Next Article in Journal
Thymol-Loaded Polymeric Nanocapsules’ Repellent Activity on Nymphs of Rhipicephalus sanguineus Sensu Lato
Next Article in Special Issue
Optimized Design of Quinary High-Entropy Transition Metal Carbide Ceramics Based on First Principles
Previous Article in Journal
Special Issue “New Advances in Novel Optical Materials and Devices”
Previous Article in Special Issue
Theoretical Calculations and Experimental Study of the Nitrided Layer of 1Cr17Ni2 Steel
 
 
Font Type:
Arial Georgia Verdana
Font Size:
Aa Aa Aa
Line Spacing:
Column Width:
Background:
Article

First-Principles Study on the Influence of Crystal Structures on the Interface Properties of Graphene/Titanium Composites

1
National Key Laboratory for Precision Hot Processing of Metals, Harbin Institute of Technology, Harbin 150001, China
2
School of Materials Science and Engineering, Harbin Institute of Technology, Harbin 150001, China
*
Authors to whom correspondence should be addressed.
Coatings 2024, 14(10), 1293; https://doi.org/10.3390/coatings14101293
Submission received: 14 September 2024 / Revised: 1 October 2024 / Accepted: 5 October 2024 / Published: 10 October 2024
(This article belongs to the Special Issue Heat Treatment and Surface Engineering of Tools and Dies)

Abstract

In recent years, significant advancements have been made in the fabrication and application of graphene-reinforced metal matrix composites. The remarkable mechanical properties of graphene have led to a substantial enhancement in the strength of titanium-based composites reinforced with graphene nanosheets. However, the occurrence of severe interfacial reactions remains one of the most challenging issues in graphene-reinforced titanium matrix composites. This study, grounded in first principles, investigates the interfacial bonding between pure titanium and graphene across two distinct crystal structures, as well as the impact of vacancy defects on the composite’s interfacial structure. The bond strength between beta titanium and graphene is found to be relatively weaker, which may facilitate a reduction in the reactivity between graphene and titanium. Furthermore, the presence of vacancy defects is identified as a crucial factor influencing the formation of titanium carbide. This study presents a novel approach to enhance the interfacial adhesion between graphene and titanium.

1. Introduction

Titanium matrix composites, characterized by their low density, high specific strength and excellent corrosion resistance, have emerged as a crucial component in national defense and the defense industry [1]. Two-dimensional materials, such as graphene, exhibit remarkable mechanical properties and serve as effective reinforcements in composite materials [2,3,4]. Recent studies have demonstrated that graphene enhances the mechanical and electrical properties of metal matrix composites [5,6]. For instance, Chak et al. [6] successfully synthesized graphene nanosheet-reinforced aluminum matrix composites using a stirring-assisted liquid method, resulting in a uniform dispersion of graphene within the matrix, which significantly improved the mechanical properties of the composite. Additionally, Lin et al. [7] investigated the effects of ball milling time on the dispersion of graphene, concluding that an optimal milling duration can preserve the structural integrity of graphene while maximizing its beneficial properties. Nonetheless, challenges persist in achieving effective dispersion of graphene within the matrix material, primarily due to strong van der Waals forces that lead to aggregation and clustering of the graphene layers. Furthermore, interactions at the interface between graphene and certain matrix metals, such as titanium and aluminum, can result in interface reactions; while minor interface reactions may enhance the bonding between the matrix and the reinforcement, excessive reactions can lead to the formation of carbides [8,9], which can compromise the original nanostructure of graphene and hinder the realization of its superior performance.
Current research predominantly focuses on surface modification techniques of graphene to enhance the adhesion between graphene and titanium, with nickel plating being a prominent method [10,11]. While this approach is highly effective, the chemical interaction between nickel and titanium can result in the formation of the more brittle compound Ti2Ni, consequently diminishing the material’s elongation properties [12,13]. In the context of titanium alloys, it is important to note that they comprise not only hexagonal alpha titanium but also beta titanium, which possesses a body-centered cubic structure. Existing experimental investigations primarily emphasize the interface characteristics between graphene and titanium, often neglecting the potential impact of the crystal structure on the bonding strength at the interface.
In commonly utilized titanium alloys, the structural composition predominantly consists of alpha titanium and beta phase or is solely comprised of beta phase. The incorporation of beta titanium alloys enhances the biocompatibility and overall mechanical properties of the material; however, it concurrently results in a decrease in the material’s elastic modulus [14]. The production of the beta phase in actual composite materials necessitates the introduction of other metallic elements, complicating the investigation of the effects of the crystal structure on the interfacial properties of the materials [15]. To examine the interaction between beta titanium and graphene within the composite material, as well as its impact on the mechanical properties, this study employs first-principles methods to investigate the interfacial bonding characteristics between pure titanium and graphene exhibiting various crystal structures.
This study investigates the interfacial bonding characteristics between graphene and titanium, which exhibit varying crystal structures, as well as the interface properties of graphene/titanium composites that contain different types of vacancy defects. Utilizing first-principles methods, we analyze the effects of vacancies and crystal structures on the interfacial bonding of these materials by calculating their interface properties and examining the corresponding interfacial electronic structures.

