First Principles Calculation of the Influence of Alloying on the Phase Stability, Elasticity, and Thermodynamic Properties of the MoNbTiVX (X = Al/Cr) Refractory High-Entropy Alloy
Abstract
1. Introduction
2. Details of Calculation Methods
2.1. Alloy Composition Design
2.2. Model Construction and Elastic Modulus Calculation
2.3. Thermodynamics Based on Quasi-Harmonic Approximation Model
3. Results and Discussion
3.1. Structural Stability
3.1.1. Lattice Distortion
3.1.2. Thermodynamic Stability
3.1.3. Elasticity Stability
3.2. Mechanical Property
3.2.1. Elastic Mechanical Properties
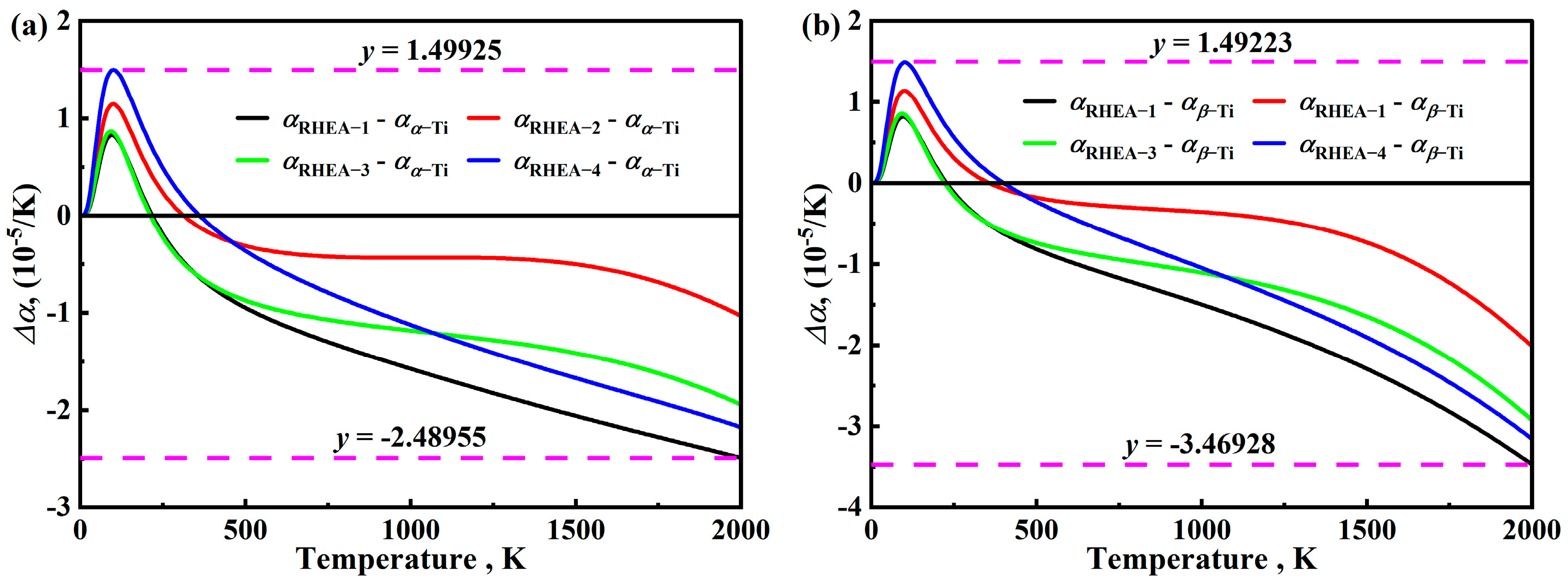
3.2.2. Thermodynamic Performance
4. Laser Cladding of Coatings
5. Conclusions
Supplementary Materials
Author Contributions
Funding
Institutional Review Board Statement
Informed Consent Statement
Data Availability Statement
Conflicts of Interest
References
- Philip, J.T.; Mathew, J.; Kuriachen, B. Tribology of Ti6Al4V: A review. Friction 2019, 7, 497–536. [Google Scholar] [CrossRef]
- Dai, J.; Zhu, J.; Chen, C.; Weng, F. High temperature oxidation behavior and research status of modifications on improving high temperature oxidation resistance of titanium alloys and titanium aluminides: A review. J. Alloys Compd. 2016, 685, 784–798. [Google Scholar] [CrossRef]
- Sienkiewicz, J.; Kuroda, S.; Murakami, H.; Araki, H.; Giżyński, M.; Kurzydłowski, K.J. Fabrication and Oxidation Resistance of TiAl Matrix Coatings Reinforced with Silicide Precipitates Produced by Heat Treatment of Warm Sprayed Coatings. J. Therm. Spray Technol. 2018, 27, 1165–1176. [Google Scholar] [CrossRef]
- Zhang, L.-C.; Chen, L.-Y.; Wang, L. Surface Modification of Titanium and Titanium Alloys: Technologies, Developments, and Future Interests. Adv. Eng. Mater. 2020, 22, 1901258. [Google Scholar] [CrossRef]
- Chen, K.; Liu, X.; Liu, X.; Meng, T.; Guo, Q.; Wang, Z.; Lin, N. Microstructure and wear behavior of Ti-6Al-4V treated by plasma Zr-alloying and plasma nitriding. J. Wuhan Univ. Technol. Mater. Sci. Ed. 2016, 31, 1086–1092. [Google Scholar] [CrossRef]
- Zubkins, M.; Arslan, H.; Bikse, L.; Purans, J. High power impulse magnetron sputtering of Zn/Al target in an Ar and Ar/O2 atmosphere: The study of sputtering process and AZO films. Surf. Coat. Technol. 2019, 369, 156–164. [Google Scholar] [CrossRef]
- Wang, Y.; Yu, H.; Chen, C.; Zhao, Z. Review of the biocompatibility of micro-arc oxidation coated titanium alloys. Mater. Des. 2015, 85, 640–652. [Google Scholar] [CrossRef]
- Movassagh-Alanagh, F.; Abdollah-zadeh, A.; Aliofkhazraei, M.; Abedi, M. Improving the wear and corrosion resistance of Ti–6Al–4V alloy by deposition of TiSiN nanocomposite coating with pulsed-DC PACVD. Wear 2017, 390, 93–103. [Google Scholar] [CrossRef]
