Numerical Simulation and Performance Optimization of a Solar Cell Based on WO3/CdTe Heterostructure Using NiO as HTL Layer by SCAPS 1D
Abstract
:1. Introduction
2. Device Modeling and Simulation
2.1. Numerical Method
2.2. Device Structure and Simulation Parameters
3. Results and Discussion
3.1. Effect of the Thickness and Concentration of Carriers () of the Window Layer
3.2. Effect of the Thickness and Acceptor Carrier Concentration () in CdTe Absorber Layer
3.3. Effect of Defect Density () at the Interface
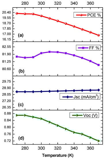
3.4. Effect of Operating Temperature
4. Conclusions
Author Contributions
Funding
Institutional Review Board Statement
Informed Consent Statement
Data Availability Statement
Acknowledgments
Conflicts of Interest
References
- Zepeda, J.C.; Rosendo, E.; Morales, C.; Camacho, E. Performance simulation of solar cell based on AZO/CdTe heterostructure by SCAPS 1D software. Heliyon 2023, 9, e14547. [Google Scholar] [CrossRef]
- Camacho, E. Caracterización de Películas Policristalinas de CdTe, Obtenidas por Erosión Catódica para su Aplicación en Celdas Solares. Ph.D. Thesis, BUAP, Puebla, Mexico, 2014. [Google Scholar]
- Bhari, B.Z.; Rahman, K.S.; Chelvanathan, P.; Ibrahim, M.A. Numerical Simulation of Ultrathin CdTe Solar Cell by SCAPS-1D. IOP Conf. Ser. Mater. Sci. Eng. 2023, 1278, 012002. [Google Scholar] [CrossRef]
- Yang, R.; Wang, D.; Wan, L.; Wang, D. High efficiency CdTe thin film solar cell with a mono-grained CdS window layer. RSC Adv. 2014, 4, 22162–22171. [Google Scholar] [CrossRef]
- Di Carlo, V.; Prete, P.; Dubrovskii, V.G.; Berdnikov, Y.; Lovergine, N. CdTe Nanowires by Au-catalyzed metalorganic vapor phase epitaxy. Nano Lett. 2017, 17, 4075–4082. [Google Scholar] [CrossRef]
- Dang, H.; Ososanaya, E.; Zhang, N. Improving reliability of window-absorber solar cells through CdS nanowires. Opt. Mater. 2022, 132, 112721. [Google Scholar] [CrossRef]
- Lovergine, N.; Cingolani, R.; Mancini, A.M. Photoluminescence of CVD grown CdS Epilayers on CdTe substrates. J. Crystal Growth 1992, 118, 304–308. [Google Scholar] [CrossRef]
- Colegrove, R.; Banai, C.; Blissett, C.; Buurma, J. Ellsworth, High-efficiency polycrystalline CdS/CdTe solar cell buffered commercial TCO-coated glass. J. Electron. Mater. 2012, 41, 2833–2837. [Google Scholar] [CrossRef]
- Miccoli, I.; Spampinato, R.; Marzo, F.; Prete, P.; Lovergine, N. DC-magnetron sputtering of ZnO:Al films on (00.1)Al2O3 substrates from slip-casting sintered ceramic targets. Appl. Surf. Sci. 2014, 313, 418–423. [Google Scholar] [CrossRef]
- Montoya De Los Santos, I.; Pérez-Orozco, A.A.; Liña-Martínez, D.A.; Courel, M.; Meza-Avendaño, C.A.; Borrego-Pérez, J.A.; Pérez, L.M.; Laroze, D. Towards a CdTe Solar Cell Efficiency Promotion: The Role of ZnO:Al and CuSCN Nanolayers. Nanomaterials 2023, 13, 1335. [Google Scholar] [CrossRef]
- Mahjabin, S.; Haque, M.; Sobayel, K.; Jamal, M.S. Perceiving of Defect Tolerance in Perovskite Absorber Layer for Efficient Perovskite Solar Cell. IEEE Access 2020, 8, 106346–106353. [Google Scholar] [CrossRef]
