Abstract
This study aimed to investigate the effects of plasma-activated water (PAW) combined with a chitosan–oregano essential oil (CS-OEO) coating on the physicochemical, microbiological, and sensory attributes of carp fillets during chilled storage. Fresh carp fillets were immersed in sterile deionized water, PAW, CS-OEO, and PAW+CS-OEO, respectively, and stored at 4 °C for 10 d. The results showed that plasma-activated water combined with chitosan–oregano essential oil could effectively inhibit the microbial growth in carp fillets during chilled storage. At 10 d storage, the total viable count of carp fillets treated with PAW+CS-OEO decreased by 2.87 log10 CFU/g when compared to the control. The lowest pH values were found in the carp fillet samples after the PAW+CS-OEO treatment; as well, the carp fillet samples after the PAW+CS-OEO treatment showed the lowest total volatile basic nitrogen, thiobarbituric acid reactive substance values, and K values. In addition, the carp fillets in the PAW+CS-OEO treatment group showed the smallest color changes and the highest scores in sensory properties during chilled storage. This study provides a basis for the potential application of plasma-activated water combined with chitosan–oregano essential oil in the preservation of carp fillets and contributes to developing a new food packaging.
1. Introduction
Common carp (Cyprinus carpio) is an important economic fish, with high-yield production rates and a production of approximate 4198.5 thousand tons in global aquaculture among the major species [1], which is mainly marketed fresh, chilled, or frozen [2]. Moreover, common carp is very popular in many countries due to its source of high protein and delicious taste [1]. Generally, the quality deterioration in common carp, mainly caused by microorganisms, occurred during slaughter, transport, and processing, which is likely to be attributed to the high protein content, high moisture content, and microbial activities [1]. Therefore, many technologies are used to preserve raw common carp, such as organic acids, nitrites, and chlorides [3]. However, the application of these chemical methods was limited due to their potential health risk [4]. Hence, it is necessary to develop an effective as well as environmentally friendly preservation method for fish products to maintain the quality and extend the shelf life.
Plasma-activated water (PAW), usually obtained by atmospheric cold plasma discharge beneath or above the water surface, has the characteristics of a low pH and various reactive chemical species. In recent years, PAW has shown great potential for microbial decontamination especially on food surfaces [5]. Previous research showed that PAW can inactivate microorganisms (such as Pseudomonas, Escherichia coli, and yeast) on the surface of vegetables, fresh-cut fruits, seafood, and meat [6,7,8]. Moreover, PAW is also used for the preservation of food. As reported by Chaijan et al. [9], the shelf life of Asian seabass steaks was effectively extended for up to 25 days after PAW treatment for 120 s. In addition, 8 kV PAW treatment maintained the lowest microbial growth rate in fresh-cut pears during storage [10]. The active species (reactive nitrogen, reactive oxygen) within the PAW is likely to be responsible for its antimicrobial activity [11]. However, prolonged treatment of PAW leads to lipid oxidation and protein oxidation, which could affect food quality.
Antimicrobial coatings have a beneficial effect on the preservation of meat, fish, and poultry products because they can control microbial growth, improve safety, and delay spoilage of food [12]. Chitosan is a natural, biodegradable, non-toxic, biocompatible biopolymer, and has film-forming properties [13]. This biopolymer can be used as coatings and edible films for food preservation due to its broad range of antimicrobial properties against bacteria, viruses, and fungi [14]. In recent years, a chitosan-based coating containing essential oils (Eos), nisin, lysozyme, gallic acid, and natural extracts has been used to preserve and extend the shelf life of fruits, meat, and fish products [15]. Specifically, essential oils (EOs), obtained from plant materials, have been widely recommended and used in the food industry as an additive due to their potent antioxidant and antimicrobial effects [16,17]. A previous study found that 0.4% oregano essential oil can effectively extend the shelf life of ham [18]. However, in the food industry, the practical application of EOs was challenged mainly due to their specific physicochemical properties such as low aqueous solubility, high volatility, thermal instability, susceptibility to oxidation, and strong odor. Meanwhile, the potential interactions of EOs with food matrix components (such as proteins, fats, salts, and carbohydrates) may also decrease their bioactivity [19]. Hence, a chitosan-based essential oil coating is widely used to extend food shelf life. For example, a chitosan–citrus essential oil coating remarkably extended the shelf life of Pacific mackerel by about 3 d [20]. The shelf life of thyme essential oil chitosan nanoemulsion-treated pork was extended by more than 6 d [21].
The effects of PAW and chitosan–oregano essential oil on the safety and shelf life of food have been extensively investigated, respectively. A chitosan-based edible coating combined with PAW has been confirmed to effectively extend the shelf life and improve the quality of red grapes [22]. The effectiveness of cold plasma combined with a low concentration of lemongrass oil against L. monocytogenes on pork has also been proven [23]. However, PAW combined with essential oils (EOs) or CS-EOs has not been studied in seafoods. Thus, this study investigated the effects of PAW+CS-OEO on the microbial spoilage of and quality changes in carp fillets during chilled storage to improve the preservation of carp fillets and develop a new seafood packaging.