2. Materials and Methods

In order to characterize the conditions of single-layer graphene embedded within titanium, a Ti/Graphene/Ti interfacial model has been developed. This model facilitates a comparison of the interfaces formed with α-Ti/graphene and β-Ti/graphene. Density functional theory (DFT) calculations were conducted using the CASTEP software, utilizing ultrasoft pseudopotentials. It was observed that the generalized gradient approximation (GGA) tends to underestimate the binding energy of the systems while overestimating bond lengths. GGA provides a more accurate representation of the chemical interactions between the titanium and graphene layers. An energy cutoff of 420 eV was employed for the plane wave basis set in these calculations. A k-point mesh of 3 × 3 × 1 is used for all structure calculations [16]. Through the interface spacing test using the form of UBER [17,18], we determine the interfacial spacing is 2.2 Å. And the number of layers of the surface layer Ti is five layers to more accurately describe the interface bonding of graphene and titanium. And the calculated convergence accuracy is less than 1 × 10−5 eV/atom, and the force is 0.03 eV/A. The number of layers of Titanium is determined by the test of convergence.
Based on the aforementioned calculation parameters, the following analyses will be conducted:
1. Identify the optimal combination of interface characteristics, encompassing interfacial spacing and the orientation relationship between the interfaces.
2. Evaluate the interface bonding between titanium and graphene across various crystal structures in order to examine the influence of crystallographic configurations and vacancy defects on interfacial binding strength.
3. Analyze the electronic structure to further investigate the nature of the interface bonding.
Each interface model with a different crystal of titanium is then subjected to energy minimization and calculated with the work of adhesion. The interface bonding strength can be measured by the work of adhesion. And the stability of interface can be measured by the energy of interface. The bigger the energy of interface, the more unstable the interface.
W ad = ( E Aslab + E Bslab + E Cslab E A / B / C ) / ( 2 A )
E int = ( E A / B / C E Asur E Bsur E Abulk E Bbulk E Cbulk ) / ( 2 A )
where EAslab is the total energy of the relaxed A layer, EA/B/C is the total energy of the relaxed interface model, and A is the area of the interface. Esur is the surface energy of corresponding layer, and Ebulk is the bulk energy of the surface model that constitutes the interface model.

3. Results

3.1. Construction of Graphene/Titanium Composite Interface Model

In this study, we employ the ‘sandwich model’ to examine the embedding of graphene within block titanium (Ti). Figure 1 presents the interface models for the α-Ti-Gr interface and the β-Ti-Gr interface. The graphene configuration utilized for the formation of the α-Ti-Gr interface features a 3×3R30° reconstruction relative to the conventional graphene unit cell, while the β-Ti-Gr interface exhibits a 3×3R90° reconstruction. Upon adjusting the lattice size of the titanium metal to align with the fixed lattice of graphene, the lattice mismatches for the α-Ti are found to be less than 5%, whereas the β-Ti displays lattice mismatches of approximately 7%, attributable to its body-centered cubic (bcc) structure. And the interface orientation relationship of α -Ti and graphene is (0001) α -Ti//(0001) graphene, [ 2 11 ¯ 0 ]   α -Ti// [ 10 1 ¯ 0 ] graphene. The interface orientation relationship of β -Ti and graphene is (0 1 ¯ 1) β -Ti// ( 0001 ) graphene, [ 2 11 ¯ ]   β -Ti// [ 1010 ] graphene. The lattice constants for the constructed α-Ti-Gr interface features are 8.73 Å, 8.73 Å, and 37.82 Å. In contrast, the lattice constants for the constructed β-Ti-Gr interface features are measured at 7.81 Å, 8.51 Å, and 42.79 Å. Additionally, the thickness of the vacuum layer is consistently maintained at about 15 Å.
Because of the stacking sequence of the dense row surface, there are two ways to construct the interface model. One is the projection of the two nearest layers of titanium atoms in the horizontal plane of the graphene that coincides exactly, and the other is the projection of the two nearest layers of titanium atoms in the horizontal plane of the graphene that is staggered 1/2a in the [ 2 11 ¯ 0 ] direction.