- Karimi, E.; Dabbagh, G.R.; Ghorashi, S.M.; Nekuee, F. Electrical Simulation of the Function of Tungsten Oxide in Polymeric Solar Cells. Mater. Res. Express 2019, 6, 126335. [Google Scholar] [CrossRef]
- Mekky, A. Simulation and modeling of the influence of temperature on CdS/CdTe thin film solar cell. Eur. Phys. J. Appl. Phys. 2019, 87, 30101. [Google Scholar] [CrossRef]
- Nykyruy, L.I.; Yavorskyi, R.S.; Zapukhlyak, Z.R.; Wisz, G. Evaluation of CdS/CdTe thin film solar cells: SCAPS thickness simulation and analysis of optical properties. Opt. Mater. 2019, 92, 319–329. [Google Scholar] [CrossRef]
- Teloeken, A.C.; Lamb, D.A.; Dunlop, T.O.; Irvine, S.J.C. Effect of bending test on the performance of CdTe solar cells on flexible ultra-thin glass produced by MOCVD. Sol. Energy Mater. Sol. Cells 2020, 211, 110552. [Google Scholar] [CrossRef]
- Burgelman, M.; Nollet, P.; Degrave, S. Modelling polycrystalline semiconductor solar cells. Thin Solid Films 2000, 361, 527–532. [Google Scholar] [CrossRef]
- Burgelman, M.; Decock, K. SCAPS Manual; University of Gent: Gent, Belgium, 2020. [Google Scholar]
- Li, D.B.; Song, Z.; Awni, R.; Sandip, S.; Niraj, S.; Corey, R. Eliminating S-kink to maximize the performance of MgZnO/CdTe solar cells. ACS Appl. Energy Mater. 2019, 2, 2896–2903. [Google Scholar] [CrossRef]
- Otoufi, M.K.; Ranjbar, M.; Kermanpur, A.; Taghavinia, N. Enhanced performance of planar perovskite solar cells using TiO2/SnO2 and TiO2/WO3 bilayer structures: Roles of the interfacial layers. Sol. Energy 2020, 20, 697–707. [Google Scholar] [CrossRef]
- Abdelkadir, A.A.; Oublal, E.; Sahal, M.; Gibaud, A. Numerical simulation and optimization of n-Al-ZnO/n-CdS/p-CZTSe/p-NiO (HTL)/Mo solar cell system using SCAPS-1D. Results Opt. 2022, 8, 100257. [Google Scholar] [CrossRef]
- Mora, D.; Pal, M.; Santos, J. Theoretical modelling and device structure engineering of kesterite solar cells to boost the conversion efficiency over 20%. Sol. Energy 2021, 220, 316–330. [Google Scholar] [CrossRef]
- Abdy, H.; Aletayeb, A.; Kolahdouz, M.; Soleimani, E.A. Investigation of metal-nickel oxide contacts used for perovskite solar cell. AIP Adv. 2019, 9, 015216. [Google Scholar] [CrossRef]
- Rahman, M.A. Design and simulation of high-performance Cd-free Cu2SnSe3 solar cells with SnS electron-blocking hole transport layer and TiO2 electron transport layer by SCAPS-1D. SN Appl. Sci. 2021, 3, 253. [Google Scholar] [CrossRef]
- Colinge, J.P. Physics of Semiconductor Devices; Kluwer Academic Publisher: Amsterdam, The Netherlands; University of California: Los Angeles, CA, USA, 2002; p. 54. [Google Scholar]







| Parameters | CdTe [1] | [12,18,19] | NiO [1,20] | AZO [20,21] |
|---|---|---|---|---|
| Thickness (µm) | 0.5–3 | 0.01–0.15 | 0.020 | 0.050 |
| Bandgap, (eV) | 1.49 | 3.15 | 3.8 | 3.3 |
| Electron Affinity, (eV) | 4.28 | 4.55 | 1.46 | 4.55 8.12 |
| Relative permittivity, | 9.4 | 10 | 10 | |
| Effective CB density of states, | ||||
| Effective VB density of states, | ||||