- Jie, J.; Zhou, S.; Zheng, D. The Corrosion Behavior and Mechanical Properties of fluorine doped hydroxyapatite/Micro-arc oxidation (MAO) composite coating on the pure titanium substrate using a combination of micro-arc oxidation and electrochemical deposition method. Rare Met. Mater. Eng. 2019, 48, 1725–1733. [Google Scholar]
- Zhao, P.; Li, J.; Zhang, Y.; Li, X.; Xia, M.M.; Yuan, B.G. Wear and high-temperature oxidation resistances of AlNbTaZrx high-entropy alloys coatings fabricated on Ti6Al4V by laser cladding. J. Alloys Compd. 2021, 862, 158405. [Google Scholar] [CrossRef]
- Kusinski, J.; Kac, S.; Kopia, A.; Radziszewska, A.; Rozmus-Górnikowska, M.; Major, B.; Major, L.; Marczak, J.; Lisiecki, A. Laser modification of the materials surface layer—A review paper. Bull. Pol. Acad. Sci. Tech. Sci. 2012, 60, 711–728. [Google Scholar] [CrossRef]
- Huang, C.; Zhang, Y.; Vilar, R.; Shen, J. Dry sliding wear behavior of laser clad TiVCrAlSi high entropy alloy coatings on Ti–6Al–4V substrate. Mater. Eng. 2012, 41, 338–343. [Google Scholar] [CrossRef]
- Xia, M.; Liu, A.; Hou, Z.; Li, N.; Chen, Z.; Ding, H. Microstructure growth behavior and its evolution mechanism during laser additive manufacture of in-situ reinforced (TiB+TiC)/Ti composite. J. Alloys Compd. 2017, 728, 436–444. [Google Scholar] [CrossRef]
- Weng, F.; Yu, H.; Liu, J.; Chen, C.; Dai, J.; Zhao, Z. Microstructure and wear property of the Ti5Si3/TiC reinforced Co-based coatings fabricated by laser cladding on Ti-6Al-4V. Opt. Laser Technol. 2017, 92, 156–162. [Google Scholar] [CrossRef]
- Yan, H.; Liu, K.; Zhang, P.; Zhao, J.; Qin, Y.; Lu, Q.; Yu, Z. Fabrication and tribological behaviors of Ti3SiC2/Ti5Si3/TiC/Ni-based composite coatings by laser cladding for self-lubricating applications. Opt. Laser Technol. 2020, 126, 106077. [Google Scholar] [CrossRef]
- Zhou, Z.; Liu, X.-B.; Zhuang, S.-G.; Wang, M.; Luo, Y.-S.; Tu, R.; Zhou, S.-F. Laser in-situ synthesizing Ti5Si3/Al3Ni2 reinforced Al3Ti/NiTi composite coatings: Microstructure, mechanical characteristics and oxidation behavior. Opt. Laser Technol. 2019, 109, 99–109. [Google Scholar] [CrossRef]
- Yeh, J.W.; Chen, S.K.; Lin, S.J.; Gan, J.Y.; Chin, T.S.; Shun, T.T.; Tsau, C.H.; Chang, S.Y. Nanostructured High-Entropy Alloys with Multiple Principal Elements: Novel Alloy Design Concepts and Outcomes. Adv. Eng. Mater. 2004, 6, 299–303. [Google Scholar] [CrossRef]
- Yao, H.; Qiao, J.; Gao, M.; Hawk, J.; Ma, S.; Zhou, H. MoNbTaV Medium-Entropy Alloy. Entropy 2016, 18, 189. [Google Scholar] [CrossRef]