3.2. Calculation of Ti/Graphene Interface Properties

We conducted first-principles calculations to examine the impact of stacking order among various configurations of titanium and graphene on their interfacial properties.
Subsequent to geometric optimization (shown in Figure 2), the interfacial atomic arrangement remains unchanged. However, due to the varying environments surrounding each carbon atom, the forces acting on the titanium atoms differ. This discrepancy leads to fluctuations in the positions of both carbon and titanium atoms, ultimately resulting in the formation of folds in the graphene structure.
Table 1 presents a comparison of the work of adhesion and interfacial energy across various stacking orders. In the case of the α-Ti/graphene interface, the work of adhesion for the second model is greater than that of the first model, while the interfacial energy is lower. This observation suggests that the second model exhibits enhanced stability and stronger interfacial bonding. Conversely, for the β-Ti/graphene interface, the work of adhesion in the second model is comparable to that of the first model, although the interfacial energy is reduced. Consequently, this study focuses on the second model, characterized by a staggered arrangement of the two nearest layers of titanium atoms in the horizontal plane of the graphene, offset by 1/2a in the [ 2 11 ¯ 0 ] direction.
An analysis of the energy calculation outcomes for various configurations of titanium and graphene indicates that the β-Ti/Gr interface exhibits lower strength and stability compared to the α-Ti/Gr interface.
An examination of the distribution of titanium atoms within the interface layer, as illustrated in Figure 3, reveals distinct patterns based on the orientation relative to graphene. In the direction of the handrail of graphene, titanium atoms exhibit a systematic arrangement characterized by nearest neighbors, next neighbors, and distant neighbors. Conversely, in the zigzag direction of graphene, titanium atoms are positioned in the next closest arrangement. The atomic structure at the interface of β-titanium graphene composites appears to be disordered, lacking any discernible regularity.
Upon examining the spatial arrangement of carbon (C) atoms within the graphene layer of α-Ti/graphene composites, it was observed that the C atoms align along the direction of the graphene serration, exhibiting an upward orientation without lateral displacement, as well as a downward offset. Conversely, in the direction of the graphene armrest, C atoms are organized in an AB stacking configuration, wherein one layer remains aligned without offsets, thereby adhering to a periodic axisymmetric arrangement both above and below.
In the case of the β-titanium/graphene interface model, as illustrated in Figure 4, a symmetrical pattern offset is evident among two groups of four C atoms located in the central region of the graphene layer. In contrast, the remaining carbon atoms exhibit minor fluctuations in their vertical positions, which are characterized by substantial displacements of the C atoms in the central region, with fluctuation distances remaining below 0.15 Å.
Notably, while similar phenomena are observable in the carbon atom arrangements at the graphene interfaces of the two distinct structures, there are marked differences. The carbon atom positioning within the graphene layer of the α-titanium/graphene composite indicates the presence of an interface structure characterized by covalent bonding. In contrast, the carbon atoms in the graphene layer of the β-titanium/graphene composite exhibit a state analogous to that observed in the α-titanium system.
The interfacial atomic offsets have been quantified. It was observed that the offset at the β-Ti/Gr interface is greater than that at the α-Ti/Gr interface. Furthermore, the offset of the initial β-Ti layer is significantly smaller compared to that of the first α-Ti layer. This observation suggests that the β-Ti/Gr interface experiences minimal distortions.
In the investigation of electronic structures at the interface (As presented in Table 2, the corresponding atomic positions can be located in Figure 5), it was observed that the s-orbital electrons of the α-Ti layer are redistributed to the p-orbitals and d-orbitals. This charge transfer occurs specifically at the interface, particularly affecting the titanium (Ti) atoms that are in closest proximity to graphene. Notably, the Ti atom located at the center of the six-membered ring of graphene acquires 0.47 eV of electrons, a value that significantly exceeds that of the other Ti atoms in the vicinity.
A comparison of the charge distribution of atoms in the interfacial layer with that of atoms in the corresponding pure phase reveals a significant presence of both charge gain and loss in the graphene and titanium atoms at the interface. This observation suggests that the graphene and titanium atoms in the interfacial layer interact with each other through chemical bonding.
Figure 6 illustrates the electronic localization function (ELF) for two interface models. It is observed that the ELF value for the interaction between carbon atoms in graphene and titanium atoms in the interface layer approaches zero. This phenomenon suggests that the bonding characteristics between graphene and titanium are more akin to those of ionic bonding.
In this study, we investigate the variations in charge density differences of α-Ti/graphene and β-Ti/graphene composites before and after the formation of the interface, as illustrated in Figure 7. Our findings indicate that, in the case of α-Ti/graphene composites, the carbon six-membered ring within the graphene structure exhibits a significant loss of electrons following the establishment of the interface. Notably, some of these lost electrons are transferred between the titanium atoms and their nearest neighboring carbon atoms, resulting in a pronounced accumulation of electrons on the side adjacent to the carbon atoms. This observation suggests the presence of distinct ionic bonding characteristics. Additionally, the titanium atom located at the centroid of the carbon six-membered ring acquires electrons that are oriented perpendicular to the composite interface, originating from each carbon atom in the opposing six-membered ring. In contrast, for β-Ti/graphene composites, the carbon six-membered ring experiences an even greater loss of electrons post-interface formation, with a notable transfer of electrons occurring at the interface between graphene and titanium, resulting in a higher electron density.
The examination of the differential charge density at the interface of α-Ti and β-Ti composites reveals that, for the α-Ti/graphene interface, the titanium atom situated at the centroid of the graphene’s six-membered carbon ring exhibits significant electron gain and loss at the interface layer. This results in a notable shift of the electron cloud towards the graphene structure. In contrast, the corresponding electron transfer involving β-Ti atoms is comparatively minimal. Additionally, titanium atoms that are aligned with the carbon atoms demonstrate a similar trend in electron transfer. It is evident that the α-Ti/graphene interface possesses more pronounced covalent characteristics.

