Orthorhombic YBa2Cu3O7−δ Superconductor with TiO2 Nanoparticle Addition: Crystal Structure, Electric Resistivity, and AC Susceptibility
Abstract
1. Introduction
2. Materials and Methods
3. Result and Discussion
3.1. XRD Analysis
3.2. Microstructure Analysis
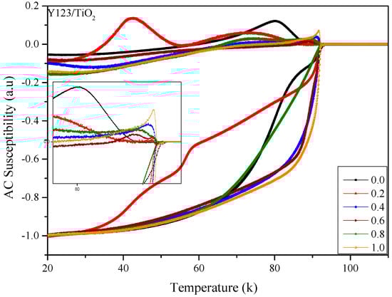
3.3. Alternating Current Susceptibility (ACS) Measurement
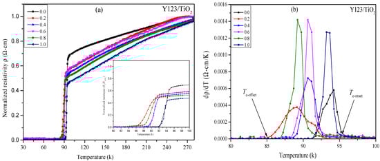
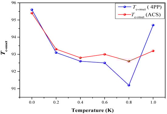
3.4. Electrical Resistivity Measurement
4. Conclusions
Author Contributions
Funding
Institutional Review Board Statement
Informed Consent Statement
Data Availability Statement
Acknowledgments
Conflicts of Interest
References
- Chu, C.W. Superconductivity above 90 K. Proc. Natl. Acad. Sci. USA 1987, 84, 4681–4682. [Google Scholar] [CrossRef]
- Hassenzahl, W.V. Superconductivity, an enabling technology for 21st century power systems? IEEE Trans. Appl. Supercond. 2001, 11, 1447–1453. [Google Scholar] [CrossRef]
- Kelley, N.; Nassi, M.; Masur, L. Application of HTS wire and cables to power transmission: State of the art and opportunities. In Proceedings of the IEEE Power Engineering Society Transmission and Distribution Conference, Columbus, OH, USA, 28 January 2001–1 February 2001; Volume 2, pp. 448–454. [Google Scholar] [CrossRef]
- Bishop, D.J.; Gammel, P.L.; Huse, D.A.; Murray, C.A. Magnetic Flux-Line Lattices and Vortices in the Copper Oxide Superconductors. Science 1992, 255, 165–172. [Google Scholar] [CrossRef]
- Larbalestier, D. Superconductor Flux Pinning and Grain Boundary Control. Science 1996, 274, 736–737. [Google Scholar] [CrossRef]
- Haugan, T.; Barnes, P.N.; Wheeler, R.; Meisenkothen, F.; Sumption, M. Addition of nanoparticle dispersions to enhance flux pinning of the YBa2Cu3O7-x superconductor. Nature 2004, 430, 867–870. [Google Scholar] [CrossRef]
- Çakır, B.; Aydıner, A.; Basoglu, M.; Yanmaz, E.; Aydiner, A. The Effect of Y2O3 on AC Susceptibility Measurements of MPMG YBCO Superconductor. J. Supercond. Nov. Magn. 2013, 26, 937–941. [Google Scholar] [CrossRef]
- Almessiere, M.A.; Slimani, Y.; Hannachi, E.; Algarni, R.; Ben Azzouz, F. Impact of Dy2O3 nanoparticles additions on the properties of porous YBCO ceramics. J. Mater. Sci. Mater. Electron. 2019, 30, 17572–17582. [Google Scholar] [CrossRef]
- Slimani, Y.; Almessiere, M.; Hannachi, E.; Mumtaz, M.; Manikandan, A.; Baykal, A.; Ben Azzouz, F. Improvement of flux pinning ability by tungsten oxide nanoparticles added in YBa2Cu3Oy superconductor. Ceram. Int. 2019, 45, 6828–6835. [Google Scholar] [CrossRef]
- Dadras, S.; Falahati, S.; Dehghani, S. Effects of graphene oxide doping on the structural and superconducting properties of YBa2Cu3O7−δ. Phys. C Supercond. Its Appl. 2018, 548, 65–67. [Google Scholar] [CrossRef]
