Abstract
Mo/N co-doped TiO2 nanotube array films were obtained by a combination of magnetron sputtering and anodization. The influences of doping concentration and nanotube morphology on the structure, morphology, elemental composition, light-absorption capacity, and optoelectronic properties of TiO2 nanotubes were studied. The findings revealed that Mo was primarily incorporated into the TiO2 lattice in the Mo6+ valence state, while N was mainly embedded into the lattice as interstitial atoms. It was observed that when the sputtering power was 35 W for TiN target and 150 W for Mo-Ti target, the Mo/N co-doped TiO2 nanotube array films exhibited the best photovoltaic performance with a photogenerated current of 0.50 µA/cm2, which was 5.5 times of that of Mo-doped TiO2. The enhanced photocatalytic efficiency observed in Mo/N co-doped TiO2 nanotube array films can be ascribed to three main factors: an increase in the concentration of photogenerated electrons and holes, a reduction in the band gap width, and intense light absorption within the visible spectrum.
1. Introduction
Photocatalysis is a promising and environmentally friendly process for converting solar energy into chemical energy. As an important photocatalyst, TiO2 has the advantages of chemical stability, less pollution, and simple preparation. It has found utility in a wide range of environmental applications encompassing the purification of water and air [1]. When TiO2 is exposed to ultraviolet radiation with a wavelength shorter than 388 nm, electrons in the valence band become energized and move to the conduction band so that there is a spatial separation of the photoexcited electrons and the holes [2]. Holes possess an oxidizing effect and can interact with OH- or H2O attached to the surface of TiO2 particles to generate HO·. Electrons are reductive and can interact with O2 to generate reactive oxygen species such as HO2 and O2−. These highly reactive radicals act on the pollutants to achieve photocatalytic degradation [3]. Nevertheless, the anatase and rutile phases of TiO2 possess a wide band gap of 3.2 eV and 3.0 eV, respectively. As a result, the photo-response primarily lies in the ultraviolet range, and the charges generated by light absorption tend to recombine easily, thus constraining the photocatalytic performance of TiO2 [4].
In order to address these limitations and enable TiO2 to achieve improved photocatalytic performance, various strategies involving the incorporation of metal/non-metal elements and rare earth metals through the technique of doping have been explored [5]. Recent investigations have focused on the doping of transition metal elements such as Mo [6], Fe [7], Mn [8], Cr [9], W [10], and Ni [11] to improve the photocatalytic efficiency of TiO2. Additionally, doping non-metals such as B [12], C [13], S [14], F [15], and N [16,17] has been observed to reduce the band gap and expand the photo-responsive range into the visible light spectrum.
In recent years, TiO2 co-doped with metal and non-metal elements has attracted more attention due to the limitations of single-element doping [18]. Zhang et al. [19] prepared N-Ni co-doped TiO2, and the results demonstrated that the incorporation of nitrogen atoms facilitated visible light response, while nickel atoms were present as Ni2O3, effectively suppressing the recombination of charges generated by photons and enhancing carrier transfer efficiency. Co-doping has the capability to retard the transition from anatase to rutile and allow the anatase phase to become more thermally stable. Wang et al. [20] discovered that anatase-to-rutile phase transition occurred at 500 °C for TiO2-xNx samples. However, the rutile phase of ZrO2/TiO2-xNx was not observed even after being heated at 600 °C, and the average crystal size did not increase with increasing temperature as did N-TiO2. Therefore, the ZrO2-modified TiO2-xNx exhibits better properties, such as higher porosity and larger specific surface area structurally as well as enhanced thermal stability. Kaveh et al. [21] found that the synergistic effect of Fe and N dopants leads to a remarkable improvement in the photocatalytic activity of Fe and N co-doped TiO2. The presence of nitrogen and iron extends absorption into the visible region. Additionally, Fe doping acts as a crucial element in efficiently separating the electron–hole pairs generated upon light absorption, thus inhibiting the recombination of photogenerated charges.
Mo is considered to be an excellent option for modifying TiO2 because its atomic radius is similar to Ti [22]. Yin [23] et al. drew conclusions from calculations that cations with 4d and 5d orbitals can bring high mobility of photogenerated electrons into the TiO2 lattice, while anions with 2p or 3p orbitals can lift the upper edge of the valence band of TiO2. Therefore, Mo is one of the best donor elements, and N is one of the best acceptor elements. Moreover, in an effort to elevate the photocatalytic effectiveness of TiO2, it is possible to construct a micro-nano structure that has the potential to result in an expanded surface area of the TiO2 photoanode. Among various nanostructures, nanotubes possess several advantages, such as larger surface area and volume of pores, efficient ion exchange, and rapid as well as long-range electron transport, which ultimately enhance the light absorption [24].
