Thymol-Loaded Polymeric Nanocapsules’ Repellent Activity on Nymphs of Rhipicephalus sanguineus Sensu Lato
Abstract
1. Introduction
2. Materials and Methods
2.1. Material
2.2. Preparation of Polymeric Nanocapsules
2.3. Stability Studies
2.3.1. Particle Size, Polydispersity Index, and Zeta Potential
2.3.2. pH Measurements
2.3.3. Encapsulation Efficiency and Drug Content
2.4. Nanocapsule Morphology
2.5. Drug Release
2.6. In Vitro Skin Permeation
2.7. Thermal Analyses
2.8. Repellent Activity
2.8.1. Tick Colony
2.8.2. Repellent Bioassay
2.9. Determination of Thymol
2.10. Statistical Analyses
3. Results
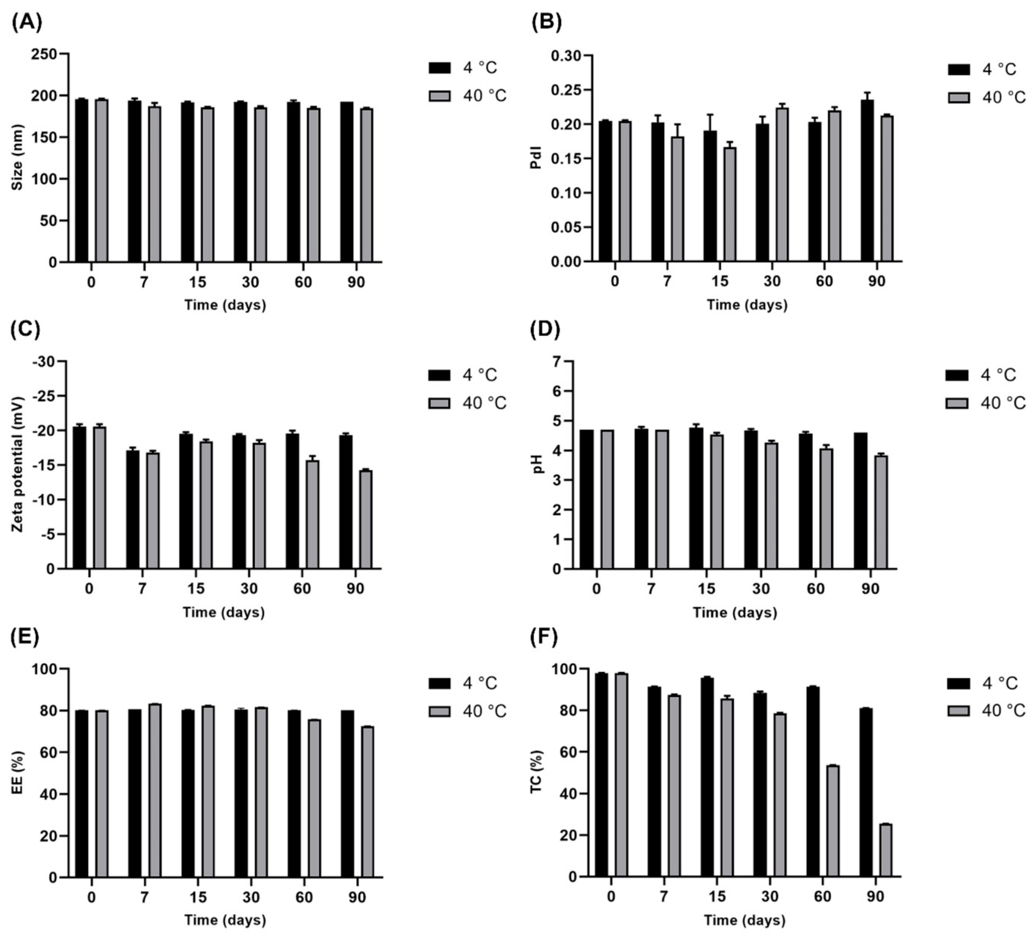
3.1. Stability Studies
3.2. Nanocapsule Morphology
3.3. In Vitro Release Study
3.4. In Vitro Skin Permeation
3.5. Thermal Analyses
3.5.1. TGA Analysis
3.5.2. DSC Analysis
3.6. Repellent Bioassay
4. Discussion
5. Conclusions
Author Contributions
Funding
Institutional Review Board Statement
Informed Consent Statement
Data Availability Statement
Acknowledgments
Conflicts of Interest
References
- Strickman, D.A. Topical repellent active ingredients in common use. In Insect Repellents Handbook; Mustapha, D., Frances, S.P., Strickman, D.A., Eds.; CRC Press: Boca Raton, FL, USA, 2015; pp. 231–238. [Google Scholar]
- Zhu, J.J.; Cermak, S.C.; Kenar, J.A.; Brewer, G.; Haynes, K.F.; Boxler, D.; Baker, P.D.; Wang, D.; Wang, C.; Li, A.Y.; et al. Better than DEET repellent compounds derived from coconut oil. Sci. Rep. 2018, 8, 14053. [Google Scholar] [CrossRef] [PubMed]
- Singhamahapatra, A.; Sahoo, L.; Sahoo, S. Mosquito repellent: A novel approach for human protection. In Molecular Identification of Mosquito Vectors and Their Management; Barik, T.K., Ed.; Springer: Berlin/Heidelberg, Germany, 2010. [Google Scholar]
- Quoc-Bao, D.; Vu, N.M.N.; Hebert, A.A. Insect repellents: An updated review for the clinician. J. Am. Acad. Dermatol. 2023, 88, 123–130. [Google Scholar]
- Koren, G.; Matsui, D.; Bailey, B. DEET-based insect repellents: Safety implications for children and pregnant and lactating women. CMAJ 2003, 169, 209–212. [Google Scholar]
- Bissinger, B.; Apperson, C.S.; Watson, D.W.; Arellano, C.; Sonenshine, D.E.; Roe, R.M. Novel field assays and the comparative repellency of BioUD®, DEET, and permethrin against Amblyomma americanum. Med. Vet. Entomol. 2011, 25, 217–226. [Google Scholar] [CrossRef]
- Wylie, B.J.; Hauptman, M.; Woolf, A.D.; Goldman, R.H. Insect repellants during pregnancy in the era of the Zika virus. Obstet. Gynecol. 2016, 128, 1111–1115. [Google Scholar] [CrossRef] [PubMed]
- Asadollahi, A.; Khoobdel, M.; Zahraei-Ramazani, A.; Azarmi, S.; Mosawi, S.H. Effectiveness of plant-based repellents against different Anopheles species: A systematic review. Malar. J. 2019, 18, 436. [Google Scholar] [CrossRef]