2. Materials and Methods
2.1. Materials and Reagents
The fresh carp (1.4 ± 0.12 kg) were purchased from Zizhu supermarket in Zhengzhou (Henan, China). Chitosan (CS) was obtained from Macklin Biochemical Technology Co., Ltd. (Shanghai, China). Oregano essential oil (OEO) was obtained from Yuanye Bio-Technology Co., Ltd. (Shanghai, China). Plate count agar and tryptic soy broth (TSB) were obtained from Qingdao Hope Bio-Technology Co., Ltd. (Qingdao, China). The six nucleotide standards, adenosine diphosphate (ADP), adenosine triphosphate (ATP), adenosine monophosphate (AMP), inosine 5′-monophosphate (IMP), hypoxanthine (Hx), and hypoxanthine adenosine (HxR), were obtained from Shanghai Yuanye Bio-Technology Co., Ltd. (Shanghai, China). The acetic acid, tween 80, 1,1,3,3-tetraethoxypropane, and thiobarbituric acid (TBA), trichloroacetic acid (TCA), perchloric acid were obtained from Aladdin Biochemical Technology Co., Ltd. (Shanghai, China). NaCl and ethylenediaminetetraacetic acid disodium salt (EDTA-2Na) were obtained from Zhengyong Instrument Equipment Co., Ltd. (Zhengzhou, China).
2.2. Preparation of Plasma-Activated Water
The preparation of plasma-activated water (PAW) was performed according to the method reported by Liu et al. (2021) [4]. Briefly, the PAW was prepared by discharging on the water surface at 750 W with an atmospheric pressure plasma jet device (Tonson Automation Equipment Co., Ltd., Shenzhen, China). Sterile deionized water (SDW) in a plastic beaker activated by plasma discharge for 120 s was named as PAW120.
2.3. Preparation of Coating Solution
The essential oil emulsion was prepared according to Wang et al.’s (2021) [19] method with little modifications. In brief, 2% (w/v) chitosan was dissolved in 0.5% (w/v) acetic acid for 4 h to form the coating matrix. Then, 0.6% (w/v) oregano essential oil and tween 80 (25% w/w oil) were added to the coating matrix, mixed for 30 min, and homogenized with a high-shear homogenizer (Ultra Turrax Disperser T25, IKA labortechik, Königswinter, Germany) for 2 min at 10,000 rpm to prepare the emulsion.
2.4. Carp Fillet Samples Treatments
Carp fillets were cut into 4 × 3 × 1 cm3 (approximately 10 g) and were separated randomly into four groups: (a) immersed in SDW; (b) immersed in PAW; (c) immersed in oregano essential oil emulsion; (d) immersed in PAW (3 min) followed by oregano essential oil emulsion (5 min). All samples were immersed in different solutions for 8 min at 4 ± 0.5 °C. Then, all carp fillets were placed on sterilized trays immediately and stored at 4 ± 0.5 °C. At 0, 2, 4, 6, 8, and 10 d storage, 3 random samples were taken from each group for index analysis.
2.5. Microbiology Assays
The aerobic bacterial count of carp fillets at 4 °C was tested at different storage periods. Briefly, 10 g of carp fillet samples was placed in a sterile bag with 90 mL of sterile saline solution, and then they were patted for 2 min with a homogenizer (Scientz-04, Ningbo Scientz Biotechnology Co., Ltd., Ningbo, China). After serial dilution of the homogenates with a 0.85% sterile NaCl, 100 μL of the dilution suspension was spread on TSB plates. After incubation at 30 °C for 48 h, the total viable count (TVC) was counted, and all results were reported as log CFU per gram. Three replicates were made for each sample.
2.6. Measurement of pH
The pH value of carp fillets was recorded using a portable pH meter (pH-Star, Matthäus GmbH, Poettmes, Germany) as described by Liu et al. (2021) [4]. All measurements were processed in triplicate.
2.7. Surface Color Analysis
The surface color of carp fillets was detected using a colorimeter (WSC-80C, Beijing Optical Century Instrument Co., Ltd., Beijing, China) as described by Wang et al. (2021) [19]. The color values (L* (white/black), a* (red/green), and b* (yellow/blue)) of three random points of each sample surface were measured. The average value was calculated for each sample.
2.8. Texture Profile Analysis
The textural properties of carp fillets were detected using a texture analyzer (TA-XT plus, Stable Micro Systems Ltd., Surry, UK) equipped with a 50 kg load cell and a compression probe of 36 mm in diameter. The samples were tested for two consecutive cycles at 60% compression, pretest speed of 2.0 mm/s, test speed of 5.0 mm/s, posttest speed of 5.0 mm/s, and trigger force of 5 g. All detections were processed 9 times for each treatment.
2.9. Determination of Thiobarbituric Acid Reactive Substances (TBARS)
TBARS values were determined as described by Cheng et al. (2021) [24], with some modifications. Briefly, minced carp samples (5 g) were mixed with 50 mL of trichloroacetic acid (7.5%, w/v) containing 0.1% (w/v) EDTA-2Na. The mixture was homogenized at 50 °C for 30 min in a thermostatic oscillator and then filtered. After filtering, 5 mL of the solution was transferred to a test tube containing 5 mL of TBA (0.02 mol/L), and the mixture was boiled in a water bath at 90 °C for 30 min. Finally, a TU-1810UV-VIS spectrophotometer (Beijing Purkinje General Instrument Co., Ltd., Beijing, China) was used to detect absorbance of the final solution at a wavelength of 532 nm. Results are expressed as milligrams of malondialdehyde per kilogram of samples.
where X is the TBARS value of the sample (mg/kg), c is the TBARS content of the sample solution obtained from the standard curve (μg/mL), v is a constant volume of the sample solution (mL), m is the weight of the sample (g), and 1000 is a scaling factor.