In our previous work [25], Mo-doped TiO2 nanotube array films were prepared through a dual method involving magnetron sputtering and anodic oxidation. Mo cubes were placed on Ti targets, and the effect of Mo doping concentration was examined by varying the number of Mo cubes. In this study, we focused on the synergistic effect arising from the incorporation of N elements into the TiO2 nanotube array films while maintaining a constant Mo content. The synthesis of Mo/N co-doped TiO2 nanotube array films was achieved through a similar procedure. The Ti targets placed with two Mo cubes were sputtered together with TiN targets to obtain Mo/N–Ti films. Subsequently, Mo/N co-doped TiO2 nanotube array films were synthesized by subjecting the Mo/N–Ti films to oxidation. The N doping concentration was regulated by adjusting the sputtering power of the TiN target. The enhanced photovoltaic properties of the Mo/N co-doped TiO2 nanotubes were demonstrated in characterization. The preparation process for the Mo/N co-doped TiO2 nanotube array films is briefly depicted in Figure 1.
Figure 1.
Schematic diagram of Mo/N co-doped TiO2 nanotube array films preparation.
2. Materials and Methods
2.1. Preparation of Mo/N Co-Doped TiO2 Nanotube Films
Mo/N–Ti films were fabricated on titanium foils through magnetron sputtering using a vacuum deposition machine (SY-500, Beijing Shengdeyu Vacuum Technology Co., Beijing, China). Prior to sputtering, the titanium foil (0.1 mm thickness, 99.6% purity) underwent a cleaning process involving acetone, ethanol, and deionized water. To further remove surface impurities, the cleaned foil was immersed in a solution of HF (40%), HNO3 (65%), and deionized water (in a ratio of 1:4:5) for one minute. Subsequently, the substrates were dried under a nitrogen (N2) atmosphere. Two Mo cubes (2 mm × 2 mm × 2 mm, 0.5 g) were placed symmetrically on the pure Ti target (99.99%, Alluter, Shenzhen, China), and the power for DC sputtering of the Ti target remained constant at 150 W. The sputtering power of the TiN target (99.99%, Alluter, Shenzhen, China) was adjusted to different levels: 25 W, 35 W, 50 W, 75 W, and 100 W, respectively, to achieve the change of N doping concentration. Argon gas was used during sputtering with a constant flow rate of 50 sccm. The sputtering pressure remained at 0.25 Pa. During sputtering, the substrate continuously rotated at a consistent speed for 40 min. Then the Mo/N–Ti coating substrate was connected to the positive electrode of the DC voltage, while a graphite sheet was connected to the negative electrode. They were immersed in a 0.5 at. % HF solution to form an electrolytic cell. Anodization was carried out at a fixed voltage of 20 V for a duration of 60 min. The obtained nanotube films were annealed at 550 °C for 2 h.
2.2. Characterization and Testing
2.2.1. Characterization of Morphology and Structure
Surface and cross-sectional views were obtained by scanning electron microscope (SEM) instrument (ZEISS Gemini 300). The length of the nanotubes can be measured by taking a cross-sectional view of the sheet sample by bending it at the breakage. The phase of the film was measured by X-ray diffraction (XRD). The Bruker D8 A25 powder diffractometer was used in this experiment, and the X-ray source was Cu–Kα radiation. Valence state and relative content of Mo, N, Ti, and O elements of the samples were analyzed by X-ray photoelectron spectrometer (XPS, Thermo Scientific K-Alpha).
2.2.2. Photoelectrochemical Testing
The diffuse reflectance absorption spectra of the films were measured by a UV–vis spectrophotometer with a scanning wavelength ranging from 300 to 800 nm. To characterize the optoelectronic properties, a visible light transient photocurrent test was conducted under dark conditions while intermittently illuminating the sample with the xenon lamp. An electrochemical workstation was used to record the transient photogenerated current density. A three-electrode system was utilized, consisting of a saturated calomel electrode (SCE) as the reference electrode, a Pt wire as the counter electrode, and either pure or doped TiO2 nanotube array films as the working (optical) electrode. A 0.5 mol/L Na2SO4 solution was utilized as the electrolyte. The test involved cyclic irradiation of the sample by the xenon lamp (62 mW/cm2) for 50 s and shielding (no irradiation) for the subsequent 50 s. The magnitude of the measured transient photocurrent density indicated the sample’s photoelectric conversion ability.
Furthermore, the photolysis properties of the films were also evaluated with a UV–vis spectrophotometer. A 1 × 1 cm2 sample was immersed in a 4 mg/L methylene blue solution and exposed to visible light at a distance of 30 cm, while 3 mL of the decomposed methylene blue solution was extracted every 10 min during the 40 min irradiation period. The UV spectrophotometer adopted the transmission mode, and the cuvette was used as the sample cell. The obtained curve represented a photodegradation curve, where a steeper slope indicated stronger photodegradation capacity of the sample.
