Flexible Piezoelectric 0–3 PZT@C/PDMS Composite Films for Pressure Sensor and Limb Motion Monitoring
Abstract
1. Introduction
2. Materials and Methods
2.1. Fabrication of PZT Nanoparticles
2.2. Preparation of Carbon Coated PZT Piezoceramic Particles and Composite Films
2.3. Material and Device Characterization
3. Results and Discussion
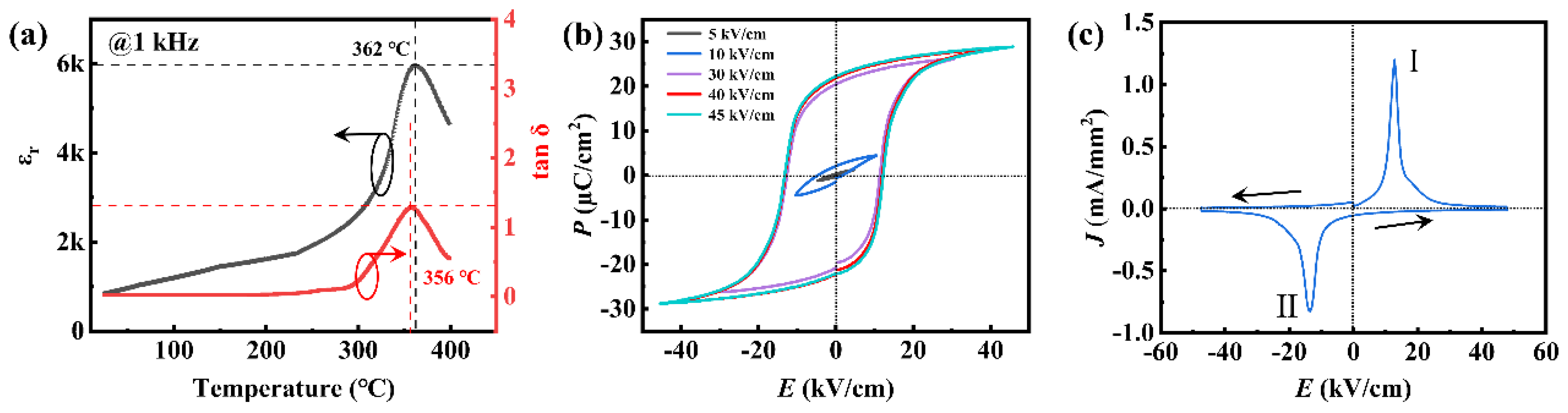
3.1. Electrical Properties of PZT Ceramic
3.2. Performance of Piezoelectric Composite Films
3.3. The Application of Human Activity Monitoring and Pressure Monitoring
4. Conclusions
Supplementary Materials
Author Contributions
Funding
Institutional Review Board Statement
Informed Consent Statement
Data Availability Statement
Conflicts of Interest
References
- Sasikumar, R.; Cho, S.; Waqar, A.; Ishfaque, A.; Choi, D.; Kim, B. Microcrack-assisted piezoelectric acoustic sensor based on f-MWCNTs/BaTiO3@PDMS nanocomposite and its self-powered voice recognition applications. Chem. Eng. J. 2024, 479, 147297. [Google Scholar] [CrossRef]
- Zhao, J.; Li, F.; Wang, Z.; Dong, P.; Xia, G.; Wang, K. Flexible PVDF nanogenerator-driven motion sensors for human body motion energy tracking and monitoring. J. Mater. Sci. Mater. Electron. 2021, 32, 14715–14727. [Google Scholar] [CrossRef]
- Yuan, M.; Ma, R.; Ye, Q.; Bai, X.; Li, H.; Yan, F.; Liu, C.; Ren, Y.; Wang, Z. Melt-stretched poly(vinylidene fluoride)/zinc oxide nanocomposite films with enhanced piezoelectricity by stress concentrations in piezoelectric domains for wearable electronics. Chem. Eng. J. 2023, 455, 140771. [Google Scholar] [CrossRef]
- Yan, J.; Ma, Y.; Jia, G.; Zhao, S.; Yue, Y.; Cheng, F.; Zhang, C.; Cao, M.; Xiong, Y.; Shen, P.; et al. Bionic MXene based hybrid film design for an ultrasensitive piezoresistive pressure sensor. Chem. Eng. J. 2022, 431, 133458. [Google Scholar] [CrossRef]
- Yu, C.; Liu, K.; Xu, J.; Ye, M.; Yang, T.; Qi, T.; Zhang, Y.; Xu, H.; Zhang, H. High-performance multifunctional piezoresistive/piezoelectric pressure sensor with thermochromic function for wearable monitoring. Chem. Eng. J. 2023, 459, 141648. [Google Scholar] [CrossRef]
- Zhang, D.; Yin, R.; Zheng, Y.; Li, Q.; Liu, H.; Liu, C.; Shen, C. Multifunctional MXene/CNTs based flexible electronic textile with excellent strain sensing, electromagnetic interference shielding and Joule heating performances. Chem. Eng. J. 2022, 438, 135587. [Google Scholar] [CrossRef]
- Su, Y.; Li, Q.; Amagat, J.; Chen, M. 3D spring-based piezoelectric energy generator. Nano Energy 2021, 90, 106578. [Google Scholar] [CrossRef]
- Yuan, X.; Gao, X.; Shen, X.; Yang, J.; Li, Z.; Zhao, S. A 3D-printed, alternatively tilt-polarized PVDF-TrFE polymer with enhanced piezoelectric effect for self-powered sensor application. Nano Energy 2021, 85, 105985. [Google Scholar] [CrossRef]
