Density-Functional Study of the Si/SiO2 Interfaces in Short-Period Superlattices: Structures and Energies
Abstract
1. Introduction
2. Theoretical Methods and Models
Computational Details
3. Results and Discussion
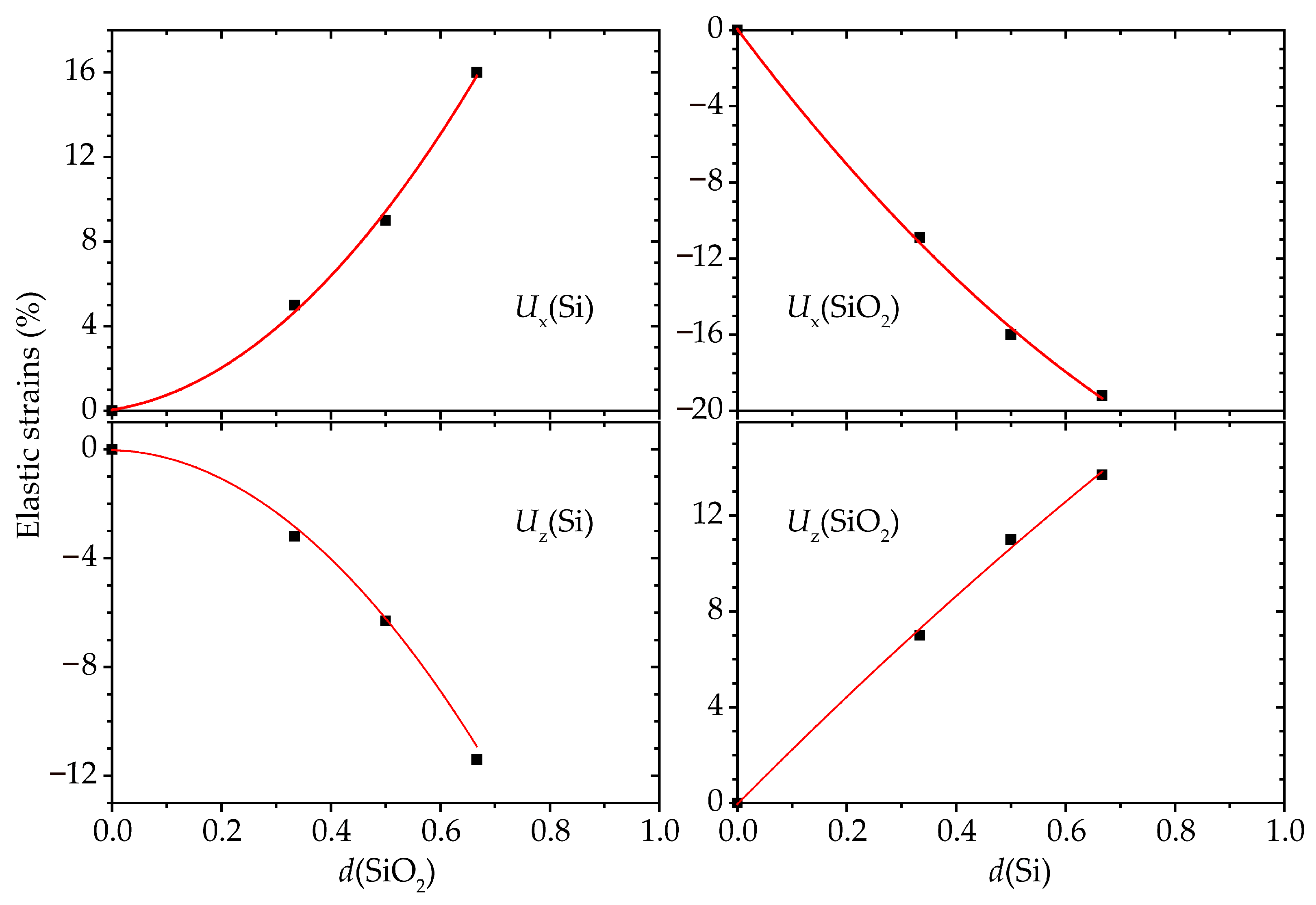
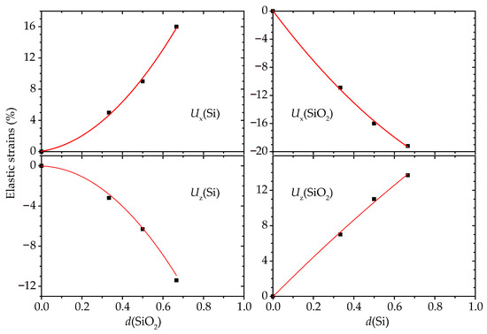
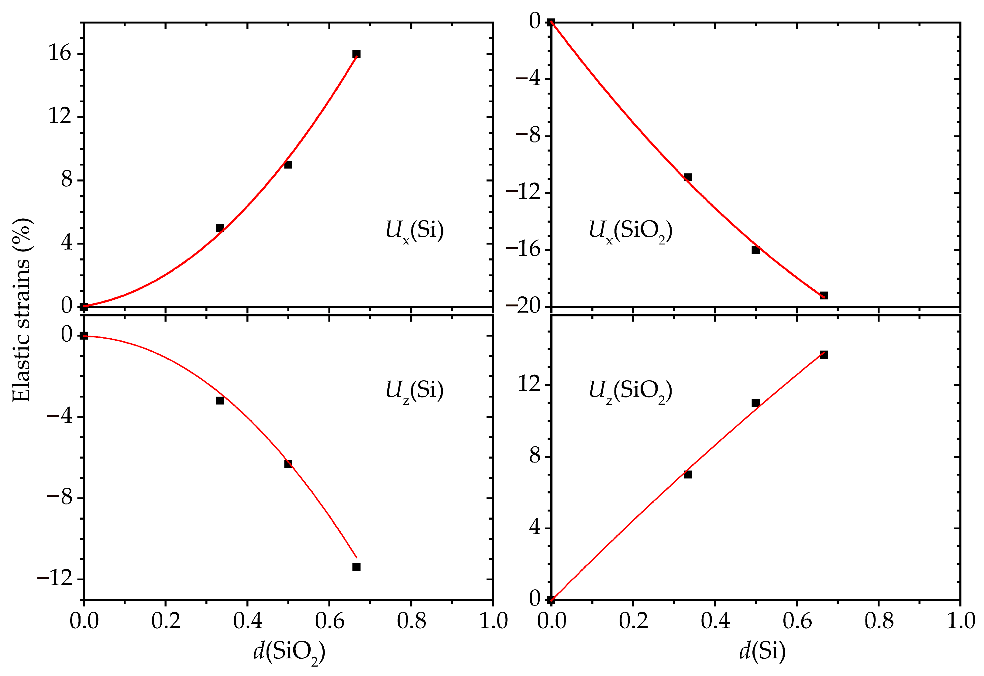
3.1. Structural Models
3.2. Mulliken’s Population Analysis
3.3. Energy of Formation and Interface Energy
4. Conclusions
Author Contributions
Funding
Institutional Review Board Statement
Informed Consent Statement
Data Availability Statement
Acknowledgments
Conflicts of Interest
References
- Gaburro, Z.; Pucker, G.; Bellutti, P.; Pavesi, L. Electroluminescence in MOS structures with Si/SiO2 nanometric multilayers. Solid State Commun. 2000, 114, 33–37. [Google Scholar] [CrossRef]
- Zheng, T.; Li, Z. The present status of Si/SiO2 superlattice research into optoelectronic applications. Superlattices Microstruct. 2005, 37, 227–247. [Google Scholar] [CrossRef]
- Grüning, M.; Shaltaf, R.; Rignanese, G.-M. Quasiparticle calculations of the electronic properties of ZrO2 and HfO2 polymorphs and their interface with Si. Phys. Rev. B 2010, 81, 035330. [Google Scholar] [CrossRef]
- Li, J.; Fang, M.; He, H.; Shao, J.; Fan, Z.; Li, Z. Growth stress evolution in HfO2/SiO2 multilayers. Thin Solid Films 2012, 526, 70–73. [Google Scholar] [CrossRef]
- He, G.; Zhang, L.D.; Fang, Q. Silicate layer formation at HfO2/SiO2/Si interface determined by X-ray photoelectron spectroscopy and infrared spectroscopy. J. Appl. Phys. 2006, 100, 083517. [Google Scholar] [CrossRef]
- Ming, Z.; Nakajima, K.; Suzuki, M.; Kimura, K.; Uematsu, M.; Torii, K.; Kamiyama, S.; Nara, Y.; Yamada, K. Si emission from the SiO2∕Si interface during the growth of SiO2 in the HfO2/SiO2/Si structure. Appl. Phys. Lett. 2006, 88, 153516. [Google Scholar] [CrossRef]
- Godet, J.; Broqvist, P.; Pasquarello, A. Hydrogen in Si(100)–SiO2–HfO2 gate stacks: Relevant charge states and their location. Appl. Phys. Lett. 2007, 91, 262901. [Google Scholar] [CrossRef]
- Gavartin, J.L.; Shluger, A.L. Modeling HfO2/SiO2/Si interface. Microelectron. Eng. 2007, 84, 2412–2415. [Google Scholar] [CrossRef]
- Loh, T.-H.; Wang, Q.; Ng, K.-T.; Lai, Y.-C.; Ho, S.-T. CMOS compatible integration of Si/SiO2 multilayer GRIN lens optical mode size converter to Si wire waveguide. Opt. Express 2012, 20, 14769–14778. [Google Scholar] [CrossRef]