- Mellekh, A.; Zouaoui, M.; Ben Azzouz, F.; Annabi, M.; Ben Salem, M. Nano-Al2O3 particle addition effects on Y Ba2Cu3Oy superconducting properties. Solid State Commun. 2006, 140, 318–323. [Google Scholar] [CrossRef]
- Zhang, Y.; Zhou, S.; Wang, X.; Dou, S.X. Effect of addition of nanoparticle TiO2/SiO2 on the superconducting properties of MgB2. Phys. C Supercond. Its Appl. 2008, 468, 1383–1386. [Google Scholar] [CrossRef]
- Prokhorov, V.G.; Svetchnikov, V.L.; Park, J.S.; Kim, G.H.; Lee, Y.P.; Kang, J.-H.; Khokhlov, V.A.; Mikheenko, P. Flux pinning and the paramagnetic Meissner effect in MgB2 with TiO2 inclusions. Supercond. Sci. Technol. 2009, 22, 045027. [Google Scholar] [CrossRef]
- Kishan, H.; Awana, V.; de Oliveira, T.; Alam, S.; Saito, M.; de Lima, O. Superconductivity of nano-TiO2-added MgB2. Phys. C Supercond. Its Appl. 2007, 458, 1–5. [Google Scholar] [CrossRef]
- Pham, A.T.; Tran, D.T.; Vu, L.H.; Chu, N.T.; Thien, N.D.; Nam, N.H.; Binh, N.T.; Tai, L.T.; Hong, N.T.; Long, N.T.; et al. Effects of TiO2 nanoparticle addition on the flux pinning properties of the Bi1.6Pb0.4Sr2Ca2Cu3O10+δ ceramics. Ceram. Int. 2022, 48, 20996–21004. [Google Scholar] [CrossRef]
- Hamid, N.A.; Abd-Shukor, R. Effects of TiO2 addition on the superconducting properties of Bi-Sr-Ca-Cu-O system. J. Mater. Sci. 2000, 35, 2325–2329. [Google Scholar] [CrossRef]
- Ghahramani, S.; Shams, G.; Soltani, Z. Comparative Investigation of the Effect of Titanium Oxide Nanoparticles on Some Superconducting Parameters of Y3Ba5Cu8O18±δ and Y1Ba2Cu3O7−δ Composites. J. Electron. Mater. 2021, 50, 4727–4740. [Google Scholar] [CrossRef]
- Rejith, P.; Vidya, S.; Thomas, J. Improvement of Critical Current Density in YBa2Cu3O7-δ Superconductor with Nano TiO2 Addition. Mater. Today Proc. 2015, 2, 997–1001. [Google Scholar] [CrossRef]
- Hannachi, E.; Slimani, Y.; Ben Azzouz, F.; Ekicibil, A. Higher intra-granular and inter-granular performances of YBCO superconductor with TiO2 nano-sized particles addition. Ceram. Int. 2018, 44, 18836–18843. [Google Scholar] [CrossRef]
- Kebbede, A.; Parai, J.; Carim, A.H. Sol-gel coating of YBa2Cu3O7−x with TiO2 for enhanced anisotropic grain growth. Energy 1993, 51, 2845–2851. [Google Scholar]
- Yusuf, N.N.M.; Kechik, M.M.A.; Baqiah, H.; Kien, C.S.; Pah, L.K.; Shaari, A.H.; Jusoh, W.N.W.W.; Sukor, S.I.A.; Dihom, M.M.; Talib, Z.A.; et al. Structural and Superconducting Properties of Thermal Treatment-Synthesised Bulk YBa2Cu3O7−δ Superconductor: Effect of Addition of SnO2 Nanoparticles. Materials 2019, 12, 92. [Google Scholar] [CrossRef]
- Dihom, M.M.; Shaari, A.H.; Baqiah, H.; Al-Hada, N.M.; Kien, C.S.; Azis, R.S.; Kechik, M.M.A.; Talib, Z.A.; Abd-Shukor, R. Microstructure and superconducting properties of Ca substituted Y(Ba1−Ca)2Cu3O7−δ ceramics prepared by thermal treatment method. Results Phys. 2017, 7, 407–412. [Google Scholar] [CrossRef]