- Valdivieso-Ugarte, M.; Gomez-Llorente, C.; Plaza-Díaz, J.; Gil, Á. Antimicrobial, antioxidant, and immunomodulatory properties of essential oils: A systematic review. Nutrients 2019, 11, 2786. [Google Scholar] [CrossRef] [PubMed]
- Chen, F.-P.; Kong, N.-Q.; Wang, L.; Luo, Z.; Yin, J.; Chen, Y. Nanocomplexation between thymol and soy protein isolate and its improvements on stability and antibacterial properties of thymol. Food Chem. 2021, 334, 127594. [Google Scholar] [CrossRef]
- Vassiliou, E.; Awoleye, O.; Davis, A.; Mishra, S. Anti-inflammatory and antimicrobial properties of thyme oil and its main constituents. Int. J. Mol. Sci. 2023, 24, 6936. [Google Scholar] [CrossRef]
- Escobar, A.; Pérez, M.; Romanelli, G.; Blustein, G. Thymol bioactivity: A review focusing on practical applications. Arab. J. Chem. 2020, 13, 9243–9269. [Google Scholar] [CrossRef]
- Paudel, P.; Shah, F.M.; Guddeti, D.K.; Ali, A.; Chen, J.; Khan, I.A.; Li, X.-C. Repellency of carvacrol, thymol, and their acetates against imported fire ants. Insects 2023, 14, 790. [Google Scholar] [CrossRef] [PubMed]
- Quadros, D.G.; Johnson, T.L.; Whitney, T.R.; Oliver, J.D.; Oliva Chávez, A.S. Plant-derived natural compounds for tick pest control in livestock and wildlife: Pragmatism or utopia? Insects 2020, 11, 490. [Google Scholar] [CrossRef] [PubMed]
- Nagoor Meeran, M.F.; Javed, H.; Al Taee, H.; Azimullah, S.; Ojha, S.K. Pharmacological properties and molecular mechanisms of thymol: Prospects for its therapeutic potential and pharmaceutical development. Front. Pharmacol. 2017, 8, 380. [Google Scholar] [CrossRef] [PubMed]
- Novelino, A.M.S.; Daemon, E.; Soares, G.L.G. Avaliação da atividade repelente do timol, mentol, salicilato de metila e ácido salicílico sobre larvas de Boophilus microplus (Canestrini, 1887) (Acari: Ixodidae). Arq. Bras. Med. Vet. Zootec. 2007, 59, 700–704. [Google Scholar] [CrossRef]
- dos Santos Cardoso, A.; Santos, E.G.; da Silva Lima, A.; Temeyer, K.B.; de Leon, A.A.; Junior, L.M.; dos Santos Soares, A.M. Terpenes on Rhipicephalus (Boophilus) microplus: Acaricidal activity and acetylcholinesterase inhibition. Vet. Parasitol. 2020, 280, 109090. [Google Scholar] [CrossRef] [PubMed]
- Fradin, M.S.; Day, J.F. Comparative efficacy of insect repellents against mosquito bites. N. Engl. J. Med. 2002, 347, 13–18. [Google Scholar] [CrossRef]
- Misni, N.; Nor, Z.M.; Ahmad, R.; Ithnin, N.R.; Unyah, N.Z. Microencapsulation preservation of the stability and efficacy of Citrus grandis oil-based repellent formulation against Aedes aegypti during storage. Molecules 2021, 26, 3599. [Google Scholar] [CrossRef]