- Senkov, O.N.; Wilks, G.B.; Miracle, D.B.; Chuang, C.P.; Liaw, P.K. Refractory high-entropy alloys. Intermetallics 2010, 18, 1758–1765. [Google Scholar] [CrossRef]
- Senkov, O.N.; Miracle, D.B.; Chaput, K.J.; Couzinie, J.-P. Development and exploration of refractory high entropy alloys—A review. J. Mater. Res. 2018, 33, 3092–3128. [Google Scholar] [CrossRef]
- Han, L.; Ling-ling, M.; Chao-qun, W.; Lin, S.; Wei-ping, Z. Microstructure and Properties of Laser Cladding AlBxCoCrNiTi High-entropy Alloy Coating on Titanium Alloys. Surf. Technol. 2017, 46, 226–231. [Google Scholar]
- Wu, G.; Wang, X.; Zeng, X.; Wang, A.; Xiong, D. Microstructure and properties of laser clad AlCoCrFeNiTi0.5 high-entropy alloy coating on TC4 surface. Heat Treat. Met. 2019, 44, 1–5. [Google Scholar]
- Cai, Z.B.; Pang, X.J.; Cui, X.F.; Wen, X.; Liu, Z.; Dong, M.L.; Li, Y.; Jin, G. In Situ Laser Synthesis of High Entropy Alloy Coating on Ti-6Al-4V Alloy: Characterization of Microstructure and Properties. Mater. Sci. Forum 2017, 898, 643–650. [Google Scholar] [CrossRef]
- Cai, Z.; Jin, G.; Cui, X.; Liu, Z.; Zheng, W.; Li, Y.; Wang, L. Synthesis and microstructure characterization of Ni-Cr-Co-Ti-V-Al high entropy alloy coating on Ti-6Al-4V substrate by laser surface alloying. Mater. Charact. 2016, 120, 229–233. [Google Scholar] [CrossRef]
- Cai, Z.; Cui, X.; Jin, G.; Lu, B.; Zhang, D.; Zhang, Z. In situ TEM tensile testing on high-entropy alloy coating by laser surface alloying. J. Alloys Compd. 2017, 708, 380–384. [Google Scholar] [CrossRef]
- Xiang, K.; Chen, L.-Y.; Chai, L.; Guo, N.; Wang, H. Microstructural characteristics and properties of CoCrFeNiNbx high-entropy alloy coatings on pure titanium substrate by pulsed laser cladding. Appl. Surf. Sci. 2020, 517, 146214. [Google Scholar] [CrossRef]
- Senkov, O.N.; Wilks, G.B.; Scott, J.M.; Miracle, D.B. Mechanical properties of Nb25Mo25Ta25W25 and V20Nb20Mo20Ta20W20 refractory high entropy alloys. Intermetallics 2011, 19, 698–706. [Google Scholar] [CrossRef]
- Lo, K.-C.; Murakami, H.; Yeh, J.-W.; Yeh, A.-C. Oxidation behaviour of a novel refractory high entropy alloy at elevated temperatures. Intermetallics 2020, 119, 106711. [Google Scholar] [CrossRef]
- Xiao, F.; Ruan, Z.; Chen, R.; Yin, W.; Fan, T. First-Principles Calculations on Relative Energetic Stability, Mechanical, and Thermal Properties of B2-AlRE (RE = Sc, Y, La-Lu) Phases. Coatings 2024, 14, 1346. [Google Scholar] [CrossRef]
- Wang, Y.; Liu, H.; Hao, X.; Yang, C.; Liu, Y.; Chen, L.; Zhang, X. First-principles calculations to investigate phase stability, elastic and thermodynamic properties of TiMoNbX (X = Cr, Ta, Cr and Ta) refractory high entropy alloys. J. Phys. Condens. Matter 2024, 36, 485902. [Google Scholar] [CrossRef]