3. Results and Discussion
The SEM images of the surface of Mo/N co-doped TiO2 nanotube array films at various doping concentrations are shown in Figure 2. The nanotubes formed through 60 min of anodizing etching exhibited a well-organized and vertical arrangement on the substrate. It was found that with the increase of the concentration of N, the nanotube structure gradually experienced a collapsing tendency. When the Mo doping concentration was constant, an appropriate amount of N doping managed to partially preserve the nanotube morphology of the film [26]. Notably, when the TiN sputtering power reached 35 W or higher, there was a reduction in the occurrence of notches and depressions along the upper edge of the nanotubes on the surface, resulting in smoother openings. The diameter of the hollow nanotubes also increased from 100 nm to approximately 150 nm with the introduction of N doping.

Figure 2.
SEM images of surface morphology of Mo/N co-doped TiO2 nanotube array films with different sputtering power of TiN target (the sputtering power of Mo–Ti target is 150 W, TiN target is 25 W for (a,b); 35 W for (c,d); 50 W for (e,f); 75 W for (g,h); 100 W for (i,j)).
The diffraction patterns of the Mo/N–TiO2 nanotube films with different nitrogen doping concentrations are presented in Figure 3. The XRD analysis revealed distinct diffraction peaks ascribed to both TiO2 and the Ti substrate [27], suggesting that the fabricated TiO2 nanotube film is characterized by a thin structure and strong adhesion to the substrate. After being annealed at 550 °C for 2 h, the TiO2 films showed a mixed crystal structure. The peaks detected at angles of 25.3° and 37.9° corresponded to the diffraction peaks of the (101) and (004) crystal planes of anatase TiO2. The peaks at 27.6° (110) and 56.6° (220) were commonly considered as indicative peaks of the rutile phase. Based on the equation [28,29], the following is given:
Figure 3.
XRD patterns of Mo/N co-doped TiO2 nanotube array films.
The proportion of the anatase and rutile phase was calculated and listed in Table 1. The integrated intensities of diffraction peak on crystal surface of the anatase (101) and rutile (110) were denoted as Ia and Ir. In the prepared samples, the ratio of the anatase phase to rutile phase was approximately 4:6; thus, the synergistic effect of the two phases can be expected during photocatalysis [30]. In comparison to pure TiO2, the doping of Mo and N facilitated the development of anatase phase to some extent, and the proportion of anatase appeared to rise with the increase of nitrogen content. As shown in Table 2, the lattice parameters a and c were calculated, respectively, for anatase and rutile phases. For Mo-doped samples (PTiN = 0 W), the lattice parameters a and c exhibited smaller values compared to undoped TiO2 for both phases due to the substitution of Mo6+ ions (with an ion radius of 0.041 nm) in place of Ti4+ ions (with an ion radius of 0.061 nm). As the doping concentration of nitrogen increased, a corresponding expansion in the lattice parameters could be observed, which was attributed to the larger size of N3− ions (with a radius of 0.171 nm) compared to O2− ions (with a radius of 0.132 nm) upon their incorporation into the TiO2 lattice [31].
Table 1.
Proportion of anatase and rutile phase of Mo/N co-doped TiO2 nanotube array films.
Table 2.
Lattice parameters a and c of Mo/N co-doped TiO2 nanotube array films.
To analyze the elemental composition and valence state of the Mo/N co-doped TiO2 nanotube array film, the XPS spectra of the sample prepared with a TiN target sputtering power of 35 W are shown in Figure 4. The film was composed of five elements: Ti, O, Mo, N, and C. The presence of the C 1s peak (at 284.8 eV) was caused by carbon contamination during the sample-preparation process and was utilized for charge correction before further data analysis. The peak positions of Ti 2p, O 1s, Mo 3d, and N 1s corresponded to energies of 460 eV, 525 eV, 230 eV, and 400 eV, respectively. As shown in Figure 4b, the Mo 3d peaks were fitted, revealing characteristic peaks at 232.1 eV and 235.5 eV, which corresponded to the 3d5/2 and 3d3/2 orbitals of Mo [32]. Additionally, there was residual partially oxidized Mo present in the +5 valence state. The area under the peaks of Mo6+ and Mo5+ accounted for 56.7% and 43.3%, respectively, suggesting that the predominant presence of Mo into the TiO2 crystal lattice was observed as substitution doping, specifically with a valence state of +6.
Figure 4.
The XPS spectrum of Mo/N co-doped TiO2 nanotube array films with a TiN target sputtering power of 35 W: full spectrum (a) and the high-resolution spectrum of Mo 3d (b), N 1s (c), Ti 2p (d) and O 1s (e).
In Figure 4c, the N 1s peaks were fitted. The peak at 399.7 eV corresponded to N–O bonds formed by nitrogen in the oxidized state, while the peak at 401.4 eV indicated N–O bonds formed directly between nitrogen and oxygen atoms adsorbed on the surface [33]. In addition, characteristic peaks associated with Ti–N bonds near 396 eV were not observed, suggesting that nitrogen atoms mainly existed in the form of O–Ti–N bonds [34].