3.3. Effect of Defects on the Interface Properties of Graphene/Titanium Composites

In practice, the graphene used makes it difficult to perfect graphene, and there are often defects such as vacancies Observing the surrounding environment of carbon atoms in the composite interface model, it is found that there are two situations where carbon atoms are directly aligned with titanium atoms, and the other is that carbon atoms are not aligned with titanium atoms. Therefore, there are two cases of single-vacancy and double-vacancy defects in the interface model, and the vacancy case is related to the surrounding environment of the carbon atom. In order to study the influence of vacancies on the Ti/graphene interface, the Ti/single-vacancy graphene interface model and the Ti/double-vacancy graphene interface model were constructed, and the geometric optimization results were shown in the Figure 8, and it was obvious that the atoms near the interface had a large position shift, especially the Ti atoms corresponding to the vacancy, which were strongly attracted by the C atom near the vacancy and had a large displacement.
The calculated parameters, including interface spacing, adhesion work, and interface energy, are presented in the accompanying Table 3. A comparative analysis of the Ti/monolayer graphene/Ti interface, based on the computed values of adhesion work and interface energy, reveals that, in β-titanium/graphene composites, the presence of vacancy defects leads to a reduction in the material’s interface energy, an enhancement of adhesion work, and an overall increase in interface stability. In contrast, the β-titanium/graphene composite material exhibits a significant improvement in adhesion work, resulting in a notable enhancement of the interface characteristics, which contributes to a consistent decline in interface quality. Further examination of various vacancy configurations indicates that, when vacancies are situated at the alignment positions of titanium atoms, the material demonstrates elevated adhesion work and reduced interfacial energy. This observation suggests that the interfacial bonding within the material is both stronger and more stable under these conditions. Consequently, in practical applications, vacancies are likely to manifest in relation to the positions of titanium atoms, and subsequent analyses will concentrate on these specific interface structures.
The findings regarding the electron transfer in interfacial atoms indicate that titanium atoms located at vacancy sites exhibit a greater loss of electrons, with those situated at double-vacancy interfaces experiencing the most significant electron loss. This electron loss occurs across the s, p, and d orbitals, with the quantity of electrons lost being comparable among these orbitals. Additionally, the electron loss from carbon atoms is observed to increase with increasing distance from the vacancy. Notably, the majority of electrons lost by titanium atoms are found to be in the p orbital.
In this study, we investigated the electron transfer characteristics at the graphene-titanium interface in the presence of various types of defects. Our findings indicate that the number of electrons exchanged by titanium atoms at the Gr-Ti interface is positively correlated with the concentration of vacancies. Notably, graphene with topological defects exhibits a reduced capacity for electron gain and loss, with its electron exchange activity being slightly lower than that of pristine graphene. Upon comparing the grains and the average number of lost electrons, we observed analogous properties across the samples. Furthermore, we calculated the electron gains and losses associated with different layers of titanium atoms. It was found that titanium atoms located in the sub-interface layer experience a more significant loss of electrons; specifically, a loss of 0.11 eV was observed in the second layer of the double-vacancy interface, while a loss of 0.03 eV was recorded in the third layer. These results suggest that the presence of defects not only affects the bonding between titanium and graphene but also contributes to increased electron loss in non-interface layers, thereby enhancing interfacial interactions.
In examining the variations in electron gain and loss across different defective interface layers, as illustrated in Table 4, it is observed that the presence of vacancy defects exacerbates the electronic dynamics within the material’s interface layer. The imperfections in the graphene structure induce an asymmetry in the arrangement of titanium atoms within the upper and lower interface layers. Consequently, this structural asymmetry results in an unequal distribution of electron gain and loss among the titanium atoms. Specifically, the interface layer of titanium atoms associated with vacancy defects experiences a greater loss of electrons. This alteration in the electronic state subsequently affects the bonding interactions between titanium and carbon atoms at the interface of the composite materials, thereby facilitating the formation of titanium carbide.
Additionally, in Figure 9, we quantified the number of bond interactions among atoms within the interface layer. In the absence of vacancies, the number of bonds between interface atoms is constrained. Specifically, the relative bond count between carbon and titanium atoms is negative, indicating a lack of driving force for spontaneous bonding. Furthermore, the bond count between carbon atoms and their misaligned titanium counterparts is approximately 0.1, suggesting the formation of relatively weak ionic bonds between these atoms.
In the α-Ti/Gr composites, the presence of a vacancy defect is associated with a bond length of 0.2–0.3 between the carbon and titanium atoms adjacent to the defect. This observation suggests that these atoms are primarily linked by ionic bonds. Furthermore, it is noteworthy that the bond population at the interface of the double-vacancy graphene/titanium composite is significantly high, indicating an enhancement in the covalent bonding between the carbon and titanium atoms at this interface. This interaction progressively evolves into titanium carbide.
Figure 10 presents a statistical analysis of the variation of charge density along the z-axis, defined as the integral of the differential charge density within a specified region. An examination of the α-Ti/graphene interface reveals a pronounced symmetry in the charge density variation. In contrast, the β-Ti/graphene interface exhibits a notable lack of symmetry, which can be attributed to the differing degrees of mismatch between the two interfaces.
In examining the charge density variations at the α-Ti/graphene interface, it becomes evident that, in the absence of vacancy defects, the formation of the interface results in a substantial transfer of charge to the graphene layer. Notably, the differential charge density is maximized within the graphene layer, indicating a predominant concentration of electrons at the graphene surface. This phenomenon suggests that the binding at this interface leans more toward ionic bonding characteristics.
As vacancy defects emerge, as illustrated in Figure 11, the distribution of differential charge density becomes more uniform, leading to a reduction in the complexity of electron transfer. Conversely, at the β-Ti/graphene interface, the significant mismatch renders the interface more susceptible to the influence of vacancies. Consequently, the number of electrons lost at the upper interface layer remains relatively low.
In examining the differential charge density before and after the emergence of the defective interface, it is evident that the introduction of carbon atom vacancy defects significantly exacerbates the electron gain and loss processes for both carbon and titanium atoms in proximity to the defect. This phenomenon exerts a pronounced effect on the carbon atoms adjacent to the defect, resulting in a substantial alteration of the electron cloud distribution. Specifically, a greater portion of the bonding interactions among carbon atoms is redirected towards the bonds formed between carbon atoms and titanium atoms.
When comparing the interface between α-Ti and defective graphene, it is noteworthy that carbon atoms located near single-vacancy defects exhibit distinct behavior when contrasted with those near double-vacancy defects. Due to the reduced interatomic distance in single-vacancy graphene, there is an observable tendency for electrons to be transferred to nearby carbon atoms, fostering the potential formation of a five-membered ring structure among these carbon atoms. Conversely, the carbon atoms adjacent to double-vacancy defects demonstrate a greater propensity for charge transfer with titanium atoms.
In the case of the interface involving β-Ti and defective graphene, a clear trend emerges wherein the electron transfer among carbon atoms becomes pronounced. However, this tendency is not as markedly observed in the interface between α-Ti and defective graphene, indicating a weaker interaction in that context.
In our prior analysis of interfacial energy and adhesion work, we observed that the adhesion work at the interface formed by β-Ti and graphene is comparable to that of the interface comprised of α-Ti and graphene. However, the β-Ti/graphene interface exhibits greater stability. This can be elucidated by examining the differential charge density distribution, which indicates that the unique cubic structure of β-Ti facilitates the formation of a semi-coherent lattice interface with graphene. This semi-coherent lattice interface results in a reduced distance between the titanium atoms and graphene atoms within the β-Ti structure. Consequently, the intricate atomic arrangement at the interface decreases the likelihood of reactive interactions between β-Ti atoms and the defective graphene.

