectral lines.
Table 6. Showing the wavelengths, transition modes, and statistical weights of the upper energy level, excitation energies and transition probabilities of two HI spectral lines.
LineΛ (nm)TransitiongkEnergy (eV)Aki (106 s−1)
Hβ486.054d 2D→2p 2P322.558.42
Hα656.323d 2D→2p 2P181.8944.1
Disclaimer/Publisher’s Note: The statements, opinions and data contained in all publications are solely those of the individual author(s) and contributor(s) and not of MDPI and/or the editor(s). MDPI and/or the editor(s) disclaim responsibility for any injury to people or property resulting from any ideas, methods, instructions or products referred to in the content.

Share and Cite

MDPI and ACS Style

Chen, L.; Jin, X.; Xue, W.; Wu, J. Fabrication and Characterization of Micro-Arc Oxidation Films on β-Titanium Alloy in Silicate and Silicate/Glycerin Electrolyte. Coatings 2024, 14, 1408. https://doi.org/10.3390/coatings14111408

AMA Style

Chen L, Jin X, Xue W, Wu J. Fabrication and Characterization of Micro-Arc Oxidation Films on β-Titanium Alloy in Silicate and Silicate/Glycerin Electrolyte. Coatings. 2024; 14(11):1408. https://doi.org/10.3390/coatings14111408

Chicago/Turabian Style

Chen, Lin, Xiaoyue Jin, Wenbin Xue, and Jie Wu. 2024. "Fabrication and Characterization of Micro-Arc Oxidation Films on β-Titanium Alloy in Silicate and Silicate/Glycerin Electrolyte" Coatings 14, no. 11: 1408. https://doi.org/10.3390/coatings14111408

APA Style

Chen, L., Jin, X., Xue, W., & Wu, J. (2024). Fabrication and Characterization of Micro-Arc Oxidation Films on β-Titanium Alloy in Silicate and Silicate/Glycerin Electrolyte. Coatings, 14(11), 1408. https://doi.org/10.3390/coatings14111408

Note that from the first issue of 2016, this journal uses article numbers instead of page numbers. See further details here.

Article Metrics

Back to TopTop