- Wang, M.; Zhou, Y.; Tian, W.; Li, J.; Chen, H.; Tan, J.; Chen, X. First-principles study the mechanical, electronic, and thermodynamic properties of Mg-Al-Mn ternary compounds. Vacuum 2023, 213, 112140. [Google Scholar] [CrossRef]
- Huang, C.; Zhang, Y.; Shen, J.; Vilar, R. Thermal stability and oxidation resistance of laser clad TiVCrAlSi high entropy alloy coatings on Ti–6Al–4V alloy. Surf. Coat. Technol. 2011, 206, 1389–1395. [Google Scholar] [CrossRef]
- Murty, B.S.; Yeh, J.W.; Ranganathan, S. High-Entropy Alloys; Elsevier Inc.: Amsterdam, The Netherlands, 2014. [Google Scholar]
- GUO, S.; LIU, C.T. Phase stability in high entropy alloys: Formation of solid-solution phase or amorphous phase. Prog. Nat. Sci. Mater. Int. 2011, 21, 433–446. [Google Scholar] [CrossRef]
- Yang, X.; Zhang, Y. Prediction of high-entropy stabilized solid-solution in multi-component alloys. Mater. Chem. Phys. 2012, 132, 233–238. [Google Scholar] [CrossRef]
- Guo, S.; Ng, C.; Lu, J.; Liu, C.T. Effect of valence electron concentration on stability of fcc or bcc phase in high entropy alloys. J. Appl. Phys. 2011, 109, 103505. [Google Scholar] [CrossRef]
- Dong, Y.; Lu, Y.; Jiang, L.; Wang, T.; Li, T. Effects of electro-negativity on the stability of topologically close-packed phase in high entropy alloys. Intermetallics 2014, 52, 105–109. [Google Scholar] [CrossRef]
- Clark, S.J.; Segall, M.D.; Pickard, C.J.; Hasnip, P.J.; Probert, M.I.J.; Refson, K.; Payne, M.C. First principles methods using CASTEP. Z. Für Krist.-Cryst. Mater. 2005, 220, 567–570. [Google Scholar] [CrossRef]
- Zunger, A.; Wei, S.; Ferreira, L.G.; Bernard, J.E. Special quasirandom structures. Phys. Rev. Lett. 1990, 65, 353–356. [Google Scholar] [CrossRef]
- Gao, M.C.; Yeh, J.-W.; Liaw, P.K.; Zhang, Y. High-Entropy Alloys: Fundamentals and Applications; Springer: Cham, Switzerland, 2016. [Google Scholar]
- van de Walle, A.; Tiwary, P.; de Jong, M.; Olmsted, D.L.; Asta, M.; Dick, A.; Shin, D.; Wang, Y.; Chen, L.Q.; Liu, Z.K.; et al. Efficient stochastic generation of special quasirandom structures. Calphad 2013, 42, 13–18. [Google Scholar] [CrossRef]
- Hu, Y.L.; Bai, L.H.; Tong, Y.G.; Deng, D.Y.; Liang, X.B.; Zhang, J.; Li, Y.J.; Chen, Y.X. First-principle calculation investigation of NbMoTaW based refractory high entropy alloys. J. Alloys Compd. 2020, 827, 153963. [Google Scholar] [CrossRef]
- Momma, K.; Izumi, F. VESTA 3for three-dimensional visualization of crystal, volumetric and morphology data. J. Appl. Crystallogr. 2011, 44, 1272–1276. [Google Scholar] [CrossRef]