- Dihom, M.M.; Shaari, A.H.; Baqiah, H.; Al-Hada, N.M.; Talib, Z.A.; Kien, C.S.; Azis, R.S.; Kechik, M.M.A.; Pah, L.K.; Abd-Shukor, R. Structural and superconducting properties of Y(Ba1-K)2Cu3O7-δ ceramics. Ceram. Int. 2017, 43, 11339–11344. [Google Scholar] [CrossRef]
- Kamarudin, A.N.; Kechik, M.M.A.; Abdullah, S.N.; Baqiah, H.; Chen, S.K.; Karim, M.K.A.; Ramli, A.; Lim, K.P.; Shaari, A.H.; Miryala, M.; et al. Effect of Graphene Nanoparticles Addition on Superconductivity of YBa2Cu3O7~δ Synthesized via the Thermal Treatment Method. Coatings 2022, 12, 91. [Google Scholar] [CrossRef]
- Dihom, M.M.; Shaari, A.H.; Baqiah, H.; Al-Hada, N.M.; Chen, S.K.; Azis, R.S.; Kechik, M.M.A.; Abd-Shukor, R. Effects of Calcination Temperature on Microstructure and Superconducting Properties of Y123 Ceramic Prepared Using Thermal Treatment Method. Solid State Phenom. 2017, 268, 325–329. [Google Scholar] [CrossRef]
- Slimani, Y.; Hannachi, E.; Ekicibil, A.; Almessiere, M.; Ben Azzouz, F. Investigation of the impact of nano-sized wires and particles TiO2 on Y-123 superconductor performance. J. Alloys Compd. 2019, 781, 664–673. [Google Scholar] [CrossRef]
- Chamekh, S.; Bouabellou, A. The Effects of Magnetic Dopant on the Structural and Electrical Properties in Superconducting YBaCu3O7-δ Ceramic. Adv. Chem. Eng. Sci. 2018, 8, 1–10. [Google Scholar] [CrossRef]
- Cava, R.J.; Batlogg, B.; Chen, C.H.; Rietman, E.A.; Zahurak, S.M. Oxygen stoichiometry, superconductivity and normal-state properties of YBa2 Cu3O7-o R. Nature 1987, 329, 9–11. [Google Scholar] [CrossRef]
- Benzi, P.; Bottizzo, E.; Rizzi, N. Oxygen determination from cell dimensions in YBCO superconductors. J. Cryst. Growth 2004, 269, 625–629. [Google Scholar] [CrossRef]
- Maaz, K.; Karim, S.; Mumtaz, A.; Hasanain, S.; Liu, J.; Duan, J. Synthesis and magnetic characterization of nickel ferrite nanoparticles prepared by co-precipitation route. J. Magn. Magn. Mater. 2009, 321, 1838–1842. [Google Scholar] [CrossRef]
- Hsiao, Y.-J.; Chang, Y.-H.; Chang, Y.-S.; Fang, T.-H.; Chai, Y.-L.; Chen, G.-J.; Huang, T.-W. Growth and characterization of NaNbO3 synthesized using reaction-sintering method. Mater. Sci. Eng. B Solid. State Mater. Adv. Technol. 2007, 136, 129–133. [Google Scholar] [CrossRef]
- Awano, M.; Fujishiro, Y.; Moon, J.; Takagi, H.; Rybchenko, S.; Bredikhin, S. Microstructure control of an oxide superconductor on interaction of pinning centers and growing crystal surface. Phys. C Supercond. Its Appl. 2000, 341–348, 2017–2018. [Google Scholar] [CrossRef]
- Uysal, E.; Ozturk, A.; Kutuk, S.; Çelebi, S. Effects of Lu Doping on the Magnetic Behavior of YBCO Superconductors Prepared by MPMG Method. J. Supercond. Nov. Magn. 2014, 27, 1997–2003. [Google Scholar] [CrossRef]