- Takenaka, H.; Hatayama, M.; Ito, H.; Ohchi, T.; Takano, A.; Kurosawa, S.; Itoh, H.; Ichimura, S. Development of Si/SiO2 Multilayer Type AFM Tip Characterizers. J. Surf. Anal. 2011, 17, 264–268. [Google Scholar] [CrossRef]
- Pantelides, S.T. Si/SiO2 and SiC/SiO2 Interfaces for MOSFETs—Challenges and Advances. Mater. Sci. Forum 2006, 527, 935–948. [Google Scholar] [CrossRef]
- Li, P.; Song, Y.; Zuo, X. Computational Study on Interfaces and Interface Defects of Amorphous Silica and Silicon. Phys. Status Solidi RRL 2018, 13, 1800547. [Google Scholar] [CrossRef]
- Zheng, F.; Pham, H.H.; Wang, L.-W. The effects of c-Si/a-SiO2 interface atomic structure on its band alignment: An ab initio study. Phys. Chem. Chem. Phys. 2017, 19, 32617–32625. [Google Scholar] [CrossRef]
- Carrier, P.; Lewis, L.J.; Dharma-Wardana, M.W.C. Optical properties of structurally relaxed Si/SiO2 superlattices: The role of bonding at interfaces. Phys. Rev. B 2002, 65, 165339. [Google Scholar] [CrossRef]
- Yamada, S.; Konagai, M.; Miyajima, S. Investigation of the optical absorption in Si/SiO2 superlattice for the application to solar cells. Jpn. J. Appl. Phys. 2016, 55, 04ES06. [Google Scholar] [CrossRef]
- Hane, M.; Miyamoto, Y.; Oshiyama, A. Atomic and electronic structures of an interface between silicon and β-cristobalite. Phys. Rev. B 1990, 41, 12637–12640. [Google Scholar] [CrossRef] [PubMed]
- Pasquarello, A.; Hybertsen, M.S.; Car, R. Structurally relaxed models of the Si(001)–SiO2 interface. Appl. Phys. Lett. 1996, 68, 625–627. [Google Scholar] [CrossRef]
- Buczko, R.; Pennycook, S.J.; Pantelides, S.T. Bonding Arrangements at the Si-SiO2 and SiC-SiO2 Interfaces and a Possible Origin of their Contrasting Properties. Phys. Rev. Lett. 2000, 84, 943–946. [Google Scholar] [CrossRef]
- Yamasaki, T.; Kaneta, C.; Uchiyama, T.; Uda, T.; Terakura, K. Geometric and electronic structures of SiO2/Si (001) interfaces. Phys. Rev. B 2001, 63, 115314. [Google Scholar] [CrossRef]
- Kovacevic, G.; Pivac, B. Structure, defects, and strain in silicon-silicon oxide interfaces. J. Appl. Phys. 2014, 115, 043531. [Google Scholar] [CrossRef]
- Seino, K.; Bechstedt, F. Effective density of states and carrier masses for Si/SiO2 superlattices from first principles. Semicond. Sci. Technol. 2011, 26, 014024. [Google Scholar] [CrossRef]