- Kim, Y.-G.; Song, J.-H.; Hong, S.; Ahn, S.-H. Piezoelectric strain sensor with high sensitivity and high stretchability based on kirigami design cutting. NPJ Flex. Electron. 2022, 6, 52. [Google Scholar] [CrossRef]
- Zhao, L.; Yu, S.; Li, J.; Song, Z.; Wang, X. Highly Reliable Sensitive Capacitive Tactile Sensor with Spontaneous Micron-Pyramid Structures for Electronic Skins. Macromol. Mater. Eng. 2022, 307, 2200192. [Google Scholar] [CrossRef]
- Li, Z.; Zhao, K.; Wang, J.; Wang, B.; Lu, J.; Jia, B.; Ji, T.; Han, X.; Luo, G.; Yu, Y.; et al. Sensitive, Robust, Wide-Range, and High-Consistency Capacitive Tactile Sensors with Ordered Porous Dielectric Microstructures. ACS Appl. Mater. Interfaces 2024, 16, 7384–7398. [Google Scholar] [CrossRef] [PubMed]
- Ma, Z.; Lu, S.; Wu, Y.; Zhang, X.; Wei, Y.; Mawignon, F.J.; Qin, L.; Shan, L. Pressure-Activatable Liquid Metal Composites Flexible Sensor with Antifouling and Drag Reduction Functional Surface. ACS Appl. Mater. Interfaces 2023, 15, 54952–54965. [Google Scholar] [CrossRef] [PubMed]
- Lu, H.; Chen, B.; Lai, X.; Li, H.; Zeng, X. Porous reduced graphene oxide@multi-walled carbon nanotubes/polydimethylsiloxane piezoresistive pressure sensor for human motion detection. Mater. Today Nano 2024, 28, 100512. [Google Scholar] [CrossRef]
- Nguyen, T.; Dinh, T.; Phan, H.-P.; Pham, T.A.; Dau, V.T.; Nguyen, N.-T.; Dao, D.V. Advances in ultrasensitive piezoresistive sensors: From conventional to flexible and stretchable applications. Mater. Horiz. 2021, 8, 2123–2150. [Google Scholar] [CrossRef] [PubMed]
- Pyo, S.; Lee, J.; Bae, K.; Sim, S.; Kim, J. Recent Progress in Flexible Tactile Sensors for Human-Interactive Systems: From Sensors to Advanced Applications. Adv. Mater. 2021, 33, e2005902. [Google Scholar] [CrossRef] [PubMed]
- Pongampai, S.; Charoonsuk, T.; Pinpru, N.; Pulphol, P.; Vittayakorn, W.; Pakawanit, P.; Vittayakorn, N. Triboelectric-piezoelectric hybrid nanogenerator based on BaTiO3-Nanorods/Chitosan enhanced output performance with self-charge-pumping system. Compos. Part B Eng. 2021, 208, 108602. [Google Scholar] [CrossRef]
- Zhang, G.; Zhao, P.; Zhang, X.; Han, K.; Zhao, T.; Zhang, Y.; Jeong, C.K.; Jiang, S.; Zhang, S.; Wang, Q. Flexible three-dimensional interconnected piezoelectric ceramic foam based composites for highly efficient concurrent mechanical and thermal energy harvesting. Energy Environ. Sci. 2018, 11, 2046–2056. [Google Scholar] [CrossRef]