4. Conclusions

In this investigation, we employed first-principles methods to analyze the interaction between two distinct crystal structures of titanium, namely α-Ti and β-Ti, in conjunction with graphene. We specifically examined how various types of defects in graphene affect the interface properties of the resulting composites. Our findings indicate that the interface bonding between β-Ti and graphene exhibits superior characteristics compared to that of α-Ti. Although the interface bonding performance for both crystal structures is relatively similar, the interaction between β-Ti and graphene is marginally weaker, accompanied by a reduced electron transfer from titanium atoms within the interface layer. This phenomenon allows graphene to demonstrate its exceptional properties more effectively. Furthermore, the presence of vacancies in graphene enhances the covalent interactions between the carbon atoms of graphene and the titanium atoms, consequently increasing the likelihood of titanium carbide formation. Thus, defects play a crucial role in the development of titanium carbide within graphene-reinforced titanium matrix composites. Notably, when vacancies are present in graphene, the composite interface formed by β-Ti and graphene exhibits improved interface stability, albeit with a reduced interface binding strength.

Author Contributions

Conceptualization, X.H. and R.W.; methodology, R.W.; software, R.W. and W.L.; validation, P.K., W.L. and G.W.; formal analysis, X.H.; investigation, P.K. and W.L.; resources, G.W.; data curation, R.W.; writing—original draft preparation, R.W.; writing—review and editing, X.H. All authors have read and agreed to the published version of the manuscript.

Funding

This research was funded by National Key R&D Program of China (2022YFB3705701) and National Natural Science Foundation of China (52032002).

Institutional Review Board Statement

Not applicable.

Informed Consent Statement

Not applicable.

Data Availability Statement

Data will be made available upon request.

Conflicts of Interest

There are no conflicts of interest with this research.

