Transforming Chimney Soot via Stochastic Polymerization for Active Electrode Coating
Abstract
1. Introduction
2. Materials and Methods
2.1. Experimental Section
2.2. Methods of Investigation
3. Results and Discussion
3.1. Raman Spectroscopy Investigation
3.2. FTIR Spectroscopy Investigation
3.3. XPS Analysis
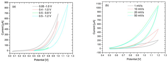
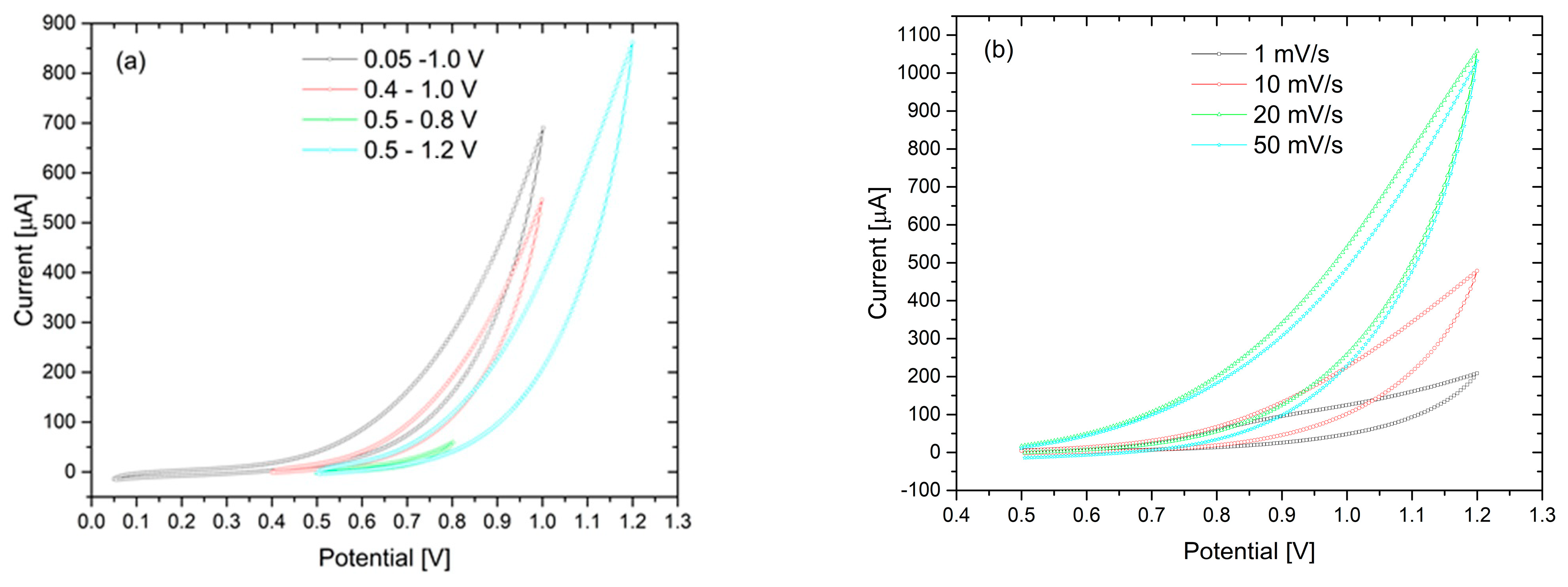
3.4. Electrochemical Testing
4. Conclusions
Author Contributions
Funding
Institutional Review Board Statement
Informed Consent Statement
Data Availability Statement
Acknowledgments
Conflicts of Interest
References
- Anon. Stability of Cycloalkanes—Ring Strain. 2023. Available online: https://chem.libretexts.org/@go/page/31410 (accessed on 20 June 2023).