The spectrum of Ti 2p is depicted in Figure 4d. The binding energies of 458.5 eV and 464.3 eV corresponded to the Ti 2p3/2 and Ti 2p1/2 orbitals [35], with a peak intensity ratio of approximately 2:1. Titanium was found to exist in the +4 valence state within the TiO2 lattice.
Figure 4e is the spectrum of O 1 s. After analysis, it was decomposed into two distinct peaks at 529.7 eV and 530.6 eV. The former peak originated from oxygen atoms present within the TiO2 lattice, while the latter was related to the existence of hydroxyl functional groups on the surface of TiO2 films and the residues of carbonate radicals [36,37].
Table 3 shows the elements composition of samples prepared at different power levels of the TiN target. The doping concentration of nitrogen tended to increase with elevated power, but such an increase became slow when the power exceeded 50 W. For thin films fabricated through sputtering using physical vapor deposition, it is common for highly disordered energy states to form. These energy states tend to recombine when supplied with additional energy. In the case of anodizing Mo/N co-doped titanium films, the nitrogen component is selectively removed, and Ti–O bonds are formed [38].
Table 3.
Elements fractions of Mo/N co-doped TiO2 nanotube array films.
The absorption spectra of diffuse reflectance for Mo/N–TiO2 nanotube samples featuring various concentrations is illustrated in Figure 5. The sample prepared with a TiN target sputtering power of 35 W exhibited exceptional light-absorption capabilities in the visible range. The synergistic effect achieved through the co-doping of Mo and N reduced the band gap of TiO2 as expected, causing a significant enhancement in the efficiency of visible light response [39]. In the UV light region, the primary absorption can be attributed to the inherent band gap of TiO2. The optical absorption observed in the visible range is associated with electron transitions facilitated by N doping, where electrons shift from the O 2p state to the Ti 3d state [40], as well as the transfer of electrons from the O 2p state to the Mo 4d state [41].
Figure 5.
UV–vis DRS of Mo/N co-doped TiO2 nanotube array films.
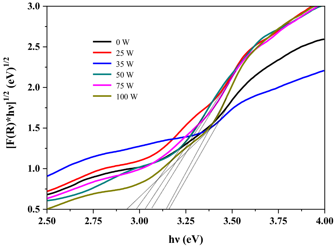
The Tauc analysis based on Kubelka–Munk formula could be utilized for estimating the band gap energy of the samples [42,43]:
where α is the absorption coefficient, and A is a constant. The value of the index indicates the properties associated with the electron transition, where n is 1/2 for direct allowed transitions and 2 for indirect allowed transitions. Since TiO2 is considered to be an indirect semiconductor, the relationship between (αhν)1/2 and hν was plotted. As displayed in Figure 6, the band gap of the samples could be determined by evaluating the intercept of the tangent line on the photon energy axis. The calculated values of band gap are given in Table 4. Among the Mo/N co-doped TiO2 nanotube films, the sample obtained with a sputtering power of 35 W for the TiN target exhibited the lowest band gap of 2.93 eV. The effective incorporation of donor–acceptor energy levels led to a significant increase in the visible light-absorption capability of the co-doped TiO2 nanotube film [39]. The doping of Mo alters the electronic structure by introducing Mo 4d states below the conduction band and causing a shift in the Fermi level. Simultaneously, N doping results in the development of an isolated N 2p state above the top of the valence band [40]. Compared to undoped or Mo/N mono-doped TiO2, Mo/N co-doped TiO2 has a much larger number of impurity states, which implies a narrowed band gap and increased light absorption under visible light. The incorporation of the Mo 4d state transforms N 2p from the unoccupied state to the occupied state, which brings about a decrease in the recombination center and thus improves the transport ability of the carriers [44].
Figure 6.
Tauc plot of Mo/N co-doped TiO2 nanotube array films.
Table 4.
Calculated band gap of Mo/N co-doped TiO2 nanotube array films.
Figure 7 shows the photogenerated current density curves of Mo/N co-doped TiO2 nanotube array films with different doping concentrations when exposed to visible light. It is evident from the figure that the sample with TiN target sputtering power of 35 W excited more electronic transitions when exposed under visible light. The photogenerated carrier density exhibited a transient photogenerated current density of 0.50 μA/cm2, which was 5.5 times higher than that of the Mo-doped TiO2 nanotube array film and 16.7 times higher than that of the undoped TiO2 nanotube array film. The doping of Mo and N introduced donor–acceptor energy levels and altered the band structure. The narrowed band gap resulting from the doping of Mo and N could be recognized as the contributing factor to the enhanced photoelectrochemical performance. As the N content continued to elevate with increasing sputtering power, the photogenerated current density instead began to decrease, suggesting that there could be an optimum sputtering power to obtain the ideal N doping content. When the N doping concentration is at a high level, deep-level defects can be formed, which act as recombination centers [45]. Moreover, the excessive N doping may exert an adverse influence on the structure of the nanotubes, which also reduces the carrier mobility.