- Xu, X.; Wang, X.; Jiang, H.; Wang, M.; Ma, W.; Liu, W.; Wang, S.; Ma, S. High-performance ethanol sensor based on self-assembled BaTiO3/ZnO composite hierarchical nanostructure. Sens. Actuators A 2024, 372, 115387. [Google Scholar] [CrossRef]
- Kang, H.B.; Han, C.S.; Pyun, J.C.; Ryu, W.H.; Kang, C.-Y.; Cho, Y.S. (Na,K)NbO3 nanoparticle-embedded piezoelectric nanofiber composites for flexible nanogenerators. Compos. Sci. Technol. 2015, 111, 1–8. [Google Scholar] [CrossRef]
- Jian, G.; Jiao, Y.; Meng, Q.; Guo, Y.; Wang, F.; Zhang, J.; Wang, C.; Moon, K.-S.; Wong, C.-P. Excellent high-temperature piezoelectric energy harvesting properties in flexible polyimide/3D PbTiO3 flower composites. Nano Energy 2021, 82, 105778. [Google Scholar] [CrossRef]
- Tao, K.; Yi, H.; Tang, L.; Wu, J.; Wang, P.; Wang, N.; Hu, L.; Fu, Y.; Miao, J.; Chang, H. Piezoelectric ZnO thin films for 2DOF MEMS vibrational energy harvesting. Surf. Coat. Technol. 2019, 359, 289–295. [Google Scholar] [CrossRef]
- Zhu, Q.; Song, X.; Chen, X.; Li, D.; Tang, X.; Chen, J.; Yuan, Q. A high performance nanocellulose-PVDF based piezoelectric nanogenerator based on the highly active CNF@ZnO via electrospinning technology. Nano Energy 2024, 127, 109741. [Google Scholar] [CrossRef]
- Li, H.; Wu, B.; Lin, C.; Wu, X.; Lin, T.; Gao, M.; Tao, H.; Wu, W.; Zhao, C. Microscopic origin and relevant grain size effect of discontinuous grain growth in BaTiO3-based ferroelectric ceramics. J. Mater. Sci. Technol. 2023, 164, 119–128. [Google Scholar] [CrossRef]
- Islam, M.J.; Lee, H.; Lee, K.; Cho, C.; Kim, B. Piezoelectric Nanogenerators Fabricated Using Spin Coating of Poly(vinylidene fluoride) and ZnO Composite. Nanomaterials 2023, 13, 1289. [Google Scholar] [CrossRef] [PubMed]
- Ham, S.S.; Lee, G.-J.; Hyeon, D.Y.; Kim, Y.-g.; Lim, Y.-w.; Lee, M.-K.; Park, J.-J.; Hwang, G.-T.; Yi, S.; Jeong, C.K.; et al. Kinetic motion sensors based on flexible and lead-free hybrid piezoelectric composite energy harvesters with nanowires-embedded electrodes for detecting articular movements. Compos. Part B Eng. 2021, 212, 108705. [Google Scholar] [CrossRef]
- Kumar, M.; Kulkarni, N.D.; Kumari, P. Piezoelectric performance enhancement of electrospun functionally graded PVDF/BaTiO3 based flexible nanogenerators. Mater. Res. Bull. 2024, 174, 112739. [Google Scholar] [CrossRef]
- Xia, X.; Jiang, X.; Zeng, J.; Zheng, L.; Man, Z.; Zeng, H.; Li, G. Critical state to achieve a giant electric field-induced strain with a low hysteresis in relaxor piezoelectric ceramics. J. Mater. 2021, 7, 1143–1152. [Google Scholar] [CrossRef]
- He, D.; Zhao, Y.; Li, W.; Shang, L.; Wang, L.; Zhang, G. Superior mechanical and tribological properties governed by optimized modulation ratio in WC/a-C nano-multilayers. Ceram. Int. 2021, 47, 16861–16869. [Google Scholar] [CrossRef]