- Friebel, F.; Mensah, A.A. Ozone concentration versus temperature: Atmospheric aging of soot particles. Langmuir 2019, 35, 14437–14450. [Google Scholar] [CrossRef]
- Russo, C.; Apicella, B.; Lighty, J.S.; Ciajolo, A.; Tregrossi, A. Optical properties of organic carbon and soot produced in an inverse diffusion flame. Carbon 2017, 124, 372–379. [Google Scholar] [CrossRef]
- Long, C.M.; Nascarella, M.A.; Valberg, P.A. Carbon black vs. black carbon and other airborne materials containing elemental carbon: Physical and chemical distinctions. Environ. Pollut. 2013, 181, 271–286. [Google Scholar] [CrossRef] [PubMed]
- Le, K.C.; Lefumeux, C.; Pino, T. Watching soot inception via online Raman spectroscopy. Combust. Flame 2022, 236, 111817. [Google Scholar] [CrossRef]
- Ray, D.; Bhattacharya, T.S.; Chatterjee, A.; Singha, A.; Ghosh, S.K.; Raha, S. Hygroscopic coating of sulfuric acid shields oxidant attack on the atmospheric pollutant benzo (a) pyrene bound to model soot particles. Sci. Rep. 2018, 8, 129. [Google Scholar] [CrossRef]
- Liu, Y.; He, G.; Chu, B.; Ma, Q.; He, H. Atmospheric heterogeneous reactions on soot: A review. Fundam. Res. 2023, 3, 579–591. [Google Scholar] [CrossRef]
- Sadezky, A.; Muckenhuber, H.; Grothe, H.; Niessner, R.; Pöschl, U. Raman microspectroscopy of soot and related carbonaceous materials: Spectral analysis and structural information. Carbon 2005, 43, 1731–1742. [Google Scholar] [CrossRef]
- Martin, J.W.; Salamanca, M.; Kraft, M. Soot inception: Carbonaceous nanoparticle formation in flames. Prog. Energy Combust. Sci. 2022, 88, 100956. [Google Scholar] [CrossRef]
- Petrov, M.; Lovchinov, K.; Slavov, L.; Stankulov, T.; Nichev, H.; Hikov, T.; Tyutyundzhiev, N. Thermally Stabilized Soot for Supercapacitors. Phys. Status Solidi A Appl. Res. 2021, 218, 2000617. [Google Scholar] [CrossRef]
- Chylek, P.; Jennings, S.G.; Pinnick, R. AEROSOLS|Soot. Encycl. Atmos. Sci. 2015, 2, 86–91. [Google Scholar]
- Lapuerta, M.; Rodríguez–Fernández, J.; Sánchez-Valdepeñas, J. Soot reactivity analysis and implications on diesel filter regeneration. Prog. Energy Combust. Sci. 2020, 78, 100833. [Google Scholar] [CrossRef]
- Sharma, V.; Uy, D.; Gangopadhyay, A.; O’Neill, A.; Paxton, W.A.; Sammut, A.; Ford, M.A.; Aswath, P.B. Structure and chemistry of crankcase and exhaust soot extracted from diesel engines. Carbon 2016, 103, 327–338. [Google Scholar] [CrossRef]
- Yang, Z.; Kornienko, V.; Radchenko, M.; Radchenko, A.; Radchenko, R.; Pavlenko, A. Capture of pollutants from exhaust gases by low-temperature heating surfaces. Energies 2022, 15, 120. [Google Scholar] [CrossRef]
- Ghisellini, P.; Cialani, C.; Ulgiati, S. A review on circular economy: The expected transition to a balanced interplay of environmental and economic systems. J. Clean. Product. 2016, 114, 11–32. [Google Scholar] [CrossRef]
- Bahattin, Y. Osmanli kitap sanatlarinda la’lî mürekkep yapimi. Süleyman Demirel Üniversitesi İlahiyat Fakültesi Dergisi 2012, 28, 129–142. [Google Scholar]