Figure 7.
Transient photogenerated current density curve of Mo/N co-doped TiO2 nanotube array films.
Figure 8 shows the catalyzed degradation of 40 mL of 4 mg/L methylene blue by Mo/N co-doped TiO2. The film prepared with TiN target sputtering power of 35 W and anodization time of 60 min was tested for degradability under visible light exposure, with pure TiO2 and Mo-doped TiO2 as comparisons. The kinetics of the photocatalytic reaction conform to the L-H model [46,47]:
where r is the rate of degradation of reactants, C is the concentration of the reactants, t stands for the time, k is the reaction rate constant, and K is the adsorption equilibrium constants for reactants on TiO2 surfaces. In the case of a first-order reaction, suppose the initial concentration at the beginning of the reaction is C0, and upon completion of the reaction, the concentration is denoted as C. Then, the formula can be rewritten as follows:
Figure 8.
The curve of the photodegradation of methylene blue by Mo/N-doped TiO2 nanotube array film under visible light irradiation.
K’ is the first-order kinetic constant of photocatalytic reaction. The correlation coefficient R2 and the rate constant K’ (absolute value of the slope) obtained by fitting the curves in Figure 8 are listed in Table 5. The correlation coefficients of all samples were above 0.98, indicating that the photocatalytic degradation of the samples was consistent with first-order reactions. The rate constant of doped TiO2 nanotubes was more than twice that of undoped TiO2 nanotubes, and the highest degradation rate of 0.02264 was achieved for Mo/N co-doped TiO2 nanotubes. The co-doping of Mo and N in TiO2 substantially boosts the absorption of visible light and leads to a greater generation of electrons and holes, which actively engage in the photocatalytic process. Furthermore, Mo6+ can also inhibit the recombination of photo-induced carriers by serving as an electron- or hole-trapping site [48]. Mo6+ reacts with electrons and holes to form Mo5+ and Mo7+, respectively, which are highly unstable, thus producing reactive radicals (that significantly contribute to the photocatalytic process.
Table 5.
Correlation coefficient R2 and first-order kinetic constants of Mo/N-doped TiO2 nanotube array films.
4. Conclusions
A physical method of nitrogen doping using a solid nitrogen source was proposed. In the magnetron sputtering process, a TiN target was utilized as a nitrogen source, and a controllable number of Mo cubes were embedded on the Ti target. The doping content of N was regulated by the sputtering power of the TiN target. Mo/N co-doped TiO2 nanotube array films were obtained after co-sputtering and anodization. The technology is simple and eco-friendly. It was indicated that Mo was mainly introduced into the TiO2 lattice through Mo6+ substitution, while N mainly occupied interstitial positions in the lattice, which changed the energy band structure and improved the photoelectric conversion efficiency. Furthermore, the construction of the nanotube structure provided a broad transport channel for photogenerated electron–hole pairs and an extensive surface area with active sites for photocatalysis. The optimal sputtering power of the TiN target for fabricating Mo/N co-doped TiO2 nanotube array films was determined to be 35 W. The prepared TiO2 nanotube array film exhibited a band gap of 2.93 eV and a photogenerated current of 0.50 μA/cm2 under visible light irradiation, surpassing the performance of Mo-doped TiO2 nanotube array films by 5.5 times. The photocatalytic degradation rate constant for methyl blue of co-doped TiO2 nanotube array film was 0.02264, which was also higher than 0.02062 of Mo-doped TiO2 nanotube array film.
Author Contributions
Conceptualization, D.X. and J.S.; formal analysis, Y.D.; methodology, D.X.; validation, Y.D., D.X. and H.Y.; writing—original draft, Y.D. and J.S.; writing—review and editing, Y.D. and J.S. All authors have read and agreed to the published version of the manuscript.
Funding
This work was supported by the Natural Science Foundation of China (No. 61671155).
Institutional Review Board Statement
Not applicable.
Informed Consent Statement
Not applicable.
Data Availability Statement
The data presented in this study are available on request from the corresponding author.
Acknowledgments
The authors express gratitude to the Department of Materials Science in Fudan University for the magnetron sputtering equipment. Additionally, special thanks are extended to Xiaoli Cui and Xiangyin Lu for their guidance and assistance during the anodization experiments.
Conflicts of Interest
The authors declare no conflict of interest.