2.10. Measurement of Total Volatile Basic Nitrogen (TVB-N)
TVB-N value in the carp fillets was determined according to the Chinese National Standard GB5009.228-2016 by semi-micro Kjeldahl distillation [25]. TVB-N values were expressed in mg nitrogen per 100 g sample.
2.11. Determination of K Value
K value of carp fillets was measured as described by Cai et al. (2018) [26], with some modifications. The minced samples (4 g) were homogenized with 25 mL of cold perchloric acid (0.6 mol/L) using a homogenizer for 2 min. Then, the mixture was centrifuged at 10,000× g for 10 min at 4 °C. The pH of the supernatant was adjusted to 6.5–6.8 with 10 mol/L KOH and 1 mol/L KOH solutions. The adjusted solution was centrifuged at 10,000× g for 10 min at 4 °C and the supernatant was collected for high-performance liquid chromatography analysis (HPLC). The K value was calculated as follows:
where HxR is hypoxanthine adenosine, Hx is hypoxanthine, ATP is adenosine triphosphate, ADP is adenosine 5′-diphosphate, AMP is adenosine 5′-monophosphate, IMP is inosine 5′-monophosphate.
2.12. Sensory Assessment
The sensory attributes of carp fillets were assessed by twenty trained sensory panelists [19]. The panelists were trained according to the Chinese National Standard GB/T16291.1-2012 (Sensory analysis—General guidance for the selection, training, and monitoring of assessors) [27]. Each panelist randomly evaluated three pieces from all groups and gave a numerical value for the following attributes: appearance, texture, odor, and color of the carp fillet samples on a hedonic scale (9-point). The score ranged from distaste extremely (1) to like extremely (9). The standard of evaluation was based on the Chinese National Standard GB/T37062-2018 (Guidelines for the sensory evaluation of aquatic products) [28]. The same procedure was repeated 6 times.
2.13. Statistical Analysis
The data are presented as mean ± standard deviation (SD). For statistical assessment, the statistical significance of differences between treatments was analyzed by one-way analysis of variance (ANOVA) and Duncan’s multiple range test (p < 0.05) using SPSS 23.0 (IBM, Chicago, IL, USA). All experiments were repeated at least 3 times.
3. Results and Discussion
3.1. TVC Value
As shown in Figure 1, the TVC was observed in all groups during a 10-day chilled storage. After being treated with SDW, PAW, CS-OEO, and PAW+CS-OEO, the initial values of the TVC were 3.04 log10 CFU/g, 3.05 log10 CFU/g, 2.45 log10 CFU/g, and 2.42 log10 CFU/g, respectively. The significant difference in the TVC values between SDW- and PAW-treated carp fillet samples was observed at 2 d (p < 0.05). At 10 d storage, the TVC values for samples treated with SDW, PAW, CS-OEO, and PAW+CS-OEO were 8 log10 CFU/g, 8.15 log10 CFU/g, 5.27 log10 CFU/g, and 5.13 log10 CFU/g, respectively. The TVC value for the PAW+CS-OEO group was significantly lower than the other groups (p < 0.05). The difference in the TVC may be due to the antimicrobial activity of CS-OEO and PAW [20,29]. However, after 8 d storage, the PAW group presented a significantly higher TVC value than the SDW group (p < 0.05) and showed insignificant differences in the TVC value when compared to the SDW group at 10 d storage (p > 0.05). Mozzon et al. [30] investigated the effect of PAW on the microbial decontamination of sardine fillets and found that after 4 d storage at 4 °C, the PAW treatment showed higher vital counts than the SDW treatment, which is similar to our results. Amino acids and proteins in fish tissues may reduce the bactericidal efficacy of PAW. In this study, the results demonstrated that the growth of microorganisms was well inhibited after the PAW+CS-OEO treatment during chilled storage, which is probably attributed to the fact that some active species in PAW can inactivate microorganisms on the surface of carp fillets [31]. Moreover, CS-EOs protects the antimicrobial ability of PAW and enhances the antimicrobial properties of the coating [32], and high antimicrobial properties of CS-OEO decelerated the growth of microorganisms during chilled storage [33]. Therefore, PAW+CS-OEO could effectively inhibit the growth of microorganisms on the carp fillets.
Figure 1.
The effect of different treatments on TVC of carp fillets during chilled storage. Means in the same column with different superscript capital letters show significant (p < 0.05) differences between different treatment groups within the same storage period. Means in the same column with different superscript lowercase letters show significant (p < 0.05) differences between same treatment group within different storage periods.