- Uttaravalli, A.N.; Dinda, S.; Kakara, V.R.; Rao, A.R.; Daida, T.; Gidla, B.R. Sustainable use of recycled soot (carbon black) for the cleaner production of value-added products: A compendium. Chem. Eng. J. Adv. 2022, 11, 100324. [Google Scholar] [CrossRef]
- Esmeryan, K.D.; Avramova, I.A.; Castano, C.E.; Ivanova, I.A.; Mohammadi, R.; Radeva, E.I.; Stoyanova, D.S.; Vladkova, T.G. Early stage anti-bioadhesion behavior of superhydrophobic soot based coatings towards Pseudomonas putida. Mater. Des. 2018, 160, 395–404. [Google Scholar] [CrossRef]
- Esmeryan, K.D.; Castano, C.E.; Bressler, A.H.; Abolghasemibizaki, M.; Mohammadi, R. Rapid synthesis of inherently robust and stable superhydrophobic carbon soot coatings. Appl. Surf. Sci. 2016, 369, 341–347. [Google Scholar] [CrossRef]
- Potphode, D.D.; Gangadharan, A.; Sharma, C.S. Carbon soot for electrochemical energy storage applications. Proc. Indian Natn. Sci. Acad. 2019, 85, 537–551. [Google Scholar] [CrossRef]
- Petrov, M.; Lovchinov, K.; Slavov, L.; Hikov, T.; Tyutyundzhiev, N. Electrochemically-stabilized carbon materials for supercapacitor prototypes. J. Phys. Conf. Ser. 2021, 1859, 012065. [Google Scholar] [CrossRef]
- Mao, H.; Li, R.; Huang, C.; Jia, Y.; Wang, W.; Ming, A.; Xiong, J. A highly SERS-active and flexible droplet based on carbon-metal composite nanoparticles. In Proceedings of the 2017 19th International Conference on Solid-State Sensors, Actuators and Microsystems (TRANSDUCERS), Kaohsiung, Taiwan, 18–22 June 2017; pp. 1344–1347. [Google Scholar] [CrossRef]
- Colombani, D. Chain-growth control in free radical polymerization. Prog. Polym. Sci. 1997, 22, 1649–1720. [Google Scholar] [CrossRef]
- Geng, K.; Arumugam, V.; Xu, H.; Gao, Y.; Jiang, D. Covalent organic frameworks: Polymer chemistry and functional design. Prog. Polym. Sci. 2020, 108, 101288. [Google Scholar] [CrossRef]
- Braunecker, W.A.; Matyjaszewski, K. Controlled/living radical polymerization: Features, developments, and perspectives. Prog. Polym. Sci. 2007, 32, 93–146. [Google Scholar] [CrossRef]
- Goethals, E.J.; Du Prez, F. Carbocationic polymerizations. Prog. Polym. Sci. 2007, 32, 220–246. [Google Scholar] [CrossRef]
- Rodriguez, K.J.; Pellizzoni, M.M.; Chadwick, R.J.; Guo, C.; Bruns, N. Enzyme-initiated free radical polymerizations of vinyl monomers using horseradish peroxidase. Methods Enzymol. 2019, 627, 249–262. [Google Scholar] [CrossRef]
- Seyferth, D. The Grignard Reagents. Organometallics 2009, 28, 1598–1605. [Google Scholar] [CrossRef]
- Silverman, G.S.; Rakita, P.E. Handbook of Grignard Reagents; Marcel Dekker, Inc.: New York, NY, USA, 1996. [Google Scholar]
- Yu, G.; Hu, L.; Vosgueritchian, M.; Wang, H.; Xie, X.; McDonough, J.R.; Cui, X.; Cui, Y.; Bao, Z. Solution-processed graphene/MnO2 nanostructured textiles for high-performance electrochemical capacitors. Nano Lett. 2011, 11, 2905–2911. [Google Scholar] [CrossRef] [PubMed]
- Frackowiak, E.; Beguin, F. Carbon materials for the electrochemical storage of energy in capacitors. Carbon 2001, 39, 937–950. [Google Scholar] [CrossRef]
- Gryglewicz, G.; Machnikowski, J.; Lorenc-Grabowska, E.; Lota, G.; Frackowiak, E. Effect of pore size distribution of coal-based activated carbons on double layer capacitance. Electrochim. Acta 2005, 50, 1197. [Google Scholar] [CrossRef]