References
- Su, T.; Shao, Q.; Qin, Z.; Guo, Z.; Wu, Z. Role of interfaces in two-dimensional photocatalyst for water splitting. ACS Catal. 2018, 8, 2253–2276. [Google Scholar] [CrossRef]
- Linsebigler, A.L.; Lu, G.Q.; Yates, J.T. Photocatalysis on TiO2 Surfaces: Principles, Mechanisms, and Selected Results. Chem. Rev. 1995, 95, 735–758. [Google Scholar] [CrossRef]
- Chen, D.; Cheng, Y.; Zhou, N.; Chen, P.; Wang, Y.; Li, K.; Huo, S.; Cheng, P.; Peng, P.; Zhang, R. Photocatalytic degradation of organic pollutants using TiO2-based photocatalysts: A review. J. Clean. Prod. 2020, 268, 121725. [Google Scholar] [CrossRef]
- Lan, Y.; Lu, Y.; Ren, Z. Mini review on photocatalysis of titanium dioxide nanoparticles and their solar applications. Nano Energy 2013, 2, 1031–1045. [Google Scholar] [CrossRef]
- Mancuso, A.; Sacco, O.; Vaiano, V.; Sannino, D.; Pragliola, S.; Venditto, V.; Morante, N. Visible light active Fe-Pr co-doped TiO2 for water pollutants degradation. Catal. Today 2021, 380, 93–104. [Google Scholar] [CrossRef]
- Luo, S.; Yan, B.; Shen, J. Intense photocurrent from Mo-doped TiO2 film with depletion layer array. ACS Appl. Mater. Interfaces 2014, 6, 8942–8946. [Google Scholar] [CrossRef]
- Wu, Q.; Ouyang, J.; Xie, K.; Sun, L.; Wang, M.; Lin, C. Ultrasound-assisted synthesis and visible-light-driven photocatalytic activity of Fe-incorporated TiO2 nanotube array photocatalysts. Hazard. Mater. 2012, 199, 410–417. [Google Scholar] [CrossRef]
- Yacoubi, B.; Samet, L.; Bennaceur, J.; Lamouchi, A.; Chtourou, R. Properties of transition metal doped-titania electrodes: Impact on efficiency of amorphous and nanocrystalline dye-sensitized solar cells. Mater. Sci. Semicond. Process. 2015, 30, 361–367. [Google Scholar] [CrossRef]
- Xie, Y.; Huang, N.; You, S.; Liu, Y.; Sebo, B.; Liang, L.; Fang, X.; Liu, W.; Guo, S.; Zhao, X. Improved performance of dye-sensitized solar cells by trace amount Cr-doped TiO2 photoelectrodes. J. Power Sources 2013, 224, 168–173. [Google Scholar] [CrossRef]
- Tong, Z.; Peng, T.; Sun, W.; Liu, W.; Guo, S.; Zhao, X. Introducing an intermediate band into dye-sensitized solar cells by W6+ doping into TiO2 nanocrystalline photoanodes. Phys. Chem. C 2014, 118, 16892–16895. [Google Scholar] [CrossRef]
- Li, X.; Wu, Y.; Shen, Y.; Sun, Y.; Yang, Y.; Xie, A. A novel bifunctional Ni-doped TiO2 inverse opal with enhanced SERS performance and excellent photocatalytic activity. Appl. Surf. Sci. 2018, 427, 739–744. [Google Scholar] [CrossRef]
- Zhang, C.; Liu, Y.; Zhou, J.; Jin, W.; Chen, W. Tunability of photo-catalytic selectivity of B-doped anatase TiO2 microspheres in the visible light. Dyes Pigment. 2018, 156, 213–218. [Google Scholar] [CrossRef]
- Neville, E.; MacElroy, J.; Thampi, K.; Sullivan, J. Visible light active C-doped titanate nanotubes prepared via alkaline hydrothermal treatment of C-doped nanoparticulate TiO2: Photo-electrochemical and photocatalytic properties. J. Photochem. Photobiol. A 2013, 267, 17–24. [Google Scholar] [CrossRef]
- Sun, Q.; Zhang, J.; Wang, P.; Zheng, J.; Zhang, X.; Cui, Y.; Feng, J.; Zhu, Y. Sulfur-doped TiO2 nanocrystalline photoanodes for dye-sensitized solar cells. Renew. Sustain. Energy 2012, 4, 023104. [Google Scholar] [CrossRef]
- Gao, Q.; Si, F.; Zhang, S.; Fang, Y.; Chen, X.; Yang, S. Hydrogenated F-doped TiO2 for photocatalytic hydrogen evolution and pollutant degradation. Int. J. Hydrogen Energy 2019, 44, 8011–8019. [Google Scholar] [CrossRef]
- Asahi, R.; Morikawa, T.; Ohwaki, T. Visible-light photocatalysis in nitrogen-doped titanium oxides. Science 2001, 293, 269–271. [Google Scholar] [CrossRef] [PubMed]
- Peighambardoust, N.; Asl, S.; Mohammadpour, R.; Asl, S. Band-gap narrowing and electrochemical properties in N-doped and reduced anodic TiO2 nanotube arrays. Electrichim. Acta 2018, 270, 245–255. [Google Scholar] [CrossRef]