3.2. pH Value
The pH value is a vital indicator to estimate the quality and freshness of aquatic products [4]. As shown in Figure 2, the initial pH values of the carp fillets were 6.77, 6.41, 6.74, and 6.73 after the SDW, PAW, CS-OEO, and PAW+CS-OEO treatment, respectively. The lower pH value of the carp fillets treated with PAW was observed at day 0. The possible reason behind this might be due to some acidic substances formed in PAW (e.g., NO3− and NO2−) [34]. A decrease in early storage and increase in late storage in the pH were observed. The pH decline may be associated with the accumulation of lactic acid induced by glycolysis reactions [35]. The gradual increase in the pH was linked to the production of trimethylamine, ammonia, and other biogenic amines due to the bacterial propagation [36]. Moreover, the pH value of carp fillet samples treated with PAW+CS-OEO was significantly lower than that of the other groups at 10 d (p < 0.05), indicating the combination of PAW and CS-OEO has improved the inhibitory effect on the growth of microorganisms. The results are consistent with previous work conducted by Li et al. [20], who reported that the pH values of Pacific mackerel with a coating of chitosan–citrus essential oil were decreased in early storage and increased in late storage.
Figure 2.
The change in pH values of carp fillets after different treatments during chilled storage. Different superscript capital letters in the same bar indicate significant (p < 0.05) differences between different treatment groups within the same storage period. Different superscript lowercase letters show significant (p < 0.05) differences between same treatment group within different storage periods.
3.3. Color Analyses
Surface color is one of the main factors in determining whether or not a consumer will buy aquatic products [37]. Table 1 presents the changes in the L* (rightness), a* (redness/greenness), and b* (yellow) values of carp fillets during chilled storage; the L* values of all the carp fillet samples significantly decreased during chilled storage (p < 0.05). The initial L* values after the SDW, PAW, CS-OEO, and PAW+CS-OEO treatments were 51.79, 50.67, 51.57, and 51.46, respectively, which were significantly reduced to 46.23, 46.56, 48.04, and 49.91 (p < 0.05) after 10 days. During chilled storage, the L* values of the carp fillets from the PAW+CS-OEO group were greater than those of the other groups, indicating that the decline in brightness was delayed after being treated with PAW+CS-OEO.
Table 1.
The effect of different treatments on the color of carp fillets during chilled storage.
On the contrary, the a* and b* values of all the carp fillet samples were significantly increased during chilled storage (p < 0.05). The a* and b* values of the SDW-treated carp fillets were −0.36 and 1.66 at the beginning of storage and then significantly increased (p < 0.05) to 5.04 and 5.09 at the end, respectively. However, the a* and b* values of the carp fillets were significantly lower after the PAW+CS-OEO treatment at 10 d compared to SDW (3.07, 3.44). These results suggested that PAW+CS-OEO could maintain the color characteristics of carp fillets throughout chilled storage. A similar change tendency in the a* values was observed in grass carp [26], which was explained by the fact that the DeoMb could be converted into bright red oxymyoglobin (OxyMb) during chilled storage due to deoxymyoglobin (DeoMb) oxidation [6].
3.4. TBARS Value
Lipid oxidation is widely used to assess the quality deterioration in aquatic products [38]. Figure 3 presents the changes in the TBARS values of the carp fillets during chilled storage. The initial TBARS value of the carp fillets was 0.0059 mg MDA/kg. During chilled storage, the TBARS values of the carp fillet samples in all groups showed an increasing trend. The continuous increase in the TBARS values was attributed to the oxidation of unsaturated fatty acids throughout chilled storage [39]. At 10 d, the TBARS values were increased after being treated with SDW, PAW, CS-OEO, and PAW+CS-OEO, reaching 0.043 mg MDA/kg, 0.051 mg MDA/kg, 0.023 mg MDA/kg, and 0.017 mg MDA/kg, respectively. However, the TBARS values of the carp fillet samples from the PAW+CS-OEO group were lower throughout chilled storage compared to the other groups. Although the reactive nitrogen and reactive oxygen within PAW lead to lipid and protein oxidation and responses to the highest TBARS value in the PAW group at 8, 10 d storage, the powerful antioxidant capacity of CS-OEO and lower oxygen permeability may be the reasons for the above phenomenon [20]. Similarly, Cai et al. (2018) reported that a chitosan–essential oils complex coating can effectively delay the lipid oxidation rate of grass carp and prolong the shelf life by 12 d [26].
Figure 3.
The effect of different treatments on TBARS of carp fillets during chilled storage. Different superscript capital letters in the same bar indicate significant (p < 0.05) differences between different treatment groups within the same storage period. Different superscript lowercase letters show significant (p < 0.05) differences between same treatment group within different storage periods.
3.5. TVB-N Value
The TVB-N value is usually regarded as a vital indicator in assessing the freshness of aquatic products [40]. Figure 4 shows the effect of different treatments on the TVB-N values of the carp fillets during chilled storage. The initial TVB-N value of the carp fillet samples was 15.79 mg/100 g, and continuously increased during storage. The SDW group showed a much higher value than the other groups during 8 days’ storage. After 10 days of chilled storage, the TVB-N values in the carp fillets treated with SDW, PAW, and CS-OEO were 29.21, 32.87, and 19.68, respectively. The TVB-N value of the SDW and PAW groups exceeded the limits of acceptable freshness (20 mg/100 g) according to the China national standards GB 2733-2015 [41], while a lower TVB-N value was observed in the PAW+CS-OEO group. The change in the TVB-N is attributed to the growth of microorganisms [42]. The results of the TVB-N were consistent with the TVC (Figure 1) and TBARS, demonstrating that PAW+CS-OEO inhibited the microbial degradation of proteins and other nitrogen-containing compounds [43], and effectively decreased the TVB-N values of the carp fillets during chilled storage.