- Pandit, S.S.; Juvecar, V.A.; Trivedi, M.K. Stochastic Simulation of polymer reactions. Chem. Eng. Sci. 1993, 48, 1237. [Google Scholar] [CrossRef]
- Feng, D.; Guo, D.; Zhang, Y.; Sun, S.; Zhao, Y.; Shang, Q.; Sun, H.; Wu, J.; Tan, H. Functionalized construction of biochar with hierarchical pore structures and surface O-/N-containing groups for phenol adsorption. Chem. Eng. J. 2021, 410, 127707. [Google Scholar] [CrossRef]
- He, X.; Liu, X.; Nie, B.; Song, D. FTIR and Raman spectroscopy characterization of functional groups in various rank coals. Fuel 2017, 206, 555–563. [Google Scholar] [CrossRef]
- Merlen, A.; Buijnsters, J.G.; Pardanaud, C. A guide to and review of the use of multiwavelength Raman spectroscopy for characterizing defective aromatic carbon solids: From graphene to amorphous carbons. Coatings 2017, 7, 153. [Google Scholar] [CrossRef]
- Pawlyta, M.; Rouzaud, J.N.; Duber, S. Raman microspectroscopy characterization of carbon blacks: Spectral analysis and structural information. Carbon 2015, 84, 479–490. [Google Scholar] [CrossRef]
- Russo, C.; Ciajolo, A. Effect of the flame environment on soot nanostructure inferred by Raman spectroscopy at different excitation wavelengths. Combust. Flame 2015, 162, 2431–2441. [Google Scholar] [CrossRef]
- Ge, H.; Ye, Z.; He, R. Raman spectroscopy of diesel and gasoline engine-out soot using different laser power. J. Environ. Sci. 2019, 79, 74–80. [Google Scholar] [CrossRef]
- Ess, M.N.; Ferry, D.; Kireeva, E.D.; Niessner, R.; Ouf, F.X.; Ivleva, N.P. In situ Raman microspectroscopic analysis of soot samples with different organic carbon content: Structural changes during heating. Carbon 2016, 105, 572–585. [Google Scholar] [CrossRef]
- Zygogianni, A.; Syrigou, M.; Konstandopoulos, A.G.; Kostoglou, M. Oxidative reactivity of particulate samples from different diesel combustion systems and its relation to structural and spectral characteristics of soot. Emiss. Control Sci. Technol. 2019, 5, 99–123. [Google Scholar] [CrossRef]
- Dippel, B.; Jander, H.; Heintzenberg, J. NIR FT Raman spectroscopic study of flame soot. Phys. Chem. Chem. Phys. 1999, 1, 4707–4712. [Google Scholar] [CrossRef]
- Ferrari, A.C.; Robertson, J. Interpretation of Raman spectra of disordered and amorphous carbon. Phys. Rev. B 2000, 61, 14095–14107. [Google Scholar] [CrossRef]
- Baldelli, A.; Trivanovic, U.; Sipkens, T.A.; Rogak, S.N. On determining soot maturity: A review of the role of microscopy-and spectroscopy-based techniques. Chemosphere 2020, 252, 126532. [Google Scholar] [CrossRef] [PubMed]
- Coates, J. Interpretation of infrared spectra, a practical approach. In Encyclopedia of Analytical Chemistry; Meyers, R.A., Ed.; John Wiley & Sons, Ltd.: Chichester, UK, 2000; pp. 10815–10837. [Google Scholar] [CrossRef]
- Sigma Aldrich Ltd. IR Spectrum Table by Frequency Range. Available online: https://www.sigmaaldrich.com/BG/en/technical-documents/technical-article/analytical-chemistry/photometry-and-reflectometry/ir-spectrum-table (accessed on 2 May 2023).