| Electron mobility, | 500 | 20 | 12 | 100 |
| Hole mobility, | 60 | 10 | 2.8 | 20 |
| Electron Thermal Velocity () | ||||
| Hole Thermal Velocity () | ||||
| Donor concentration, | 0 | 0 | ||
| Acceptor concentration, | 0 | 0 | ||
| Defect density, ( Defect type | acceptor | donor | acceptor | acceptor |
| Interface Defect Density [12,19] | - |
| /CdTe | |
| Defect type | Acceptor |
| Capture cross-section electrons/holes | |
| Back Contact Electrical Properties [22,23] | - |
| Work function of Ni | 5.15 eV |
| Surface recombination velocity of electrons | cm/s |
| Surface recombination velocity of holes | cm/s |
| Front Contact Electrical Properties [22,23] | - |
| Work function of Al | 4.2 eV |
| Surface recombination velocity of electrons | cm/s |
| Surface recombination velocity of holes | cm/s |
Disclaimer/Publisher’s Note: The statements, opinions and data contained in all publications are solely those of the individual author(s) and contributor(s) and not of MDPI and/or the editor(s). MDPI and/or the editor(s) disclaim responsibility for any injury to people or property resulting from any ideas, methods, instructions or products referred to in the content. |
© 2023 by the authors. Licensee MDPI, Basel, Switzerland. This article is an open access article distributed under the terms and conditions of the Creative Commons Attribution (CC BY) license (https://creativecommons.org/licenses/by/4.0/).
Share and Cite
Medina, J.C.Z.; Andrés, E.R.; Ruíz, C.M.; Espinosa, E.C.; Yarce, L.T.; Galeazzi Isasmendi, R.; Trujillo, R.R.; Salgado, G.G.; Solis, A.C.; Caballero, F.G.N. Numerical Simulation and Performance Optimization of a Solar Cell Based on WO3/CdTe Heterostructure Using NiO as HTL Layer by SCAPS 1D. Coatings 2023, 13, 1436. https://doi.org/10.3390/coatings13081436
Medina JCZ, Andrés ER, Ruíz CM, Espinosa EC, Yarce LT, Galeazzi Isasmendi R, Trujillo RR, Salgado GG, Solis AC, Caballero FGN. Numerical Simulation and Performance Optimization of a Solar Cell Based on WO3/CdTe Heterostructure Using NiO as HTL Layer by SCAPS 1D. Coatings. 2023; 13(8):1436. https://doi.org/10.3390/coatings13081436
Chicago/Turabian StyleMedina, José Carlos Zepeda, Enrique Rosendo Andrés, Crisóforo Morales Ruíz, Eduardo Camacho Espinosa, Leticia Treviño Yarce, Reina Galeazzi Isasmendi, Román Romano Trujillo, Godofredo García Salgado, Antonio Coyopol Solis, and Fabiola Gabriela Nieto Caballero. 2023. "Numerical Simulation and Performance Optimization of a Solar Cell Based on WO3/CdTe Heterostructure Using NiO as HTL Layer by SCAPS 1D" Coatings 13, no. 8: 1436. https://doi.org/10.3390/coatings13081436
APA StyleMedina, J. C. Z., Andrés, E. R., Ruíz, C. M., Espinosa, E. C., Yarce, L. T., Galeazzi Isasmendi, R., Trujillo, R. R., Salgado, G. G., Solis, A. C., & Caballero, F. G. N. (2023). Numerical Simulation and Performance Optimization of a Solar Cell Based on WO3/CdTe Heterostructure Using NiO as HTL Layer by SCAPS 1D. Coatings, 13(8), 1436. https://doi.org/10.3390/coatings13081436