Figure 4.
The effect of different treatments on TVB-N of carp fillets during chilled storage. Different superscript capital letters in the same bar indicate significant (p < 0.05) differences between different treatment groups within the same storage period. Different superscript lowercase letters show significant (p < 0.05) differences between same treatment group within different storage periods.
3.6. K Value
The K value is also used as a potential freshness indicator for fish products [44]. Figure 5 presents the K values of the carp fillet samples during chilled storage; the initial value was 11.99%, and a gradual increase was observed until the end of storage. At 6 d, the K value was over 60% in the SDW sample (60.76%), which exceeded the rejection level. The increase in the K value was mainly due to enzymatic hydrolysis and degradation by endogenous enzymes or microbial activity [45,46]. The change trend in the K value was consistent with the growth of microorganisms. In addition, after the PAW+CS-OEO treatment, the K value of the samples was significantly lower than the other groups throughout chilled storage (p < 0.05). After 10 days of chilled storage, the K values in the carp fillets treated with SDW, PAW, and CS-OEO were 90.62%, 94.31%, and 76.81%, respectively. However, the K value did not exceed the rejection level (60%) in the PAW+CS-OEO group at day 10 (55.91%). The delayed increase in the K value is likely attributed to the antibacterial ability of PAW [47,48] and a chitosan coating containing essential oil can reduce the activity of nucleotide enzymes, inhibiting the decomposition of ATP [26]. The results indicated that PAW+CS-OEO can well restrain the degradation of ATP.
Figure 5.
The effect of different treatments on K value of carp fillets during chilled storage.
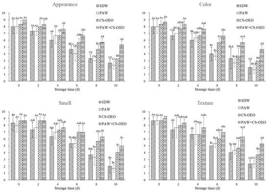
3.7. Sensory Evaluation
Deterioration in the sensory quality of carp fillets was mainly correlated with microbial activities and undesirable chemical reactions, both of which caused the changes in the surface color, texture, smell, and appearance of the samples [43]. The sensory score of carp fillets is shown in Figure 6; the sensory score of the carp fillets decreased gradually in all the group samples as the storage time increased. After 6 d storage, the acceptability of the CS-OEO and PAW+CS-OEO treatment samples was significantly (p < 0.05) higher compared to the SDW- and PAW-treated samples. After 10 d storage, the acceptability score of SDW, PAW, CS-OEO, and PAW+CS-OEO was 2.66, 2.33, 4.33, and 5.67, respectively. Moreover, a significant (p < 0.05) difference was observed between PAW+CS-OEO and the other groups. Studies had found that low concentrations of EOs may negatively affect the sensory attributes of food products, resulting in decreasing consumer acceptance [1]. In this study, the findings suggested that the synergetic treatment of PAW and CS-OEO was an effective way to improve the quality of stored carp fillets.
Figure 6.
The effect of different treatments on the sensory attributes of carp fillets during chilled storage. Different superscript capital letters in the same bar indicate significant (p < 0.05) differences between different treatment groups within the same storage period. Different superscript lowercase letters show significant (p < 0.05) differences between same treatment group within different storage periods.
4. Conclusions
The effects of PAW combined with CS-OEO treatment on the storage quality of carp fillets were investigated in this study. PAW+CS-OEO effectively inhibits the growth of the TVC in carp fillets and slows down the quality deterioration in carp fillets during 10 days of storage. Correspondingly, the spoilage was retarded, and the shelf life of the carp fillets after the PAW+CS-OEO treatment during chilled storage was extended. PAW+CS-OEO presents more effective fresh-maintaining effects on carp fillets than single PAW or CS-CEO. In general, the combination of PAW and CS-OEO can be used as an alternative antimicrobial agent in the preservation of fish products. The parameter optimization of PAW+CS-OEO needs further investigation.
Author Contributions
M.D.: investigation, data curation, formal analysis, roles/writing—original draft, writing—review and editing; B.H.: data curation, formal analysis, writing—review and editing; M.Z.: data curation, writing—review and editing; X.L.: conceptualization, funding acquisition, supervision, writing—review and editing. All authors have read and agreed to the published version of the manuscript.
Funding
This research was supported by the Key Scientific Research Project of Henan in China; the Key Laboratory of Agro-Products Processing, Key Laboratory of Agro-products Quality and Safety Control in Storage and Transport Process, Ministry of Agriculture and Rural Afairs Program (S2021 KFKT-16) in China.
Institutional Review Board Statement
This statement was excluded because the study did not require ethical approval. Ethical review and approval were waived for this study due to sensory panelists in this study to just observe, smell, and touch different samples, instead of taste.
Informed Consent Statement
All experimental procedures carried out on carp in this study were approved by the Animal Care and Ethics Committee for animal experiments of the Zhengzhou University of Light Industry.