- Chen, L.; Hao, X.; Wang, Y.; Zhang, X.; Liu, H. First-principles calculation of the effect of Ti content on the structure and properties of TiVNbMo refractory high-entropy alloy. Mater. Res. Express 2020, 7, 106516. [Google Scholar] [CrossRef]
- Chong, X. Design of Microstructure and Investigation of Properties of the Reinforced Phases in Wear-Resistant Steel. Ph.D. Thesis, Faculty of Materials Science and Engineering, Kunming University of Science and Technology, Kunming, China, 2017. [Google Scholar]
- Gao, M.C.; Suzuki, Y.; Schweiger, H.; Dogan, O.N.; Hawk, J.; Widom, M. Phase stability and elastic properties of Cr-V alloys. J. Phys. Condens. Matter 2013, 25, 075402. [Google Scholar] [CrossRef] [PubMed]
- Mouhat, F.; Coudert, F.-X. Necessary and sufficient elastic stability conditions in various crystal systems. Phys. Rev. B 2014, 90, 224104. [Google Scholar] [CrossRef]
- Ravindran, P.; Fast, L.; Korzhavyi, P.A.; Johansson, B.; Wills, J.; Eriksson, O. Density functional theory for calculation of elastic properties of orthorhombic crystals: Application to TiSi2. J. Appl. Phys. 1998, 84, 4891–4904. [Google Scholar] [CrossRef]
- Otero-de-la-Roza, A.; Abbasi-Pérez, D.; Luaña, V. Gibbs2: A new version of the quasiharmonic model code. II. Models for solid-state thermodynamics, features and implementation. Comput. Phys. Commun. 2011, 182, 2232–2248. [Google Scholar] [CrossRef]
- Richter, K.-H.; Weiss, A. 1H-NMR Studies of the Systems Ta1−VH (0.0 ≤ x 2264 1.0; 0 < y ≤ 0.9), and Nb1−VH (0.0 ≤ x ≤ 0.5; 0 < y ≤ 0.9). Magnetic Susceptibility, Knight Shift, and Longitudinal Relaxation. Berichte Bunsenges. Für Phys. Chem. 1988, 92, 833–840. [Google Scholar]
- Huang, Z.; Zhao, Y.; Hou, H.; Wang, Z.; Mu, Y.; Niu, X.; Han, P. Point Defects Structure and Alloying Effects of V Atoms into Ni3Al Alloy: A First-Principles Study. Rare Met. Mater. Eng. 2011, 40, 2136–2141. [Google Scholar]
- Chong, X.; Hu, M.; Wu, P.; Shan, Q.; Jiang, Y.H.; Li, Z.L.; Feng, J. Tailoring the anisotropic mechanical properties of hexagonal M7X3 (M=Fe, Cr, W, Mo; X=C, B) by multialloying. Acta Mater. 2019, 169, 193–208. [Google Scholar] [CrossRef]
- Zhang, J.-M.; Zhang, Y.; Xu, K.-W.; Ji, V. Young’s modulus surface and Poisson’s ratio curve for cubic metals. J. Phys. Chem. Solids 2007, 68, 503–510. [Google Scholar] [CrossRef]
- Mao, X.-C.; Liu, K.; Hou, B.-S.; Tan, J.; Zhou, X.-L. Theoretical Investigation of the Structural, Elastic, and Thermodynamic Properties of MgAl2O4 Spinel under High Pressure. J. Phys. Soc. Jpn. 2016, 85, 114605. [Google Scholar] [CrossRef]
- Chakraborty, A.; Liton, M.N.H.; Sarker, M.S.I.; Rahman, M.M.; Khan, M.K.R. Exploration of the structural, vibrational, electronic, mechanical and thermal properties of Ru4Al3B2 and Ru9Al3B8: A DFT study. RSC Adv. 2023, 13, 28912–28930. [Google Scholar] [CrossRef] [PubMed]