References

  1. Hu, Z.; Tong, G.; Lin, D.; Chen, C.; Guo, H.; Xu, J.; Zhou, L. Graphene-Reinforced Metal Matrix Nanocomposites—A Review. Mater. Sci. Technol. 2016, 32, 930–953. [Google Scholar] [CrossRef]
  2. Dorri Moghadam, A.; Omrani, E.; Menezes, P.L.; Rohatgi, P.K. Mechanical and Tribological Properties of Self-Lubricating Metal Matrix Nanocomposites Reinforced by Carbon Nanotubes (CNTs) and Graphene—A Review. Compos. Part B Eng. 2015, 77, 402–420. [Google Scholar] [CrossRef]
  3. Tjong, S.C. Recent Progress in the Development and Properties of Novel Metal Matrix Nanocomposites Reinforced with Carbon Nanotubes and Graphene Nanosheets. Mater. Sci. Eng. R Rep. 2013, 74, 281–350. [Google Scholar] [CrossRef]
  4. Kaczmar, J.W.; Pietrzak, K.; Włosiński, W. The Production and Application of Metal Matrix Composite Materials. J. Mater. Process. Technol. 2000, 106, 58–67. [Google Scholar] [CrossRef]
  5. Güler, Ö.; Bağcı, N. A Short Review on Mechanical Properties of Graphene Reinforced Metal Matrix Composites. J. Mater. Res. Technol. 2020, 9, 6808–6833. [Google Scholar] [CrossRef]
  6. Chak, V.; Chattopadhyay, H. Synthesis of Graphene–Aluminium Matrix Nanocomposites: Mechanical and Tribological Properties. Mater. Sci. Technol. 2021, 37, 467–477. [Google Scholar] [CrossRef]
  7. Lin, K.; Fang, Y.; Gu, D.; Ge, Q.; Zhuang, J.; Xi, L. Selective Laser Melting of Graphene Reinforced Titanium Matrix Composites: Powder Preparation and Its Formability. Adv. Powder Technol. 2021, 32, 1426–1437. [Google Scholar] [CrossRef]
  8. Ge, Y.X.; Zhang, H.M.; Cheng, X.W.; Fan, Q.B.; Zhang, Z.H.; Mu, X.N.; Liu, L. Towards High Performance in Ti-Based Composite through Manipulating Nickel Coatings on Graphene Reinforcement. J. Alloys Compd. 2022, 893, 162240. [Google Scholar] [CrossRef]
  9. Guo, Y.; Huang, J.; Yu, K.; Dai, G.; Sun, Z.; Chang, H. Effect of the Ti-6Al-4V Powder Size on the Microstructure and Mechanical Properties of Composites with Nickel-Coated Graphene Nanoflakes. Mater. Charact. 2022, 184, 111627. [Google Scholar] [CrossRef]
  10. Wang, Y.; Zhu, M.; Dong, L.; Sun, G.; Zhang, W.; Xue, H.; Fu, Y.; Elmarakbi, A.; Zhang, Y. In-Situ Synthesized TiC/Ti-6Al-4V Composites by Elemental Powder Mixing and Spark Plasma Sintering: Microstructural Evolution and Mechanical Properties. J. Alloys Compd. 2023, 947, 169557. [Google Scholar] [CrossRef]
  11. Zhang, Y.; Guo, X.; Song, K.; Li, S.; Feng, J.; Duan, K.; Duan, J. Enhanced Interfacial Bonding and Mechanical Properties of (TiCp+GNPs)/Cu Composites by Ti-Induced GNPs/Cu Interfacial Modification. J. Alloys Compd. 2023, 958, 170366. [Google Scholar] [CrossRef]
  12. Cao, Z.; Li, J.; Zhang, H.; Li, W.; Wang, X. Mechanical and Tribological Properties of Graphene Nanoplatelets-Reinforced Titanium Composites Fabricated by Powder Metallurgy. J. Iron Steel Res. Int. 2020, 27, 1357–1362. [Google Scholar] [CrossRef]
  13. Li, S.; Hassanin, H.; Attallah, M.M.; Adkins, N.J.E.; Essa, K. The Development of TiNi-Based Negative Poisson’s Ratio Structure Using Selective Laser Melting. Acta Mater. 2016, 105, 75–83. [Google Scholar] [CrossRef]
  14. Geetha, M.; Singh, A.K.; Asokamani, R.; Gogia, A.K. Ti Based Biomaterials, the Ultimate Choice for Orthopaedic Implants—A Review. Prog. Mater. Sci. 2009, 54, 397–425. [Google Scholar] [CrossRef]
  15. Banerjee, D.; Williams, J.C. Perspectives on Titanium Science and Technology. Acta Mater. 2013, 61, 844–879. [Google Scholar] [CrossRef]
  16. Zhang, G.-X.; Reilly, A.M.; Tkatchenko, A.; Scheffler, M. Performance of Various Density-Functional Approximations for Cohesive Properties of 64 Bulk Solids. New J. Phys. 2018, 20, 063020. [Google Scholar] [CrossRef]
  17. Griesbach, C.; Jeon, S.-J.; Rojas, D.F.; Ponga, M.; Yazdi, S.; Pathak, S.; Mara, N.; Thomas, E.L.; Thevamaran, R. Origins of Size Effects in Initially Dislocation-Free Single-Crystal Silver Micro- and Nanocubes. Acta Mater. 2021, 214, 117020. [Google Scholar] [CrossRef]
  18. Rose, J.H.; Smith, J.R.; Ferrante, J. Universal Features of Bonding in Metals. Phys. Rev. B 1983, 28, 1835–1845. [Google Scholar] [CrossRef]
Figure 1. Schematic diagram of the relationship between Ti/graphene interface sites with different crystal structures; (a) α -Ti/graphene; (b) β -Ti/graphene.
Figure 1. Schematic diagram of the relationship between Ti/graphene interface sites with different crystal structures; (a) α -Ti/graphene; (b) β -Ti/graphene.
Coatings 14 01293 g001
Figure 2. Ti/graphene/Ti geometrically optimized interface models; ( a ) graphene/ α -Ti;   ( b ) graphene/ β -Ti.
Figure 2. Ti/graphene/Ti geometrically optimized interface models; ( a ) graphene/ α -Ti;   ( b ) graphene/ β -Ti.
Coatings 14 01293 g002
Figure 3. The position of the titanium atom is offset in the vertical direction; (a) α -Ti/graphene; (b) β -Ti/graphene.
Figure 3. The position of the titanium atom is offset in the vertical direction; (a) α -Ti/graphene; (b) β -Ti/graphene.
Coatings 14 01293 g003
Figure 4. The position of the carbon atoms of graphene is shifted vertically; (a) α -Ti/graphene; (b) β -Ti/graphene.
Figure 4. The position of the carbon atoms of graphene is shifted vertically; (a) α -Ti/graphene; (b) β -Ti/graphene.
Coatings 14 01293 g004
Figure 5. Titanium atom and carbon atomic number at the interface. (The blue atoms represent titanium atoms, while the brown atoms denote carbon atoms. The colors of the atoms in subsequent figures will adhere to this correspondence.).