Data Availability Statement
The data that support the results of this study are available on request from the corresponding author.
Conflicts of Interest
The authors declare that they have no known competing financial interests or personal relationships that could have appeared to influence the work reported in this paper.
References
- Hao, R.; Shah, B.R.; Sterniša, M.; Možina, S.S.; Mráz, J. Development of essential oil-emulsion based coating and its preservative effects on common carp. LWT Food Sci. Technol. 2022, 154, 112582. [Google Scholar] [CrossRef]
- Křížek, M.; Dadáková, E.; Vácha, F.; Pelikánová, T.; Matějková, K. The effects of two essential oil and UV-light irradiation treatments on the formation of biogenic amines in vacuum packed fillets of carp (Cyprinus carpio). LWT Food Sci. Technol. 2018, 95, 268–273. [Google Scholar] [CrossRef]
- Jeng, S.; Yau, J.; Chen, Y.; Lin, T.; Chung, Y. High zinc in the erythrocyte plasma membranes of common carp Cyprinus carpio. Fish. Sci. 2007, 73, 421–428. [Google Scholar] [CrossRef]
- Liu, X.; Zhang, M.; Meng, X.; Bai, Y.; Dong, X. Effect of Plasma-Activated Water on Shewanella putrefaciens Population Growth and Quality of Yellow River Carp (Cyprinus carpio) Fillets. J. Food Prot. 2021, 84, 1722–1728. [Google Scholar] [CrossRef] [PubMed]
- Mai-Prochnow, A.; Zhou, R.; Zhang, T.; Ostrikov, K.K.; Mugunthan, S.; Rice, S.A.; Cullen, P.J. Interactions of plasma-activated water with biofilms: Inactivation, dispersal effects and mechanisms of action. NPJ Biofilms Microbiomes 2021, 7, 11. [Google Scholar] [CrossRef]
- Zhao, Y.; Chen, R.; Tian, E.; Liu, D.; Niu, J.; Wang, W.; Qi, Z.; Xia, Y.; Song, Y.; Zhao, Z. Plasma-activated water treatment of fresh beef: Bacterial inactivation and effects on quality attributes. IEEE Trans. Radiat. Plasma Med. Sci. 2020, 4, 113–120. [Google Scholar] [CrossRef]
- Zhao, Y.; Ojha, S.; Burgess, C.M.; Sun, D.; Tiwari, B.K. Influence of various fish constituents on inactivation efficacy of plasma-activated water. Int. J. Food Sci. Technol. 2020, 55, 2630–2641. [Google Scholar] [CrossRef]
- Liu, C.; Chen, C.; Jiang, A.; Sun, X.; Guan, Q.; Hu, W. Effects of plasma-activated water on microbial growth and storage quality of fresh-cut apple. Innov. Food Sci. Emerg. Technol. 2020, 59, 102256. [Google Scholar] [CrossRef]
- Chaijan, M.; Chaijan, S.; Panya, A.; Nisoa, M.; Cheong, L.Z.; Panpipat, W. High hydrogen peroxide concentration-low exposure time of plasma-activated water (PAW): A novel approach for shelf-life extension of Asian sea bass (Lates calcarifer) steak. Innov. Food Sci. Emerg. Technol. 2021, 74, 102861. [Google Scholar] [CrossRef]
- Chen, C.; Liu, C.; Jiang, C.; Guan, A.; Sun, Q.; Liu, X.; Hao, S.; Hu, K.; Zhong, W. The effects of cold plasma-activated water treatment on the microbial growth and antioxidant properties of fresh-cut pears. Food Bioprocess Technol. 2019, 12, 1842–1851. [Google Scholar] [CrossRef]
- Laurita, R.; Gozzi, G.; Tappi, S.; Capelli, F.; Bisag, A.; Laghi, G.; Gherardi, M.; Cellini, B.; Abouelenein, D.; Vittori, S.; et al. Effect of plasma activated water (PAW) on rocket leaves decontamination and nutritional value. Innov. Food Sci. Emerg. Technol. 2021, 73, 102805. [Google Scholar] [CrossRef]
- Noori, S.; Zeynali, F.; Almasi, H. Antimicrobial and antioxidant efficiency of nanoemulsion-based edible coating containing ginger (Zingiber officinale) essential oil and its effect on safety and quality attributes of chicken breast fillets. Food Control 2018, 84, 312–320. [Google Scholar] [CrossRef]
- Skírnisdóttir, S.; Knobloch, S.; Lauzon, H.L.; Lauzon, H.L.; Lafsdóttir, A.; Marteinsson, V.Ó. Impact of onboard chitosan treatment of whole cod (Gadus morhua) on the shelf life and spoilage bacteria of loins stored superchilled under different atmospheres. Food Microbiol. 2021, 97, 103723. [Google Scholar] [CrossRef] [PubMed]
- Langroodi, A.M.; Nematollahi, A.; Sayadi, M. Chitosan coating incorporated with grape seed extract and Origanum vulgare essential oil: An active packaging for turkey meat preservation. J. Food Meas. Charact. 2021, 15, 2790–2804. [Google Scholar] [CrossRef]