- Vanderbemden, P.; Cloots, R.; Ausloos, M.; Doyle, R.; Bradley, A.; Lo, W.; Cardwell, D.; Campbell, A. Intragranular and intergranular superconducting properties of bulk melt-textured YBCO. IEEE Trans. Appl. Supercond. 1999, 9, 2308–2311. [Google Scholar] [CrossRef]
- Arlina, A.; Halim, S.; Kechik, M.A.; Chen, S. Superconductivity in Bi–Pb–Sr–Ca–Cu–O ceramics with YBCO as additive. J. Alloys Compd. 2015, 645, 269–273. [Google Scholar] [CrossRef]
- Bean, C.P. Magnetization of High-Field Superconductors. Rev. Mod. Phys. 1964, 267, 31–39. [Google Scholar] [CrossRef]
- Clem, J.R. Granular and superconducting-glass properties of the high-temperature superconductors. Phys. C Supercond. Its Appl. 1988, 153–155, 50–55. [Google Scholar] [CrossRef]
- Ambegaokar, V.; Baratoff, A. Tunneling Between Superconductors. Phys. Rev. Lett. 1963, 11, 104. [Google Scholar] [CrossRef]
- Brecht, E.; Schmahl, W.; Miehe, G.; Rodewald, M.; Fuess, H.; Andersen, N.; Hanβmann, J.; Wolf, T. Thermal treatment of YBa2Cu3−xAlxO6+δ single crystals in different atmospheres and neutron-diffraction study of excess oxygen pinned by the Al substituents. Phys. C Supercond. Its Appl. 1996, 265, 53–66. [Google Scholar] [CrossRef]
- Presland, M.; Tallon, J.; Buckley, R.; Liu, R.; Flower, N. General trends in oxygen stoichiometry effects on Tc in Bi and Tl superconductors. Phys. C Supercond. Its Appl. 1991, 176, 95–105. [Google Scholar] [CrossRef]
- Bernhard, C.; Shaked, H. Generic superconducting phase behavior in high- Tc cuprates: Tc variation with hole concentration in YBa2Cu3O7-δ. Phys. Rev. B 1995, 51, 911–914. [Google Scholar]
- Panagopoulos, C.; Xiang, T. Relationship between the Superconducting Energy Gap and the Critical Temperature in High-Tc Superconductors. Phys. Rev. Lett. 1998, 81, 2336–2339. [Google Scholar] [CrossRef]






| TiO2 (x = wt.%) | a (Å) | b (Å) | c (Å) | Orthorhombicity (10−3) | Crystallite Size (nm) | Oxygen Content |
|---|---|---|---|---|---|---|
| 0.0 | 3.827 | 3.885 | 11.672 | 7.520 | 180 | 6.89 |
| 0.2 | 3.828 | 3.889 | 11.695 | 7.904 | 72.7 | 6.76 |
| 0.4 | 3.826 | 3.889 | 11.683 | 8.163 | 91.0 | 6.83 |
| 0.6 | 3.824 | 3.888 | 11.690 | 8.298 | 81.2 | 6.79 |
| 0.8 | 3.829 | 3.890 | 11.691 | 7.902 | 78.1 | 6.78 |
| 1.0 | 3.825 | 3.889 | 11.695 | 8.295 | 70.2 | 6.76 |
| TiO2 Addition | Atomic % | |||||
|---|---|---|---|---|---|---|
| wt.% | Y | Ba | Cu | O | Ti | Total |
| 0.0 | 7.76 | 14.78 | 23.96 | 53.51 | 0.0 | 100% |
| 0.2 | 7.39 | 12.66 | 25.16 | 54.80 | 0.0 | 100% |
| 0.4 | 8.10 | 17.49 | 26.67 | 47.74 | 0.0 | 100% |
| 0.6 | 6.43 | 14.24 | 22.30 | 49.20 | 7.82 | 100% |
| 0.8 | 8.18 | 17.32 | 24.40 | 50.10 | 0.0 | 100% |
| 1.0 | 3.12 | 37.51 | 12.45 | 30.68 | 16.25 | 100% |
| TiO2 Addition (x = wt.%) | Tc-onset (K) | Tcj (K) | Tp (K) | Jc(Tpm) (A/cm2) | I0 (μA) | Ej × 10−21 J | |
|---|---|---|---|---|---|---|---|
| Tpg | Tpm | ||||||