- Williams, P.D.; Ambaum, M.H.P. Chapter 4—The Atmosphere Under Gravity, Thermal Physics of the Atmosphere, 2nd ed.; Elsevier: Amsterdam, The Netherlands, 2021; pp. 65–89. [Google Scholar]
- Chen, L.; Wang, Y.; Hao, X.; Zhang, X.; Liu, H. Lightweight refractory high entropy alloy coating by laser cladding on Ti–6Al–4V surface. Vacuum 2021, 183, 109823. [Google Scholar] [CrossRef]
- Rudy, E.; Brukl, C.E.; Windisch, S. CONSTITUTION OF NIOBIUM (COLUMBIUM)-MOLYBDENUM-CARBON ALLOYS. Trans. Met. Soc. AIME 1967, 239, 1796–1808. [Google Scholar]
- Ming, L.C.; Manghnani, M.H.; Katahara, K.W. Phase transformations in the Ti-V system under high pressure up to 25 GPa. Acta Metall. 1981, 29, 479–485. [Google Scholar] [CrossRef]
- Asano, S.; Ishida, S. Electronic structures of Laves phase compounds. J. Magn. Magn. Mater. 1987, 70, 39–43. [Google Scholar] [CrossRef]
- Hagi, T.; Sato, Y.; Yasuda, M.; Tanaka, K. Structure and Phase Diagram of Ti–V–H System at Room Temperature. Trans. Jpn. Inst. Met. 1987, 28, 198–204. [Google Scholar]
















| Parameter | Calculating Expressions | Value Range | Ref. |
|---|---|---|---|
| Mixed entropy (ΔSmix) | [33] | ||
| Mixed enthalpy (ΔHmix) | [34] | ||
| Atomic radius difference (δ) | [35] | ||
| Composite parameter (Ω) | Ω ≥ 1.1, δ ≤ 6.6% | [35] | |
| Valence electron concentration (VEC) | [36] | ||
| Poor electronegativity (Δχ) | [37] |
| RHEAs | ∆Smix | ∆Hmix | δ | ∆χ | VEC | Tm | Ω | ρtheor |
|---|---|---|---|---|---|---|---|---|
| RHEA−1 | 11.53 | −2.75 | 4.07 | 0.249 | 5.0 | 2442.5 | 10.24 | 7.358 |
| RHEA−2 | 13.38 | −12.80 | 3.80 | 0.228 | 4.6 | 2140.6 | 2.24 | 6.409 |
| RHEA−3 | 13.38 | −4.32 | 5.62 | 0.225 | 5.2 | 2390.0 | 7.40 | 7.331 |
| RHEA−4 | 14.90 | −11.78 | 5.41 | 0.209 | 4.8 | 2147.2 | 2.72 | 6.510 |
| Parameter | RHEA−1 | RHEA−2 | RHEA−3 | RHEA−4 |
|---|---|---|---|---|
| E0/Hartree | −524.64946 | −532.813 | −701.04846 | −709.20839 |
| V0/Bohr3 | 863.30459 | 1074.57045 | 1024.59003 | 1221.91889 |
| Parameter | RHEA−1 | RHEA−2 | RHEA−3 | RHEA−4 |
|---|---|---|---|---|
| a | 3.177 | 3.175 | 3.116 | 3.117 |
| C11 | 243.914 | 256.536 | 273.205 | 238.983 |
| C12 | 127.084 | 128.388 | 132.683 | 120.564 |
| C44 | 39.823 | 27.338 | 32.676 | 50.257 |
| 58.4152 | 64.074 | 70.261 | 59.209 | |
| Cp | 87.262 | 101.050 | 100.007 | 70.307 |
| B | 166.027 | 171.104 | 179.524 | 160.037 |
| SV | 47.260 | 42.032 | 47.710 | 53.838 |
| SR | 45.632 | 35.473 | 41.571 | 53.492 |
| S | 46.446 | 38.756 | 44.641 | 53.6652 |
| B/S | 3.575 | 4.415 | 4.022 | 2.982 |