- Markov, S.; Yam, C.; Chen, G.; Aradi, B.; Penazzi, G.; Frauenheim, T. Towards atomic level simulation of electron devices including the semiconductor-oxide interface. In Proceedings of the 2014 International Conference on Simulation of Semiconductor Processes and Devices (SISPAD), Yokohama, Japan, 9–11 September 2014. [Google Scholar] [CrossRef]
- Sugita, Y.; Watanabe, S.; Awaji, N.; Komiya, S. Structural fluctuation of SiO2 network at the interface with Si. Appl. Surf. Sci. 1996, 100–101, 268–271. [Google Scholar] [CrossRef]
- Logothetidis, S.; Boultadakis, S. A spectroscopic ellipsometry study of the interfacial stresses and their correlation with microvoids in very thin thermally grown SiO2 films. J. Appl. Phys. 1995, 78, 5362–5365. [Google Scholar] [CrossRef]
- Ohdomari, I.; Akatsu, H.; Yamakoshi, Y.; Kishimoto, K. Study of the interfacial structure between Si (100) and thermally grown SiO2 using a ballandspoke model. J. Appl. Phys. 1987, 62, 3751–3754. [Google Scholar] [CrossRef]
- Shaltaf, R.; Rignanese, G.M.; Gonze, X.; Giustino, F.; Pasquarello, A. Band Offsets at the Si=SiO2 Interface from Many-Body Perturbation Theory. Phys. Rev. Lett. 2008, 100, 186401. [Google Scholar] [CrossRef]
- Ribeiro, M.; Fonseca, L.R.C. Accurate prediction of the Si/SiO2 interface band offset using the self-consistent ab initio DFT/LDA-1/2 method. Phys. Rev. B 2009, 79, 241312. [Google Scholar] [CrossRef]
- Herman, F.; Kasowski, R.V. Electronic structure of defects at Si/SiO2 interfaces. J. Vac. Sci. Technol. 1981, 19, 395–401. [Google Scholar] [CrossRef]
- Perdew, J.P.; Ruzsinszky, A.; Csonka, G.I.; Vydrov, O.A.; Scuseria, G.E.; Constantin, L.A.; Zhou, X.; Burke, K. Restoring the Density-Gradient Expansion for Exchange in Solids and Surfaces. Phys. Rev. Lett. 2008, 100, 136406. [Google Scholar] [CrossRef]
- Gonze, X.; Beuken, J.M.; Caracas, R.; Detraux, F.; Fuchs, M.; Rignanese, G.M.; Sindic, L.; Verstraete, M.; Zerah, G.; Jollet, F.; et al. First-principles computation of material properties: The ABINIT software project. Comput. Mater. Sci. 2002, 25, 478–492. [Google Scholar] [CrossRef]
- Gonze, X.; Rignanese, G.M.; Verstraete, M.; Beuken, J.M.; Pouillon, Y.; Caracas, R.; Jollet, F.; Torrent, M.; Zerah, G.; Mikami, M.; et al. A brief introduction to the ABINIT software package. Z. Krist. 2005, 220, 558–562. [Google Scholar] [CrossRef]