- Peng, J.; Chen, N.; He, R.; Wang, Z.; Dai, S.; Jin, X.J.A.C. Electrochemically Driven Transformation of Amorphous Carbons to Crystalline Graphite Nanoflakes: A Facile and Mild Graphitization Method. Angew. Chem. 2017, 56, 1751–1755. [Google Scholar] [CrossRef]
- Zhou, Z.; Du, X.; Zhang, Z.; Luo, J.; Niu, S.; Shen, D.; Wang, Y.; Yang, H.; Zhang, Q.; Dong, S. Interface modulated 0-D piezoceramic nanoparticles/PDMS based piezoelectric composites for highly efficient energy harvesting application. Nano Energy 2021, 82, 105709. [Google Scholar] [CrossRef]
- Shen, Z.-H.; Tang, T.-X.; Wang, J.; Zhou, M.-J.; Liu, H.-X.; Chen, L.-Q.; Shen, Y.; Nan, C.-W. Computation-guided design of flexible piezoelectric composites by optimizing charge-stress transmission. Nano Energy 2023, 117, 108933. [Google Scholar] [CrossRef]
- Luo, H.; Zhou, X.; Ellingford, C.; Zhang, Y.; Chen, S.; Zhou, K.; Zhang, D.; Bowen, C.R.; Wan, C. Interface design for high energy density polymer nanocomposites. Chem. Soc. Rev. 2019, 48, 4424–4465. [Google Scholar] [CrossRef] [PubMed]
- Dang, Z.M.; Yuan, J.K.; Yao, S.H.; Liao, R.J. Flexible Nanodielectric Materials with High Permittivity for Power Energy Storage. Adv. Mater. 2013, 25, 6334–6365. [Google Scholar] [CrossRef] [PubMed]
- Zhao, K.; Shan, Z.; Li, D.; Ma, R.; Li, P.; Wang, F.; Cui, Y.; Zhong, Z.; Zhang, K. PZT thick film element balancing flexibility with piezoelectricity fabricated by electrohydrodynamics jet printing used for micro power generator. Ceram. Int. 2024, 50, 26908–26917. [Google Scholar] [CrossRef]
- Kim, M.-S.; Ahn, H.-R.; Lee, S.; Kim, C.; Kim, Y.-J. A dome-shaped piezoelectric tactile sensor arrays fabricated by an air inflation technique. Sens. Actuators A 2014, 212, 151–158. [Google Scholar] [CrossRef]
- Wang, K.; Ma, J.-N.; Zhang, C.-Y.; Pei, Z.; Tang, W.-T.; Zhang, Q. Self-powered high-sensitivity piezoelectric sensors for end-fixture force sensing in surgical robots based on T-ZnO. Colloids Surf. A 2024, 697, 134424. [Google Scholar] [CrossRef]
- Yin, H.; Guan, Y.; Li, Y.; Zheng, Z.; Guo, Y. Modulation of piezoelectricity and mechanical strength in piezoelectric composites based on N0.5B0.51T-BNT nanocubes towards human-machine interfaces. Nano Energy 2023, 118, 109044. [Google Scholar]
- Khan, S.; Tinku, S.; Lorenzelli, L.; Dahiya, R.S. Flexible Tactile Sensors Using Screen-Printed P(VDF-TrFE) and MWCNT/PDMS Composites. IEEE Sens. J. 2015, 15, 3146–3155. [Google Scholar] [CrossRef]
- Huang, X.; Ma, Z.; Xia, W.; Hao, L.; Wu, Y.; Lu, S.; Luo, Y.; Qin, L.; Dong, G. A high-sensitivity flexible piezoelectric tactile sensor utilizing an innovative rigid-in-soft structure. Nano Energy 2024, 129, 110019. [Google Scholar] [CrossRef]