- Kumar, S.; Mukherjee, A.; Dutta, J. Chitosan based nanocomposite films and coatings: Emerging antimicrobial food packaging alternatives. Trends Food Sci. Technol. 2020, 97, 196–209. [Google Scholar] [CrossRef]
- Huang, T.; Qian, Y.; Wei, J.; Zhou, C. Polymeric Antimicrobial Food Packaging and Its Applications. Polymers 2019, 11, 560. [Google Scholar] [CrossRef]
- Hacioglu, M.; Oyardi, Ö. Oregano essential oil inhibits Candida spp. biofilms. Z. Für Naturforschung C 2021, 76, 443–450. [Google Scholar] [CrossRef]
- Menezes NM, C.; Martins, W.F.; Longhi, D.A.; Falcão de Aragão, G.M. Modeling the effect of oregano essential oil on shelf-life extension of vacuum-packed cooked sliced ham. Meat Sci. 2018, 139, 113–119. [Google Scholar] [CrossRef]
- Wang, W.; Zhao, D.; Xiang, Q.; Li, K.; Wang, B.; Bai, Y. Effect of cinnamon essential oil nanoemulsions on microbiological safety and quality properties of chicken breast fillets during refrigerated storage. LWT Food Sci. Technol. 2021, 152, 112376. [Google Scholar] [CrossRef]
- Li, Y.; Wu, C.; Wu, T.; Yuan, C.; Hu, Y. Antioxidant and antibacterial properties of coating with chitosan–citrus essential oil and effect on the quality of pacific mackerel during chilled storage. Food Sci. Nutr. 2019, 7, 1131–1143. [Google Scholar] [CrossRef]
- Liu, T.; Liu, L. Fabrication and characterization of chitosan nanoemulsions loading thymol or thyme essential oil for the preservation of refrigerated pork. Int. J. Biol. Macromol. 2020, 162, 1509–1515. [Google Scholar] [CrossRef] [PubMed]
- Zou, F.; Shinali, T.S.; Yang, M.; Zhong, Y.; Wu, J.; Wang, L.; Wang, H. Incorporation of ascorbic acid in chitosan-based coating combined with plasma-activated water: A technology for quality preservation of red grapes after simulated transportation. Int. J. Biol. Macromol. 2024, 270, 132366. [Google Scholar] [CrossRef]
- Cui, H.; Wu, J.; Li, C.; Lin, L. Promoting anti-listeria activity of lemongrass oil on pork loin by cold nitrogen plasma assist. J. Food Saf. 2016, 37, e12316. [Google Scholar] [CrossRef]
- Cheng, Y.; Hu, J.; Wu, S. Chitosan based coatings extend the shelf-life of beef slices during refrigerated storage. LWT Food Sci. Technol. 2021, 138, 110694. [Google Scholar] [CrossRef]
- GB5009.228-2016; Determination of Total Volatile Basic Nitrogen in Food. National Standards of the People’s Republic of China: Beijing, China, 2016.
- Cai, L.; Leng, L.; Cao, A.; Cheng, X.; Li, J. The effect of chitosan-essential oils complex coating on physicochemical, microbiological, and quality change of grass carp (Ctenopharyhgodon idella) fillets. J. Food Saf. 2018, 38, e12399. [Google Scholar] [CrossRef]
- GB/T16291.1-2012; Sensory Analysis—General Guidance for the Selection, Training, and Monitoring of Assessors. National Standards of the People’s Republic of China: Beijing, China, 2012.
- GB/T37062-2018; Guidelines for the Sensory Evaluation of Aquatic Products. National Standards of the People’s Republic of China: Beijing, China, 2018.
- Ma, M.; Zhang, Y.; Lv, Y.; Sun, F. The key reactive species in the bactericidal process of plasma activated water. J. Phys. D Appl. Phys. 2020, 53, 185207. [Google Scholar] [CrossRef]
- Mozzon, M.; Mannozzi, C.; Foligni, R.; Osimani, A.; Galdenzi, F.; Laurita, R.; Tappi, S.; Rosa, M.D. Assessment of lipid oxidation and microbial decontamination of sardine. (Sardina pilchardus) fillets processed by plasma-activated water (PAW). LWT Food Sci. Technol. 2023, 188, 115401. [Google Scholar] [CrossRef]
- Thirumdas, R.; Kothakota, A.; Annapure, U.; Siliveru, K.; Blundell, R.; Gatt, R.; Valdramidis, V.P. Plasma activated water (PAW): Chemistry, physico-chemical properties, applications in food and agriculture. Trends Food Sci. Technol. 2018, 77, 21–31. [Google Scholar] [CrossRef]
- Ojagh, S.M.; Rezaei, M.; Razavi, S.H.; Hosseini, S.M.H. Effect of chitosan coatings enriched with cinnamon oil on the quality of refrigerated rainbow trout. Food Chem. 2010, 120, 193–198. [Google Scholar] [CrossRef]
- Pecarski, D.; Ketin, S.; Omerovic, I.; Mirkovic, M. Chemical compositions and antimicrobial activities of oregano and thyme essential oils. Bulg. Chem. Commun. 2016, 48, 678–683. [Google Scholar]