- Pires, F.Q.; Angelo, T.; Silva, J.K.; Sá-Barreto, L.C.; Lima, E.M.; Gelfuso, G.M.; Gratieri, T.; Cunha-Filho, M.S. Use of mixture design in drug-excipient compatibility determinations: Thymol nanoparticles case study. J. Pharm. Biomed. Anal. 2017, 137, 196–203. [Google Scholar] [CrossRef]
- Lima, A.L.; Gratieri, T.; Cunha-Filho, M.; Gelfuso, G.M. Polymeric nanocapsules: A review on design and production methods for pharmaceutical purposes. Methods 2021, 199, 54–66. [Google Scholar] [CrossRef]
- Elmowafy, M.; Shalaby, K.; Elkomy, M.H.; Alsaidan, O.A.; Gomaa, H.A.; Abdelgawad, M.A.; Mostafa, E.M. Polymeric nanoparticles for delivery of natural bioactive agents: Recent advances and challenges. Polymers 2023, 15, 1123. [Google Scholar] [CrossRef]
- Baldassarre, F.; Schiavi, D.; Ciarroni, S.; Tagliavento, V.; De Stradis, A.; Vergaro, V.; Suranna, G.P.; Balestra, G.M.; Ciccarella, G. Thymol-nanoparticles as effective biocides against the quarantine pathogen Xylella fastidiosa. Nanomaterials 2023, 13, 1285. [Google Scholar] [CrossRef] [PubMed]
- Kowalczyk, A.; Twarowski, B.; Fecka, I.; Tuberoso, C.I.G.; Jerković, I. Thymol as a component of chitosan systems—Several new applications in medicine: A comprehensive review. Plants 2024, 13, 362. [Google Scholar] [CrossRef]
- Dantas-Torres, F.; Otranto, D. Further thoughts on the taxonomy and vector role of Rhipicephalus sanguineus group ticks. Vet. Parasitol. 2015, 208, 9–13. [Google Scholar] [CrossRef] [PubMed]
- Van Wyk, C.L.; Mtshali, S.; Ramatla, T.; Lekota, K.E.; Xuan, X.; Thekisoe, O. Distribution of Rhipicephalus sanguineus and Haemaphysalis elliptica dog ticks and pathogens they are carrying: A systematic review. Vet. Parasitol. Reg. Stud. Reports 2024, 47, 100969. [Google Scholar] [PubMed]
- Fessi, H.P.; Puisieux, F.; Devissaguet, J.P.; Ammoury, N.; Benita, S. Nanocapsule formation by interfacial polymer deposition following solvent displacement. Int. J. Pharm. 1989, 55, R1–R4. [Google Scholar] [CrossRef]
- Bender, E.A.; Adorne, M.D.; Colomé, L.M.; Abdalla, D.S.; Guterres, S.S.; Pohlmann, A.R. Hemocompatibility of poly(ε-caprolactone) lipid-core nanocapsules stabilized with polysorbate 80-lecithin and uncoated or coated with chitosan. Int. J. Pharm. 2012, 426, 271–278. [Google Scholar] [CrossRef]
- Memisoglu-Bilensoy, E.; Şen, M.; Hincal, A.A. Effect of drug physicochemical properties on in vitro characteristics of amphiphilic cyclodextrin nanospheres and nanocapsules. J. Microencapsul. 2006, 23, 59–68. [Google Scholar] [CrossRef]
- Pires, F.Q.; da Silva, J.K.R.; Sa-Barreto, L.L.; Gratieri, T.; Gelfuso, G.M.; Cunha-Filho, M. Lipid nanoparticles as carriers of cyclodextrin inclusion complexes: A promising approach for cutaneous delivery of a volatile essential oil. Colloids Surf. B Biointerfaces 2019, 182, 110382. [Google Scholar] [CrossRef]