- Gonze, X.; Amadon, B.; Anglade, P.-M.; Beuken, J.-M.; Bottin, F.; Boulanger, P.; Bruneval, F.; Caliste, D.; Caracas, R.; Côté, M.; et al. ABINIT: First-principles approach to material and nanosystem properties. Comput. Phys. Commun. 2009, 180, 2582–2615. [Google Scholar] [CrossRef]
- Hamann, D.R. Optimized norm-conserving Vanderbilt pseudopotentials. Phys. Rev. B 2013, 88, 085117. [Google Scholar] [CrossRef]
- Monkhorst, H.J.; Pack, J.D. Special points for Brillonin-zone integrations. Phys. Rev. B 1976, 13, 5188–5192. [Google Scholar] [CrossRef]
- Gonze, X.; Lee, C. Dynamical matrices. Phys. Rev. B 1997, 55, 10355–10368. [Google Scholar] [CrossRef]
- Sanchez-Portal, D.; Artacho, E.; Soler, J.M. Projection of plane-wave calculations into atomic orbitals. Solid State Commun. 1995, 95, 685–690. [Google Scholar] [CrossRef]
- Mulliken, R.S. Electronic Population Analysis on LCAO–MO Molecular Wave Functions: I. J. Chem. Phys. 1955, 23, 1833–1840. [Google Scholar] [CrossRef]
- Jette, E.R.; Foote, F. Precision Determination of Lattice Constants. J. Chem. Phys. 1935, 3, 605–616. [Google Scholar] [CrossRef]
- Barth, T.F.W. The Cristobalite Structure. Am. J. Sci. 1932, 23, 350–356. [Google Scholar] [CrossRef]
- Wright, A.F.; Leadbetter, A.J. The structures of the β-cristobalite phases of SiO2 and AlPO4. Philos. Mag. 1975, 31, 1391–1401. [Google Scholar] [CrossRef]
- Giddy, A.P.; Dove, M.T.; Pawley, G.S.; Heine, V. The Determination of Rigid-Unit Modes as Potential Soft Modes for Displacive Phase Transitions in Framework Crystal Structures. Acta Cryst. A 1993, 49, 697–703. [Google Scholar] [CrossRef]
- Coh, S.; Vanderbilt, D. Structural stability and lattice dynamics of SiO2 cristobalite. Phys. Rev. B 2008, 78, 054117. [Google Scholar] [CrossRef]
- Tu, Y.; Tersoff, J. Structure and Energetics of the Si-SiO2 Interface. Phys. Rev. Lett. 2000, 84, 4393–4396. [Google Scholar] [CrossRef] [PubMed]
- Goedecker, S.; Deutsch, T.; Billard, L. A Fourfold Coordinated Point Defect in Silicon. Phys. Rev. Lett. 2002, 88, 235501. [Google Scholar] [CrossRef] [PubMed]




| System | a | c (Si) | c (SiO2) | τ (°) | |
|---|---|---|---|---|---|
| Bulk crystals | Si | 3.840 (3.840 1) | 5.430 (5.430 1) | - | - |