- Chen, Y.; Wu, Q.; Zhou, C.; Jin, Q. Enhanced photocatalytic activity of La and N co-doped TiO2/diatomite composite. Powder Technol. 2017, 322, 296–300. [Google Scholar] [CrossRef]
- Xin, Z.; Liu, Q. Visible-light-induced degradation of formaldehyde over titania photocatalyst co-doped with nitrogen and nickel. Appl. Surf. Sci. 2008, 254, 4780–4785. [Google Scholar]
- Wang, X.; Yu, J.; Chen, Y.; Fu, X. ZrO2-modified mesoporous nanocrystalline TiO2-xNx as efficient visible light photocatalysts. Environ. Sci. Technol. 2006, 40, 2369–2374. [Google Scholar] [CrossRef]
- Kalantari, K.; Kalbasi, M.; Sohrabi, M.; Royaeee, S. Enhancing the photocatalytic oxidation of dibenzothiophene using visible light responsive Fe and N co-doped TiO2 nanoparticles. Ceram. Int. 2017, 43, 973–981. [Google Scholar] [CrossRef]
- Avilés-García, O.; Espino-Valencia, J.; Romero, R.; Luis Rico-Cerda, J.; Arroyo-Albiter, M.; Natividad, R. W and Mo doped TiO2: Synthesis, characterization and photocatalytic activity. Fuel 2017, 198, 31–41. [Google Scholar] [CrossRef]
- Yin, W.; Tang, H.; Wei, S.; Al-Jassim, M.; Turner, J.; Yan, Y. Band structure engineering of semiconductors for enhanced photoelectrochemical water splitting: The case of TiO2. Phys. Rev. B 2010, 82, 175–227. [Google Scholar] [CrossRef]
- Liu, N.; Chen, X.; Zhang, J.; Schwank, J. A review on TiO2-based nanotubes synthesized via hydrothermal method: Formation mechanism, structure modification, and photocatalytic applications. Catal. Today 2014, 225, 34–51. [Google Scholar] [CrossRef]
- Xue, D.; Luo, J.; Li, Z.; Yin, Y.; Shen, J. Enhanced Photoelectrochemical Properties from Mo-Doped TiO2 Nanotube Arrays Film. Coatings 2020, 10, 75. [Google Scholar] [CrossRef]
- Suwannaruang, T.; Kamonsuangkasem, K.; Kidkhunthod, P.; Chirawatkul, P.; Saiyasombat, C.; Chanlek, N.; Wantala, K. Influence of nitrogen content levels on structural properties and photocatalytic activities of nanorice-like N-doped TiO2 with various calcination temperatures. Mater. Res. Bull. 2018, 105, 265–276. [Google Scholar] [CrossRef]
- Li, Z.; Cui, X.; Hao, H.; Lu, M.; Lin, Y. Enhanced photoelectrochemical water splitting from Si quantum dots/TiO2 nanotube arrays composite electrodes. Mater. Res. Bull. 2015, 66, 9–15. [Google Scholar] [CrossRef]
- Mohamed, I.M.A.; Dao, V.D.; Yasin, A.S.; Barakat, N.A.M.; Choi, H.S. Design of an efficient photoanode for dye-sensitized solar cells using electrospun one-dimensional GO/N-doped nanocomposite SnO2/TiO2. Appl. Surf. Sci. 2017, 400, 355–364. [Google Scholar] [CrossRef]
- He, J.; Du, Y.E.; Bai, Y.; An, J.; Cai, X.M.; Chen, Y.Q.; Wang, P.F.; Yang, X.J.; Feng, Q. Facile Formation of Anatase/Rutile TiO2 Nanocomposites with Enhanced Photocatalytic Activity. Molecules 2019, 24, 2996. [Google Scholar] [CrossRef]
- Zerjav, G.; Zizek, K.; Zavasnik, J.; Pintar, A. Brookite vs. rutile vs. anatase: What’s behind their various photocatalytic activities? J. Environ. Chem. Eng. 2022, 10, 107722. [Google Scholar] [CrossRef]
- Zou, Z.R.; Zhou, Z.P.; Wang, H.Y. Magnetic properties of Mo-N co-doped TiO2 anatase nanotubes films. J. Mater. Sci. Mater. Electron. 2017, 28, 207–213. [Google Scholar] [CrossRef]
- Tan, K.; Zhang, H.; Xie, C.; Zheng, H.; Gu, Y.; Zhang, W. Visible-light absorption and photocatalytic activity in molybdenum and nitrogen-codoped TiO2. Catal. Commun. 2010, 11, 331–335. [Google Scholar] [CrossRef]
- Yamaguchi, K.; Konaka, Y.; Ohtsu, N. Enhanced hardness and photocatalytic performance in anodic N-doped TiO2 layer on titanium using a non-aqueous nitrate electrolyte. Surf. Coat. Technol. 2020, 386, 125424. [Google Scholar] [CrossRef]
- Zou, M.; Xiong, F.; Ganeshraja, A.; Feng, X.; Wang, C.; Thomas, T.; Yang, M. Visible light photocatalysts (Fe, N): TiO2 from ammonothermally processed, solvothermal self-assembly derived Fe-TiO2 mesoporous microspheres. Mater. Chem. Phys. 2017, 195, 259–267. [Google Scholar] [CrossRef]