- Madelung, P.; Østergaard, J.; Bertelsen, P.; Jørgensen, E.V.; Jacobsen, J.; Müllertz, A. Impact of sodium dodecyl sulphate on the dissolution of poorly soluble drug into biorelevant medium from drug-surfactant discs. Int. J. Pharm. 2014, 467, 1–8. [Google Scholar] [CrossRef]
- Pereira, M.N.; Schulte, H.L.; Duarte, N.; Lima, E.M.; Sá-Barreto, L.L.; Gratieri, T.; Gelfuso, G.M.; Cunha-Filho, M.S.S. Solid effervescent formulations as a novel approach for topical minoxidil delivery. Eur. J. Pharm. Sci. 2017, 96, 411–419. [Google Scholar] [CrossRef]
- Louly, C.C.; Soares, S.F.; Silveira, D.N.; Neto, O.J.S.; Silva, A.C.; Borges, L.M.F. Differences in susceptibility of English cocker spaniel and beagle dogs to Rhipicephalus sanguineus (Acari: Ixodidae). Int. J. Acarol. 2009, 35, 25–32. [Google Scholar] [CrossRef]
- Bissinger, B.W.; Apperson, C.S.; Sonenshine, D.E.; Watson, D.W.; Roe, R.M. Efficacy of the new repellent BioUD® against three species of ixodid ticks. Exp. Appl. Acarol. 2009, 48, 239–250. [Google Scholar] [CrossRef]
- Barrozo, M.M.; Zeringóta, V.; Borges, L.M.F.; Moraes, N.; Benz, K.; Farr, A.; Zhu, J.J. Repellent and acaricidal activity of coconut oil fatty acids and their derivative compounds and catnip oil against Amblyomma sculptum. Vet. Parasitol. 2021, 300, 109591. [Google Scholar] [CrossRef] [PubMed]
- Angelo, T.; Pires, F.Q.; Gelfuso, G.M.; da Silva, J.K.R.; Gratieri, T.; Cunha-Filho, M.S.S. Development and validation of a selective HPLC-UV method for thymol determination in skin permeation experiments. J. Chromatogr. B Analyt. Technol. Biomed. Life Sci. 2016, 1022, 81–86. [Google Scholar] [CrossRef]
- Pina-Barrera, A.M.; Alvarez-Roman, R.; Baez-Gonzalez, J.G.; Amaya-Guerra, C.A.; Rivas-Morales, C.; Gallardo-Rivera, C.T.; Galindo-Rodriguez, S.A. Application of a multisystem coating based on polymeric nanocapsules containing essential oil of Thymus vulgaris L. to increase the shelf life of table grapes (Vitis vinifera L. ). IEEE Trans. Nanobiosci. 2019, 18, 549–557. [Google Scholar] [CrossRef]
- Mora-Huertas, C.E.; Fessi, H.; Elaissari, A. Polymer-based nanocapsules for drug delivery. Int. J. Pharm. 2010, 385, 113–142. [Google Scholar] [CrossRef]
- Ushirobira, C.Y.; Afiune, L.A.F.; Pereira, M.N.; Cunha-Filho, M.; Gelfuso, G.M.; Gratieri, T. Dutasteride nanocapsules for hair follicle targeting: Effect of chitosan-coating and physical stimulus. Int. J. Biol. Macromol. 2020, 151, 56–61. [Google Scholar] [CrossRef] [PubMed]