| β-SiO2 | 5.248 (5.067 2) | - | 7.422 (7.166 2) | 0 | |
| -SiO2 | 4.991 (5.029 3) | - | 7.331 (7.131 3) | 21 (18 3) | |
| SL | #115 | 4.908 | 3.865 | 8.156 | 0 |
| #81 | 4.202 | 5.105 | 8.189 | 33 | |
| m × n | τ(°) | Layer Parameters (Å) | Strains (%) | |||||
|---|---|---|---|---|---|---|---|---|
| c (Si) | c (SiO2) | a | Si | SiO2 | ||||
| Uzz | Uxx | Uzz | Uxx | |||||
| 8 × 4 | 35.8 | 5.257 × 2 | 8.336 | 4.033 | −3.2 | +5.0 | +13.7 | −19.2 |
| 4 × 4 | 33.1 | 5.105 | 8.189 | 4.202 | −6.0 | +9.4 | +11.7 | −15.8 |
| 4 × 8 | 28.8/31.5 | 4.810 | 7.849 × 2 | 4.445 | −11.4 | +15.8 | +7.0 | −10.9 |
| 8 × 8 | 33.3/35.5 | 5.073 × 2 | 8.072 × 2 | 4.185 | −6.6 | +9.0 | +10.1 | −16.1 |
| m × n | τ (°) | Layer Parameters (Å) | Strains (%) | |||||
|---|---|---|---|---|---|---|---|---|
| c (Si) | c (SiO2) | a | Si | SiO2 | ||||
| Uzz | Uxx | Uzz | Uxx | |||||
| 8 × 4 | 19.1/17.5 | 5.6523 × 2 | 7.2391 | 5.1710 | 4.1 | −4.8 | −1.3 | 3.6 |
| 4 × 4 | 23.0/21.9 | 5.8828 | 7.4039 | 4.9629 | 8.3 | −8.6 | 1.0 | −0.6 |
| 4 × 8 | 22.9/21.7 | 5.8796 | 7.3730 × 2 | 4.9666 | 8.3 | −8.5 | 0.6 | −0.48 |
| 8 × 8 | 19.2/17.3 | 5.6675 × 2 | 7.25723 × 2 | 5.1508 | 4.4 | −5.1 | −1.0 | 3.2 |
| Parameter | System | |||
|---|---|---|---|---|
| 4 × 4 I1 | 4 × 4 I2 | Bulk | ||
| Valence bonds (Å) | Si4+–O | 1.623 | 1.619 | 1.617 |
| Si2+–O | 1.661 | 1.655 | ||
| Si1+–Ob | - | 1.698 | ||
| Si2+–Si0 | 2.469 | - | - | |
| Si2+–Si1+ | - | 2.483 | ||
| Si1+–Si0 | - | 2.310 | ||
| Si0–Si0 | 2.458 | 2.305 | 2.351 | |
| Valence angles (°) | Si4+–O–Si4+ | 126 | 148 | 147 |
| Si4+–O–Si2+ | 131 | 146 | ||
| Si1+–Ob–Si1+ | - | 138 | ||
| tilt angle (°) | 34 | 18 | 21 | |
| 4 × 4 I1 Type | 4 × 4 I2 Type | ||||||||
|---|---|---|---|---|---|---|---|---|---|
| Layer | Atom | Na | Za | Pab | Layer | Atom | Na | Za | Pab |
| SiO2 | O42 | 2 | −1.09 | 0.42 | SiO2 | O42 | 2 | −1.11 | 0.42 |
| 0.52 | 0.54 | ||||||||
| Si4+ | 1 | +2.25 | - | Si4+ | 1 | +2.32 | - | ||
| O44 | 2 | −1.12 | 0.52 | O44 | 2 | −1.17 | 0.52 | ||
| 0.51 | 0.52 | ||||||||
| Si4+ | 1 | +2.26 | - | Si4+ | 1 | +2.34 | - | ||
| O44 | 2 | −1.12 | 0.51 | O44 | 2 | −1.17 | 0.52 | ||
| 0.52 | 0.52 | ||||||||
| Si4+ | 1 | +2.25 | - | Si4+ | 1 | +2.32 | - | ||
| O42 | 2 | −1.09 | 0.52 | O42 | 2 | −1.11 | 0.54 | ||
| 0.42 | 0.43 | ||||||||
| I1 | Si2+ | 1 | +1.17 | - | I2 | Si2+ | 1 | +1.22 | - |