- Zhao, B.; Su, Y.; Xue, R.; Wang, Y.; Miao, L.; Yao, M.; Yu, H.; Zhao, W.; Hu, D.J.M.C.F. Degradable flexible piezoelectric nanogenerator based on two-dimensional barium titanate nanosheets and polylactic acid. Mater. Chem. Front. 2023, 7, 3082–3092. [Google Scholar] [CrossRef]
- Lewis, T. Interfaces are the dominant feature of dielectrics at the nanometric level. IEEE Trans. Dielectr. Electr. Insul. 2004, 11, 739–753. [Google Scholar] [CrossRef]
- Prateek; Thakur, V.K.; Gupta, R.K. Recent Progress on Ferroelectric Polymer-Based Nanocomposites for High Energy Density Capacitors: Synthesis, Dielectric Properties, and Future Aspects. Chem. Rev. 2016, 116, 4260–4317. [Google Scholar] [CrossRef] [PubMed]
- Chen, Q.; Shen, Y.; Zhang, S.; Zhang, Q.M. Polymer-Based Dielectrics with High Energy Storage Density. Annu. Rev. Mater. Res. 2015, 45, 433–458. [Google Scholar] [CrossRef]










Disclaimer/Publisher’s Note: The statements, opinions and data contained in all publications are solely those of the individual author(s) and contributor(s) and not of MDPI and/or the editor(s). MDPI and/or the editor(s) disclaim responsibility for any injury to people or property resulting from any ideas, methods, instructions or products referred to in the content. |
© 2024 by the authors. Licensee MDPI, Basel, Switzerland. This article is an open access article distributed under the terms and conditions of the Creative Commons Attribution (CC BY) license (https://creativecommons.org/licenses/by/4.0/).
Share and Cite
Li, C.; Li, C.; Wang, Y.; Zhao, Y.; Yang, F.; Dong, G.; Lin, X.; Huang, S.; Yang, C. Flexible Piezoelectric 0–3 PZT@C/PDMS Composite Films for Pressure Sensor and Limb Motion Monitoring. Coatings 2024, 14, 1269. https://doi.org/10.3390/coatings14101269
Li C, Li C, Wang Y, Zhao Y, Yang F, Dong G, Lin X, Huang S, Yang C. Flexible Piezoelectric 0–3 PZT@C/PDMS Composite Films for Pressure Sensor and Limb Motion Monitoring. Coatings. 2024; 14(10):1269. https://doi.org/10.3390/coatings14101269
Chicago/Turabian StyleLi, Chungang, Chao Li, Yingzi Wang, Yaoting Zhao, Fengzhen Yang, Gensheng Dong, Xiujuan Lin, Shifeng Huang, and Changhong Yang. 2024. "Flexible Piezoelectric 0–3 PZT@C/PDMS Composite Films for Pressure Sensor and Limb Motion Monitoring" Coatings 14, no. 10: 1269. https://doi.org/10.3390/coatings14101269
APA StyleLi, C., Li, C., Wang, Y., Zhao, Y., Yang, F., Dong, G., Lin, X., Huang, S., & Yang, C. (2024). Flexible Piezoelectric 0–3 PZT@C/PDMS Composite Films for Pressure Sensor and Limb Motion Monitoring. Coatings, 14(10), 1269. https://doi.org/10.3390/coatings14101269