- Kang, C.; Xiang Qi Zhao, D.; Wang, W.; Niu, L.; Bai, Y. Inactivation of Pseudomonas deceptionensis CM2 on chicken breasts using plasma-activated water. J. Food Sci. Technol. 2019, 56, 4938–4945. [Google Scholar] [CrossRef] [PubMed]
- Zarandona, I.; López-Caballero, M.E.; Montero, M.P.; Guerrero, P.; Gómez-Guillén, M.C. Horse mackerel (Trachurus trachurus) fillets biopreservation by using gallic acid and chitosan coatings. Food Control 2020, 120, 107511. [Google Scholar] [CrossRef]
- Li, Y.; Zou, Q.; Song, S.; Sun, T.; Li, J. Effects of chitosan coatings combined with resveratrol and lysozyme on the quality of sciaenops ocellatus during refrigerated storage. J. Food Saf. 2020, 40, e12777. [Google Scholar] [CrossRef]
- Stella, S.; Bernardi, C.; Tirloni, E. Influence of Skin Packaging on Raw Beef Quality: A Review. J. Food Qual. 2018, 2018, 7464578. [Google Scholar] [CrossRef]
- Domínguez, R.; Pateiro, M.; Gagaoua, M.; Barba, F.J.; Zhang, W.; Lorenzo, J.M. A Comprehensive Review on Lipid Oxidation in Meat and Meat Products. Antioxidants 2019, 8, 429. [Google Scholar] [CrossRef]
- Nowzari, F.; Shabanpour, B.; Ojagh, S.M. Comparison of chitosan–gelatin composite and bilayer coating and film effect on the quality of refrigerated rainbow trout. Food Chem. 2013, 141, 1667–1672. [Google Scholar] [CrossRef] [PubMed]
- Perez-Won, M.; Lemus-Mondaca, R.; Herrera-Lavados, C.; Reyes, J.E.; Roco, T.; Palma-Acevedo, A.; Tabilo-Munizaga, G.; Aubourg, S.P. Combined Treatments of High Hydrostatic Pressure and CO2 in Coho Salmon (Oncorhynchus kisutch): Effects on Enzyme Inactivation, Physicochemical Properties, and Microbial Shelf Life. Foods 2020, 9, 273. [Google Scholar] [CrossRef] [PubMed]
- GB2733-2015; Fresh and Frozen Animal Aquatic Products. National Standards of the People’s Republic of China: Beijing, China, 2015.
- Chen, X.; Chen, W.; Lu, X.; Mao, Y.; Luo, X.; Liu, G.; Zhu, L.; Zhang, Y. Effect of chitosan coating incorporated with oregano or cinnamon essential oil on the bacterial diversity and shelf life of roast duck in modified atmosphere packaging. Food Res. Int. 2021, 147, 110491. [Google Scholar] [CrossRef]
- Wang, F.; Zhang, H.; Jin, W.; Li, L. Effects of tartary buckwheat polysaccharide combined with nisin edible coating on the storage quality of tilapia (Oreochromis niloticus) fillets. J. Sci. Food Agric. 2017, 98, 2880–2888. [Google Scholar] [CrossRef]
- Fan, X.; Lin, X.; Wu, C.; Cheng, Q.; Qi, H.; Konno, K.; Dong, X. Estimating freshness of ice storage rainbow trout using bioelectrical impedance analysis. Food Sci. Nutr. 2020, 9, 154–163. [Google Scholar] [CrossRef]
- Jia, S.; Li, Y.; Zhuang, S.; Sun, X.; Zhang, L.; Shi, J.; Hong, H.; Luo, Y. Biochemical changes induced by dominant bacteria in chill-stored silver carp (Hypophthalmichthys molitrix) and GC-IMS identification of volatile organic compounds. Food Microbiol. 2019, 84, 103248. [Google Scholar] [CrossRef] [PubMed]
- Xiong, X.; He, B.; Jiang, D.; Dong, X.; Yu, C. Postmortem biochemical and textural changes in the sea cucumber stichopus japonicus body wall (SJBW) during iced storage. LWT Food Sci. Technol. 2020, 118, 108705. [Google Scholar] [CrossRef]
- Guo, J.; Qin, D.; Li, W.; Wu, F.; Li, L.; Liu, X. Inactivation of Penicillium italicum on kumquat via plasma-activated water and its effects on quality attributes. Int. J. Food Microbiol. 2021, 343, 109090. [Google Scholar] [CrossRef] [PubMed]
- Amadio, C.; Farrando, S.; Zimmermann, M. Effect of chitosan coating enriched with oregano essential oil on the quality of refrigerated meat hamburgers. Rev. Fac. Cienc. Agrar. 2019, 51, 173–189. [Google Scholar]
Disclaimer/Publisher’s Note: The statements, opinions and data contained in all publications are solely those of the individual author(s) and contributor(s) and not of MDPI and/or the editor(s). MDPI and/or the editor(s) disclaim responsibility for any injury to people or property resulting from any ideas, methods, instructions or products referred to in the content. |
© 2024 by the authors. Licensee MDPI, Basel, Switzerland. This article is an open access article distributed under the terms and conditions of the Creative Commons Attribution (CC BY) license (https://creativecommons.org/licenses/by/4.0/).