- Jäger, E.; Venturini, C.G.; Poletto, F.S.; Colomé, L.M.; Pohlmann, J.P.; Bernardi, A.; Battastini, A.M.; Guterres, S.S.; Pohlmann, A.R. Sustained release from lipid-core nanocapsules by varying the core viscosity and the particle surface area. J. Biomed. Nanotechnol. 2009, 5, 130–140. [Google Scholar] [CrossRef] [PubMed]
- Mosqueira, V.C.F.; Legrand, P.; Pinto-Alphandary, H.; Puisieux, F.; Barratt, G. Poly(D,L-lactide) nanocapsules prepared by a solvent displacement process: Influence of the composition on physicochemical and structural properties. J. Pharm. Sci. 2000, 89, 614–626. [Google Scholar] [CrossRef]
- Leonardi, G.R.; Gaspar, L.R.; Maia Campos, P.M.B.G. Study of pH variation on the skin using cosmetic formulations with and without vitamins A, E, or ceramide: By a non-invasive method. An. Bras. Dermatol. 2002, 77, 563–569. [Google Scholar] [CrossRef]
- Külkamp, I.C.; Paese, K.; Guterres, S.S.; Pohlmann, A.R. Stabilization of lipoic acid by encapsulation in polymeric nanocapsules designed for cutaneous administration. Quim. Nova 2009, 32, 2078–2084. [Google Scholar] [CrossRef]
- Grillo, R.; Rosa, A.H.; Fraceto, L.F. Poly(ε-caprolactone) nanocapsules carrying the herbicide atrazine: Effect of chitosan-coating agent on physico-chemical stability and herbicide release profile. Int. J. Environ. Sci. Technol. 2014, 11, 1691–1700. [Google Scholar] [CrossRef]
- Kishore, R.S.K.; Kiese, S.; Fischer, S.; Pappenberger, A.; Grauschopf, U.; Mahler, H.C. The degradation of polysorbates 20 and 80 and its potential impact on the stability of biotherapeutics. Pharm. Res. 2011, 28, 1194–1210. [Google Scholar] [CrossRef]
- Xing, J.; Zhang, H.; Wei, G.; Hong, T.; Chen, S.; Liang, H.; Quan, X. Electro-responsive OCNT/PPy membrane for efficient irreversible-fouling control through electroregulation of electrostatic and fluid interaction forces. Chem. Eng. J. 2024, 494, 153221. [Google Scholar] [CrossRef]
- Ozuna-Valencia, K.H.; Moreno-Vásquez, M.J.; Graciano-Verdugo, A.Z.; Rodríguez-Félix, F.; Robles-García, M.Á.; Barreras-Urbina, C.G.; Quintero-Reyes, I.E.; Cornejo-Ramírez, Y.I.; Tapia-Hernández, J.A. The application of organic and inorganic nanoparticles incorporated in edible coatings and their effect on the physicochemical and microbiological properties of seafood. Processes 2024, 12, 1889. [Google Scholar] [CrossRef]
- Al-Nasiri, G.; Cran, M.J.; Smallridge, A.J.; Bigger, S.W. Optimization of β-cyclodextrin inclusion complexes with natural antimicrobial agents: Thymol, carvacrol, and linalool. J. Microencapsul. 2018, 35, 26–35. [Google Scholar] [CrossRef]
- Elhesaisy, N.; Swidan, S. Trazodone loaded lipid core poly(ε-caprolactone) nanocapsules: Development, characterization and in vivo antidepressant effect evaluation. Sci. Rep. 2020, 10, 1964. [Google Scholar] [CrossRef]