- Queiroz, M.F.; Teodosio Melo, K.R.; Sabry, D.A.; Sassaki, G.L.; Rocha, H.A.O. Does the use of chitosan contribute to oxalate kidney stone formation? Mar. Drugs 2014, 13, 141–158. [Google Scholar] [CrossRef] [PubMed]
- Wu, J.; Xie, L.; Li, Y.; Wang, H.; Ouyang, Y.; Guo, J.; Dai, H. Controlled chlorine plasma reaction for noninvasive graphene doping. J. Am. Chem. Soc. 2011, 133, 19668–19671. [Google Scholar] [CrossRef] [PubMed]
- Li, B.; Zhou, L.; Wu, D.; Peng, H.; Yan, K.; Zhou, Y.; Liu, Z. Photochemical chlorination of graphene. ACS Nano 2011, 5, 5957–5961. [Google Scholar] [CrossRef]
- Gopalakrishnan, K.; Subrahmanyam, K.S.; Kumar, P.; Govindaraj, A.; Rao, C.N.R. Reversible chemical storage of halogens in few-layer graphene. RSC Adv. 2012, 2, 1605–1608. [Google Scholar] [CrossRef]
- Liang, G.; Liang, B.; Chen, A.; Zhu, J.; Li, Q.; Huang, Z.; Li, X.; Wang, Y.; Wang, X.; Xiong, B.; et al. Development of rechargeable high-energy hybrid zinc-iodine aqueous batteries exploiting reversible chlorine-based redox reaction. Nat. Commun. 2023, 14, 1856. [Google Scholar] [CrossRef]









| Pristine Soot | |||||
|---|---|---|---|---|---|
| Concentration (%) | C 1s | O 1s | N 1s | Cl 2p | K 2p |
| 67.67 | 26.08 | 3.36 | 1.14 | 1.76 | |
| SPS | ||||||
|---|---|---|---|---|---|---|
| Concentration (%) | C 1s | O 1s | N 1s | Cl 2p | Mg 1s | Si 2p |
| 57.35 | 20.97 | 1.19 | 5.22 | 0.33 | 14.93 | |
Disclaimer/Publisher’s Note: The statements, opinions and data contained in all publications are solely those of the individual author(s) and contributor(s) and not of MDPI and/or the editor(s). MDPI and/or the editor(s) disclaim responsibility for any injury to people or property resulting from any ideas, methods, instructions or products referred to in the content. |
© 2023 by the authors. Licensee MDPI, Basel, Switzerland. This article is an open access article distributed under the terms and conditions of the Creative Commons Attribution (CC BY) license (https://creativecommons.org/licenses/by/4.0/).
Share and Cite
Petrov, M.; Slavov, L.; Stankulov, T.; Karamanova, B.; Milenov, T.; Dimov, D.; Avramova, I. Transforming Chimney Soot via Stochastic Polymerization for Active Electrode Coating. Coatings 2023, 13, 1354. https://doi.org/10.3390/coatings13081354
Petrov M, Slavov L, Stankulov T, Karamanova B, Milenov T, Dimov D, Avramova I. Transforming Chimney Soot via Stochastic Polymerization for Active Electrode Coating. Coatings. 2023; 13(8):1354. https://doi.org/10.3390/coatings13081354
Chicago/Turabian StylePetrov, Miroslav, Lyubomir Slavov, Toma Stankulov, Boryana Karamanova, Teodor Milenov, Dimitar Dimov, and Ivalina Avramova. 2023. "Transforming Chimney Soot via Stochastic Polymerization for Active Electrode Coating" Coatings 13, no. 8: 1354. https://doi.org/10.3390/coatings13081354
APA StylePetrov, M., Slavov, L., Stankulov, T., Karamanova, B., Milenov, T., Dimov, D., & Avramova, I. (2023). Transforming Chimney Soot via Stochastic Polymerization for Active Electrode Coating. Coatings, 13(8), 1354. https://doi.org/10.3390/coatings13081354