- Khan, H.; Swati, I.; Younas, M.; Ullah, A. Chelated nitrogen-sulfur-co-doped TiO2: Synthesis, characterization, mechanistic and UV/Visible photocatalytic studies. Int. J. Photoenergy 2017, 7268641. [Google Scholar]
- Huang, J.; Guo, X.; Wang, B.; Li, L.; Zhao, M.; Dong, L.; Liu, X.; Huang, Y. Synthesis and Photocatalytic Activity of Mo-Doped TiO2 Nanoparticles. J. Spectrosc. 2015, 2015, 681850. [Google Scholar] [CrossRef]
- Liao, H.; Xie, L.; Zhang, Y.; Qiu, X.; Li, S.; Huang, Z.; Hou, H.; Ji, X. Mo-doped gray anatase TiO2: Lattice expansion for enhanced sodium storage. Electrochim. Acta 2016, 219, 227–234. [Google Scholar] [CrossRef]
- Merenda, A.; Rana, A.; Guirguis, A.; Zhu, D.M.; Kong, L.X.; Dumee, L.F. Enhanced Visible Light Sensitization of N-Doped TiO2 Nanotubes Containing Ti-Oxynitride Species Fabricated via Electrochemical Anodization of Titanium Nitride. J. Phys. Chem. C 2013, 123, 2189–2201. [Google Scholar] [CrossRef]
- Mollavali, M.; Rohani, S.; Elahifard, M.; Behjatmanesh-Ardakani, R.; Nourany, M. Band gap reduction of (Mo + N) co-doped TiO2 nanotube arrays with a significant enhancement in visible light photo-conversion: A combination of experimental and theoretical study. Int. J. Hydrogen Energy 2021, 46, 21475–21498. [Google Scholar] [CrossRef]
- Khan, M.; Xu, J.; Chen, N.; Cao, W. First principle calculations of the electronic and optical properties of pure and (Mo, N) co-doped anatase TiO2. J. Alloy. Compd. 2012, 513, 539–545. [Google Scholar] [CrossRef]
- Yu, X.; Li, C.; Ling, Y.; Tang, T.; Wu, Q.; Kong, J. First principles calculations of electronic and optical properties of Mo-doped rutile TiO2. J. Alloy. Compd. 2010, 507, 33–37. [Google Scholar] [CrossRef]
- Tauc, J.; Grigorov, R.; Vancu, A. Optical Properties and Electronic Structure of Amorphous Germanium. Phys. Status Solidi 1966, 15, 627. [Google Scholar] [CrossRef]
- Coulter, J.B.; Birnie, D.P. Assessing Tauc Plot Slope Quantification: ZnO Thin Films as a Model System. Phys. Status. Solidi B 2018, 255, 1700393. [Google Scholar] [CrossRef]
- Liu, H.L.; Lu, Z.H.; Yue, L.; Liu, J.; Gan, Z.H.; Shu, C.; Zhang, T.; Shi, J.; Xiong, R. (Mo plus N) codoped TiO2 for enhanced visible-light photoactivity. Appl. Surf. Sci. 2011, 257, 9355–9361. [Google Scholar] [CrossRef]
- Okato, T.; Sakano, T.; Obara, M. Suppression of photocatalytic efficiency in highly N-doped anatase films. Phys. Rev. B 2005, 72, 115124. [Google Scholar] [CrossRef]
- Fox, M.; Dulay, M. Heterogeneous Photocatalysis. Chem. Rev. 1993, 93, 341–357. [Google Scholar] [CrossRef]
- Liu, H.; Gong, H.; Zou, M.; Jiang, H.; Abolaji, R.; Tareen, A.; Hakala, B.; Yang, M. Mo-N-co-doped mesoporous TiO2 microspheres with enhanced visible light photocatalytic activity. Mater. Res. Bull. 2017, 96, 10–17. [Google Scholar] [CrossRef]
- Zhang, M.; Lu, D.D.; Yan, G.T.; Wu, J.; Yang, J.J. Fabrication of Mo plus N-Codoped TiO2 Nanotube Arrays by Anodization and Sputtering for Visible Light-Induced Photoelectrochemical and Photocatalytic Properties. J. Nanomater. 2013, 2013, 648346. [Google Scholar] [CrossRef]
Disclaimer/Publisher’s Note: The statements, opinions and data contained in all publications are solely those of the individual author(s) and contributor(s) and not of MDPI and/or the editor(s). MDPI and/or the editor(s) disclaim responsibility for any injury to people or property resulting from any ideas, methods, instructions or products referred to in the content. |
© 2023 by the authors. Licensee MDPI, Basel, Switzerland. This article is an open access article distributed under the terms and conditions of the Creative Commons Attribution (CC BY) license (https://creativecommons.org/licenses/by/4.0/).