- Yingngam, B.; Chiangsom, A.; Pharikarn, P.; Vonganakasame, K.; Kanoknitthiran, V.; Rungseevijitprapa, W.; Prasitpuriprecha, C. Optimization of menthol-loaded nanocapsules for skin application using the response surface methodology. J. Drug Deliv. Sci. Technol. 2019, 53, 101138. [Google Scholar] [CrossRef]
- Fontana, M.C.; Coradini, K.; Guterres, S.S.; Pohlmann, A.R.; Beck, R.C.R. Nanoencapsulation as a way to control the release and to increase the photostability of clobetasol propionate: Influence of the nanostructured system. J. Biomed. Nanotechnol. 2009, 5, 254–263. [Google Scholar] [CrossRef]
- Jiménez, M.M.; Pelletier, J.; Bobin, M.F.; Martini, M.C. Influence of encapsulation on the in vitro percutaneous absorption of octyl methoxycinnamate. Int. J. Pharm. 2004, 272, 45–55. [Google Scholar] [CrossRef]
- Dash, T.K.; Konkimalla, V.B. Poly-ε-caprolactone based formulations for drug delivery and tissue engineering: A review. J. Control. Release 2012, 158, 15–33. [Google Scholar] [CrossRef] [PubMed]
- Barradas, T.N.; Senna, J.P.; Júnior, E.R.; Mansur, C.R.E. Polymer-based drug delivery systems applied to insect repellents devices: A review. Curr. Drug Deliv. 2016, 13, 221–235. [Google Scholar] [CrossRef] [PubMed]
- Summerfield, A.; Meurens, F.; Ricklin, M.E. The immunology of the porcine skin and its value as a model for human skin. Mol. Immunol. 2015, 66, 14–21. [Google Scholar] [CrossRef] [PubMed]
- Barbero, A.M.; Frasch, H.F. Pig and guinea pig skin as surrogates for human in vitro penetration studies: A quantitative review. Toxicol. In Vitro 2009, 23, 1–13. [Google Scholar] [CrossRef] [PubMed]
- Chen, J.; Jiang, Q.D.; Chai, Y.P.; Zhang, H.; Peng, P.; Yang, X.X. Natural terpenes as penetration enhancers for transdermal drug delivery. Molecules 2016, 21, 1709. [Google Scholar] [CrossRef]
- Pinto, N.O.F.; Rodrigues, T.H.S.; Pereira, R.C.A.; Silva, L.M.A.; Cáceres, C.A.; Azeredo, H.M.C.; Muniz, C.R.; Brito, E.S.; Canuto, K.M. Production and physico-chemical characterization of nanocapsules of the essential oil from Lippia sidoides Cham. Ind. Crops Prod. 2016, 86, 279–288. [Google Scholar] [CrossRef]
- Sun, C.; Cao, J.; Wang, Y.; Chen, J.; Huang, L.; Zhang, H.; Wu, J.; Sun, C. Ultrasound-mediated molecular self-assemble of thymol with 2-hydroxypropyl-β-cyclodextrin for fruit preservation. Food Chem. 2021, 363, 130327. [Google Scholar] [CrossRef]
- Cunha-Filho, M.S.S.; Martínez-Pacheco, R.; Landin, M. Effect of storage conditions on the stability of β-lapachone in solid state and in solution. J. Pharm. Pharmacol. 2013, 65, 798–806. [Google Scholar] [CrossRef] [PubMed]