| Y | 127.453 | 108.097 | 123.672 | 144.809 |
| v | 0.372 | 0.395 | 0.385 | 0.349 |
| Anisotropic Factor | RHEA−1 | RHEA−2 | RHEA−3 | RHEA−4 |
|---|---|---|---|---|
| AZ | 0.6817 | 0.4267 | 0.4651 | 0.8488 |
| AVR | 0.0175 | 0.0846 | 0.0688 | 0.0032 |
| AU | 0.1783 | 0.9245 | 0.7384 | 0.0323 |
| Alloys | S0 | [100] | [010] | [001] |
|---|---|---|---|---|
| RHEA−1 | −0.0040 | 156.850 | 156.850 | 156.850 |
| RHEA−2 | −0.0105 | 170.891 | 170.891 | 170.891 |
| RHEA−3 | −0.0082 | 186.459 | 186.459 | 186.459 |
| RHEA−4 | −0.0015 | 158.128 | 158.128 | 158.128 |
Disclaimer/Publisher’s Note: The statements, opinions and data contained in all publications are solely those of the individual author(s) and contributor(s) and not of MDPI and/or the editor(s). MDPI and/or the editor(s) disclaim responsibility for any injury to people or property resulting from any ideas, methods, instructions or products referred to in the content. |
© 2024 by the authors. Licensee MDPI, Basel, Switzerland. This article is an open access article distributed under the terms and conditions of the Creative Commons Attribution (CC BY) license (https://creativecommons.org/licenses/by/4.0/).
Share and Cite
Chen, L.; Li, W.; Shi, W.; Liang, L.; Sun, J.; Yin, C.; Yi, J.; Zhang, X.; Qing, P.; Cao, A.; et al. First Principles Calculation of the Influence of Alloying on the Phase Stability, Elasticity, and Thermodynamic Properties of the MoNbTiVX (X = Al/Cr) Refractory High-Entropy Alloy. Coatings 2024, 14, 1399. https://doi.org/10.3390/coatings14111399
Chen L, Li W, Shi W, Liang L, Sun J, Yin C, Yi J, Zhang X, Qing P, Cao A, et al. First Principles Calculation of the Influence of Alloying on the Phase Stability, Elasticity, and Thermodynamic Properties of the MoNbTiVX (X = Al/Cr) Refractory High-Entropy Alloy. Coatings. 2024; 14(11):1399. https://doi.org/10.3390/coatings14111399
Chicago/Turabian StyleChen, Lin, Weijun Li, Weihe Shi, Liuqing Liang, Jinghui Sun, Chengchu Yin, Jiafei Yi, Xuming Zhang, Peilin Qing, Alin Cao, and et al. 2024. "First Principles Calculation of the Influence of Alloying on the Phase Stability, Elasticity, and Thermodynamic Properties of the MoNbTiVX (X = Al/Cr) Refractory High-Entropy Alloy" Coatings 14, no. 11: 1399. https://doi.org/10.3390/coatings14111399
APA StyleChen, L., Li, W., Shi, W., Liang, L., Sun, J., Yin, C., Yi, J., Zhang, X., Qing, P., Cao, A., Zhang, X., & Liu, H. (2024). First Principles Calculation of the Influence of Alloying on the Phase Stability, Elasticity, and Thermodynamic Properties of the MoNbTiVX (X = Al/Cr) Refractory High-Entropy Alloy. Coatings, 14(11), 1399. https://doi.org/10.3390/coatings14111399