| 0.0 | 95.4 | 80.1 | - | 83.7 | 21.8 | 9.78 | 3.12 |
| 0.2 | 93.3 | 91.4 | 91.7 | 78.6 | 19.1 | 71.92 | 23.01 |
| 0.4 | 92.8 | 91.3 | 91.7 | 78.5 | 20.8 | 90.13 | 28.84 |
| 0.6 | 93 | 91.3 | 91.8 | 89 | 21.4 | 79.87 | 25.55 |
| 0.8 | 92.6 | 90.3 | 90.4 | 76 | 21.1 | 58.53 | 18.72 |
| 1.0 | 93.2 | 91.5 | 91.9 | 81.1 | 21.5 | 80.21 | 25.66 |
| TiO2 Addition | Tc-onset (K) | Tc-offset (K) | ∆Tc (K) | ρ0 (Ω.cm) | Hole Concentration, p |
|---|---|---|---|---|---|
| 0.0 | 95.6 | 91.7 | 3.9 | 0.61 | 0.160 |
| 0.2 | 93.1 | 84.6 | 8.5 | 0.45 | 0.142 |
| 0.4 | 92.6 | 89.1 | 3.5 | 0.41 | 0.140 |
| 0.6 | 92.5 | 89 | 3.5 | 0.44 | 0.140 |
| 0.8 | 91.2 | 87.2 | 4 | 0.37 | 0.138 |
| 1.0 | 94.7 | 91.7 | 3 | 0.30 | 0.149 |
Disclaimer/Publisher’s Note: The statements, opinions and data contained in all publications are solely those of the individual author(s) and contributor(s) and not of MDPI and/or the editor(s). MDPI and/or the editor(s) disclaim responsibility for any injury to people or property resulting from any ideas, methods, instructions or products referred to in the content. |
© 2023 by the authors. Licensee MDPI, Basel, Switzerland. This article is an open access article distributed under the terms and conditions of the Creative Commons Attribution (CC BY) license (https://creativecommons.org/licenses/by/4.0/).
Share and Cite
Barood, F.; Kechik, M.M.A.; Tee, T.S.; Kien, C.S.; Pah, L.K.; Hong, K.J.; Shaari, A.H.; Baqiah, H.; Karim, M.K.A.; Shabdin, M.K.; et al. Orthorhombic YBa2Cu3O7−δ Superconductor with TiO2 Nanoparticle Addition: Crystal Structure, Electric Resistivity, and AC Susceptibility. Coatings 2023, 13, 1093. https://doi.org/10.3390/coatings13061093
Barood F, Kechik MMA, Tee TS, Kien CS, Pah LK, Hong KJ, Shaari AH, Baqiah H, Karim MKA, Shabdin MK, et al. Orthorhombic YBa2Cu3O7−δ Superconductor with TiO2 Nanoparticle Addition: Crystal Structure, Electric Resistivity, and AC Susceptibility. Coatings. 2023; 13(6):1093. https://doi.org/10.3390/coatings13061093
Chicago/Turabian StyleBarood, Fatma, Mohd Mustafa Awang Kechik, Tan Sin Tee, Chen Soo Kien, Lim Kean Pah, Kai Jeat Hong, Abdul Halim Shaari, Hussein Baqiah, Muhammad Khalis Abdul Karim, Muhammad Kashfi Shabdin, and et al. 2023. "Orthorhombic YBa2Cu3O7−δ Superconductor with TiO2 Nanoparticle Addition: Crystal Structure, Electric Resistivity, and AC Susceptibility" Coatings 13, no. 6: 1093. https://doi.org/10.3390/coatings13061093
APA StyleBarood, F., Kechik, M. M. A., Tee, T. S., Kien, C. S., Pah, L. K., Hong, K. J., Shaari, A. H., Baqiah, H., Karim, M. K. A., Shabdin, M. K., Mohd Shariff, K. K., Hashim, A., Suhaimi, N. E., & Miryala, M. (2023). Orthorhombic YBa2Cu3O7−δ Superconductor with TiO2 Nanoparticle Addition: Crystal Structure, Electric Resistivity, and AC Susceptibility. Coatings, 13(6), 1093. https://doi.org/10.3390/coatings13061093