- Fraj, A.; Jaâfar, F.; Marti, M.; Coderch, L.; Ladhari, N. A comparative study of oregano (Origanum vulgare L.) essential oil-based polycaprolactone nanocapsules/microspheres: Preparation, physicochemical characterization, and storage stability. Ind. Crops Prod. 2019, 140, 111669. [Google Scholar] [CrossRef]
- Choi, M.J.; Ruktanonchai, U.; Min, S.G.; Chun, J.Y.; Soottitantawat, A. Physical characteristics of fish oil encapsulated by β-cyclodextrin using an aggregation method or polycaprolactone using an emulsion-diffusion method. Food Chem. 2010, 119, 1694–1703. [Google Scholar] [CrossRef]
- Reddy, C.K.; Jung, E.S.; Son, S.Y.; Lee, C.H. Inclusion complexation of catechins-rich green tea extract by β-cyclodextrin: Preparation, physicochemical, thermal, and antioxidant properties. LWT 2020, 131, 109723. [Google Scholar] [CrossRef]
- Pires, F.Q.; Pinho, L.A.; Freire, D.O.; Silva, I.C.R.; Sa-Barreto, L.L.; Cardozo-Filho, L.; Gratieri, T.; Gelfuso, G.M.; Cunha-Filho, M. Thermal analysis used to guide the production of thymol and Lippia origanoides essential oil inclusion complexes with cyclodextrin. J. Therm. Anal. Calorim. 2019, 137, 543–553. [Google Scholar] [CrossRef]
- Nieddu, M.; Rassu, G.; Boatto, G.; Bosi, P.; Trevisi, P.; Giunchedi, P.; Carta, A.; Gavini, E. Improvement of thymol properties by complexation with cyclodextrins: In vitro and in vivo studies. Carbohydr. Polym. 2014, 102, 393–399. [Google Scholar] [CrossRef]
- Karimi, E.; Abbasi, S.; Abbasi, N. Thymol polymeric nanoparticle synthesis and its effects on the toxicity of high glucose on OEC cells: Involvement of growth factors and integrin-linked kinase. Drug Des. Dev. Ther. 2019, 13, 2513–2532. [Google Scholar] [CrossRef]
- Wang, T.; Luo, Y. Chitosan hydrogel beads functionalized with thymol-loaded solid lipid–polymer hybrid nanoparticles. Int. J. Mol. Sci. 2018, 19, 3112. [Google Scholar] [CrossRef] [PubMed]
- Marcet, I.; Weng, S.; Sáez-Orviz, S.; Rendueles, M.; Díaz, M. Production and characterisation of biodegradable PLA nanoparticles loaded with thymol to improve its antimicrobial effect. J. Food Eng. 2018, 239, 26–32. [Google Scholar] [CrossRef]
- Pivetta, T.P.; Simões, S.; Araújo, M.M.; Carvalho, T.; Arruda, C.; Marcato, P.D. Development of nanoparticles from natural lipids for topical delivery of thymol: Investigation of its anti-inflammatory properties. Colloids Surf. B Biointerfaces 2018, 164, 281–290. [Google Scholar] [CrossRef]
- Mattos, B.D.; Tardy, B.L.; Pezhman, M.; Kämäräinen, T.; Linder, M.; Schreiner, W.H.; Magalhães, W.L.E.; Rojas, O.J. Controlled biocide release from hierarchically-structured biogenic silica: Surface chemistry to tune release rate and responsiveness. Sci. Rep. 2018, 8, 5555. [Google Scholar] [CrossRef]