Figure 5. Titanium atom and carbon atomic number at the interface. (The blue atoms represent titanium atoms, while the brown atoms denote carbon atoms. The colors of the atoms in subsequent figures will adhere to this correspondence.).
Coatings 14 01293 g005
Figure 6. Electron localization function of Ti/graphene interface; (a) α -Ti/graphene; (b) β -Ti/graphene.
Figure 6. Electron localization function of Ti/graphene interface; (a) α -Ti/graphene; (b) β -Ti/graphene.
Coatings 14 01293 g006
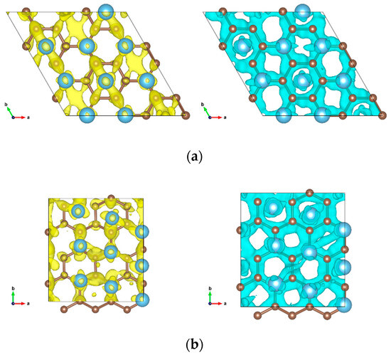
Figure 7. Differential charge density of Ti/graphene interface; (a) α -Ti/graphene; (b) β -Ti/graphene (Yellow tends to indicate that electrons are gained in this part after the interface is formed, and blue represents the loss of electrons).
Figure 7. Differential charge density of Ti/graphene interface; (a) α -Ti/graphene; (b) β -Ti/graphene (Yellow tends to indicate that electrons are gained in this part after the interface is formed, and blue represents the loss of electrons).
Coatings 14 01293 g007
Figure 8. Results of the geometric optimization of the interface model of graphene with different vacancy defects and titanium composites; (a)   α -Ti/monovacancy Gr-1; (b)   α -Ti/bivacancy Gr-1; (c)   β -Ti/monovacancy Gr-1; (d)   β -Ti/bivacancy Gr-1; (e)   α -Ti/monovacancy Gr-2; (f)   α -Ti/bivacancy Gr-2; (g)   β -Ti/monovacancy Gr-2; (h)   β -Ti/bivacancy Gr-2.
Figure 8. Results of the geometric optimization of the interface model of graphene with different vacancy defects and titanium composites; (a)   α -Ti/monovacancy Gr-1; (b)   α -Ti/bivacancy Gr-1; (c)   β -Ti/monovacancy Gr-1; (d)   β -Ti/bivacancy Gr-1; (e)   α -Ti/monovacancy Gr-2; (f)   α -Ti/bivacancy Gr-2; (g)   β -Ti/monovacancy Gr-2; (h)   β -Ti/bivacancy Gr-2.
Coatings 14 01293 g008aCoatings 14 01293 g008b
Figure 9. Distribution of atomic orbital key numbers of interfacial layer atoms; (a) α -Ti/graphene; (b) β -Ti/graphene.
Figure 9. Distribution of atomic orbital key numbers of interfacial layer atoms; (a) α -Ti/graphene; (b) β -Ti/graphene.
Coatings 14 01293 g009
Figure 10. Differential charge density changes with the z-axis; (a) α -Ti/graphene; (b) β -Ti/graphene.
Figure 10. Differential charge density changes with the z-axis; (a) α -Ti/graphene; (b) β -Ti/graphene.
Coatings 14 01293 g010
Figure 11. Differential charge density of Ti/graphene interface; (a) α -Ti/monovacancy Gr; (b) β -Ti/monovacancy Gr; (c) α -Ti/bivacancy Gr; (d) β -Ti/bi-vacancy Gr (Yellow tends to indicate that electrons are gained in this part after the interface is formed, and blue represents the loss of electrons).
Figure 11. Differential charge density of Ti/graphene interface; (a) α -Ti/monovacancy Gr; (b) β -Ti/monovacancy Gr; (c) α -Ti/bivacancy Gr; (d) β -Ti/bi-vacancy Gr (Yellow tends to indicate that electrons are gained in this part after the interface is formed, and blue represents the loss of electrons).
Coatings 14 01293 g011
Table 1. Interfacial energy and adhesion work at Ti/graphene interfaces with different crystal structures.
Table 1. Interfacial energy and adhesion work at Ti/graphene interfaces with different crystal structures.
d1 (Å)d2 (Å) W a d (J/m2) E i n t (J/m2)
Ti/Gr-12.112.121.410.82
Ti/Gr-22.162.150.920.92
β -Ti/Gr-12.112.001.400.11
β -Ti/Gr-22.272.271.410.13
Table 2. The gain or loss of electrons for each atom in the interface layer in different orbitals.
Table 2. The gain or loss of electrons for each atom in the interface layer in different orbitals.
ElementNumberspdChargeTotal
Ti962.286.502.7611.530.47
Ti842.366.642.7311.730.27
Ti722.356.542.7111.600.40
C591.143.1604.30−0.30
C661.143.1804.32−0.32
C631.163.1904.35−0.35
C671.163.2004.36−0.36
C681.143.1704.32−0.32
Table 3. Interfacial spacing and interface properties of graphene/titanium interfaces with different defects.
Table 3. Interfacial spacing and interface properties of graphene/titanium interfaces with different defects.
d1 (Å)d2 (Å) W a d (J/m2) E i n t (J/m2)
α -Ti/Gr2.122.12−1.420.82
α -Ti/monovacancy Gr-12.042.03−2.010.64
α -Ti/bivacancy Gr-12.012.02−2.060.67
α -Ti/monovacancy Gr-22.022.04−2.160.60
α -Ti/bivacancy Gr-22.041.96−2.530.58
β -Ti/Gr1.942.12−1.410.11
β -Ti/monovacancy Gr-12.032.07−2.070.25
β -Ti/bivacancy Gr-12.031.98−2.180.10
β -Ti/monovacancy Gr-22.062.02−2.000.34
β -Ti/bivacancy Gr-22.072.00−2.160.19
Table 4. The electronic behavior of graphene/titanium interfaces with various types of defects.
Table 4. The electronic behavior of graphene/titanium interfaces with various types of defects.
Qtotal (eV) Q a v e (eV)
α -Ti/GrGraphene−7.86−0.33
The upper titanium3.420.38
The lower titanium3.430.38
α -Ti/monovacancy GrGraphene−8.34−0.36
The upper titanium3.620.40
The lower titanium3.690.41
α -Ti/bivacancy GrGraphene−8.14−0.37
The upper titanium3.690.41
The lower titanium3.510.39
β -Ti/GrGraphene−7.870.38
The upper titanium3.460.28
The lower titanium3.490.39
β -Ti/monovacancy GrGraphene−8.19−0.36
The upper titanium3.500.39
The lower titanium3.780.42
β -Ti/bivacancy GrGraphene−8.01−0.36
The upper titanium3.470.39
The lower titanium3.700.41
Disclaimer/Publisher’s Note: The statements, opinions and data contained in all publications are solely those of the individual author(s) and contributor(s) and not of MDPI and/or the editor(s). MDPI and/or the editor(s) disclaim responsibility for any injury to people or property resulting from any ideas, methods, instructions or products referred to in the content.