| Si | Si0 | 1 | −0.10 | 0.67 | Si1+ | 2 | +0.56 | 0.69 | |
| 0.66 | 0.67 | ||||||||
| Si0 | 1 | −0.06 | - | Si | Si0 | 2 | −0.25 | - | |
| Si0 | 1 | −0.10 | 0.66 | 0.67 | |||||
| 0.67 | I2 | Si1+ | 2 | +0.56 | - | ||||
| I1 | Si2+ | 1 | +1.17 | - | O11 | 1 | −1.02 | 0.48 | |
| Si1+ | 2 | +0.56 | - | ||||||
| I1 Type | I2 Type | |||||
|---|---|---|---|---|---|---|
| m × n | E(m,n) | Ef | m × n | p × q | E(m,n) | Ef |
| 4 × 8 | −8594.31014 | 4.8619 | 8 × 4 | 14 × 5 | −6692.80403 | 5.77941 |
| 4 × 4 | −4526.12430 | 3.74014 | 4 × 4 | 6 × 5 | −5772.31922 | 5.15054 |
| 8 × 4 | −4986.32200 | 4.09928 | 4 × 8 | 6 × 9 | −9841.64586 | 5.13150 |
| 8 × 8 | −9054.28784 | 5.44104 | 8 × 8 | 14 × 9 | −10,762.07500 | 5.81604 |
Disclaimer/Publisher’s Note: The statements, opinions and data contained in all publications are solely those of the individual author(s) and contributor(s) and not of MDPI and/or the editor(s). MDPI and/or the editor(s) disclaim responsibility for any injury to people or property resulting from any ideas, methods, instructions or products referred to in the content. |
© 2023 by the authors. Licensee MDPI, Basel, Switzerland. This article is an open access article distributed under the terms and conditions of the Creative Commons Attribution (CC BY) license (https://creativecommons.org/licenses/by/4.0/).
Share and Cite
Smirnov, M.; Roginskii, E.; Savin, A.; Mazhenov, N.; Pankin, D. Density-Functional Study of the Si/SiO2 Interfaces in Short-Period Superlattices: Structures and Energies. Coatings 2023, 13, 1231. https://doi.org/10.3390/coatings13071231
Smirnov M, Roginskii E, Savin A, Mazhenov N, Pankin D. Density-Functional Study of the Si/SiO2 Interfaces in Short-Period Superlattices: Structures and Energies. Coatings. 2023; 13(7):1231. https://doi.org/10.3390/coatings13071231
Chicago/Turabian StyleSmirnov, Mikhail, Evgenii Roginskii, Aleksandr Savin, Nurlan Mazhenov, and Dmitrii Pankin. 2023. "Density-Functional Study of the Si/SiO2 Interfaces in Short-Period Superlattices: Structures and Energies" Coatings 13, no. 7: 1231. https://doi.org/10.3390/coatings13071231
APA StyleSmirnov, M., Roginskii, E., Savin, A., Mazhenov, N., & Pankin, D. (2023). Density-Functional Study of the Si/SiO2 Interfaces in Short-Period Superlattices: Structures and Energies. Coatings, 13(7), 1231. https://doi.org/10.3390/coatings13071231