- Xie, K.; Tashkin, D.P.; Luo, M.Z.; Zhang, J.Y. Chronic toxicity of inhaled thymol in lungs and respiratory tracts in mouse model. Pharmacol. Res. Perspect. 2019, 7, e00516. [Google Scholar] [CrossRef] [PubMed] [PubMed Central]






| Time | Negative Control (Ethanol) | Unloaded Nanoparticles | Thymol Ethanolic Solution | Thymol-Loaded Nanoparticles |
|---|---|---|---|---|
| 1 min | 51.7 ± 16.6 | 36.7 ± 23.3 * | 66.7 ± 17.6 * | 68.3 ± 16.6 * |
| 5 min | 47.9 ± 16.5 | 41.7 ± 16.2 | 66.7 ± 13.6 * | 73.3 ± 14.0 * |
| 10 min | 45.8 ± 17.2 | 41.7 ± 21.1 | 68.3 ± 14.6 * | 71.7 ± 15.8 * |
| 15 min | 50.0 ± 15.7 | 40.0 ± 16.1 | 60.0 ± 14.0 | 70.0 ± 20.5 * |
| 1 h | 38.7 ± 14.4 | 35.4 ± 18.7 | 65.0 ± 19.9 * | 64.5 ± 13.9 * |
| 2 h | 36.7 ± 18.9 | 33.3 ± 19.2 | 60.0 ± 21.1 * | 51.7 ± 19.9 * |
| 24 h | 50.0 ± 19.2 | 50.0 ± 17.6 | 55.0 ± 19.3 | 45.0 ± 24.9 |
Disclaimer/Publisher’s Note: The statements, opinions and data contained in all publications are solely those of the individual author(s) and contributor(s) and not of MDPI and/or the editor(s). MDPI and/or the editor(s) disclaim responsibility for any injury to people or property resulting from any ideas, methods, instructions or products referred to in the content. |
© 2024 by the authors. Licensee MDPI, Basel, Switzerland. This article is an open access article distributed under the terms and conditions of the Creative Commons Attribution (CC BY) license (https://creativecommons.org/licenses/by/4.0/).
Share and Cite
Sales, A.M.R.; Pereira, G.R.S.; Lima, L.C.N.; Monteiro, C.M.O.; Matos, B.N.; Taveira, S.F.; Cunha-Filho, M.; Gelfuso, G.M.; Gratieri, T. Thymol-Loaded Polymeric Nanocapsules’ Repellent Activity on Nymphs of Rhipicephalus sanguineus Sensu Lato. Coatings 2024, 14, 1295. https://doi.org/10.3390/coatings14101295
Sales AMR, Pereira GRS, Lima LCN, Monteiro CMO, Matos BN, Taveira SF, Cunha-Filho M, Gelfuso GM, Gratieri T. Thymol-Loaded Polymeric Nanocapsules’ Repellent Activity on Nymphs of Rhipicephalus sanguineus Sensu Lato. Coatings. 2024; 14(10):1295. https://doi.org/10.3390/coatings14101295
Chicago/Turabian StyleSales, Amanda M. R., Gessyka R. S. Pereira, Lais C. N. Lima, Caio M. O. Monteiro, Breno N. Matos, Stephânia F. Taveira, Marcilio Cunha-Filho, Guilherme M. Gelfuso, and Tais Gratieri. 2024. "Thymol-Loaded Polymeric Nanocapsules’ Repellent Activity on Nymphs of Rhipicephalus sanguineus Sensu Lato" Coatings 14, no. 10: 1295. https://doi.org/10.3390/coatings14101295
APA StyleSales, A. M. R., Pereira, G. R. S., Lima, L. C. N., Monteiro, C. M. O., Matos, B. N., Taveira, S. F., Cunha-Filho, M., Gelfuso, G. M., & Gratieri, T. (2024). Thymol-Loaded Polymeric Nanocapsules’ Repellent Activity on Nymphs of Rhipicephalus sanguineus Sensu Lato. Coatings, 14(10), 1295. https://doi.org/10.3390/coatings14101295