Share and Cite

MDPI and ACS Style

Han, X.; Wang, R.; Kang, P.; Li, W.; Wu, G. First-Principles Study on the Influence of Crystal Structures on the Interface Properties of Graphene/Titanium Composites. Coatings 2024, 14, 1293. https://doi.org/10.3390/coatings14101293

AMA Style

Han X, Wang R, Kang P, Li W, Wu G. First-Principles Study on the Influence of Crystal Structures on the Interface Properties of Graphene/Titanium Composites. Coatings. 2024; 14(10):1293. https://doi.org/10.3390/coatings14101293

Chicago/Turabian Style

Han, Xiuli, Rui Wang, Pengchao Kang, Wanying Li, and Gaohui Wu. 2024. "First-Principles Study on the Influence of Crystal Structures on the Interface Properties of Graphene/Titanium Composites" Coatings 14, no. 10: 1293. https://doi.org/10.3390/coatings14101293

APA Style

Han, X., Wang, R., Kang, P., Li, W., & Wu, G. (2024). First-Principles Study on the Influence of Crystal Structures on the Interface Properties of Graphene/Titanium Composites. Coatings, 14(10), 1293. https://doi.org/10.3390/coatings14101293

Note that from the first issue of 2016, this journal uses article numbers instead of page numbers. See further details here.

Article Metrics

Back to TopTop