Abstract
Glazes of (70 − x) ZnO-30 B2O3-x Bi2O3 with different Bi2O3 contents were prepared by the conventional melt quench technique. Differential scanning calorimetry (DSC) curves were obtained to determine the glass transition temperature (Tg) and crystallization temperature (Tc) of the glazes. The activation energy of the glass transition (Eg) and crystallization (Ec) were calculated using the Moynihan and Kissinger models, respectively. The glass transition temperature (Tg) decreased linearly with increasing Bi2O3 content. This is because the larger Bi3+ ions reduced network connectivity and opened up the structure. The Tg increased gradually with increasing heating rate (β). This is because the higher heating rate provided more energy for the glass to transition to the liquid state. The activation energy of the glass transition (Eg) decreased with increasing Bi2O3 content. This indicates that the glass-forming ability of the system increased with increasing Bi2O3 content. The energy corresponding to the amorphous-to-crystalline transformation during nucleation and crystal growth (Ec) increased with increasing Bi content to about 30%, and then decreased above 40%. This suggests that higher Ec values have an advantage in preventing crystallization in the crystallization danger region. It can be seen that the addition of Bi2O3 in (70 − x) ZnO-30 B2O3-x Bi2O3 glazes affects the density and distribution of oxygen atoms in the glass structure. It can also be seen that the increased Bi content promotes the formation of Bi-O-Bi bonds, which act as network modifiers to reduce the number of non-cross-linked oxygen atoms and increase network connectivity.
1. Introduction
Cloisonné is a craft technique in which a glassy cloisonné glaze is applied to a metal base material such as gold, silver, or copper and fired to decorate the surface of the base material. It is a colorful art that goes beyond the limits of the colors of ordinary metals and gemstones, allowing for various painterly expressions using a variety of colors and techniques. The cloisonné that emerges from the high-temperature process is not only corrosion-resistant and water-resistant to the base material, but the surface decoration is also semipermanent. Cloisonné has a long and rich history, with evidence of its use dating back to ancient Egypt. It was also widely used in Korea, China, Japan, and other parts of Asia, where it became a highly developed and prized art form. Today, cloisonné is still produced in many parts of the world, with artisans using a variety of techniques and materials to create beautiful and unique objects. Over time, it evolved into an art form and a basis for industrial products, influenced by the characteristics of art, religion, and social culture. Traditionally, these glazes contain lead, which helps create a bright, vibrant finish [1,2,3]. The lead oxide (PbO) glass system is widely used for commercial purposes due to its high structural stability, low glass transfer temperature, and excellent heat and electrical properties [4,5,6]. It is also widely applied in glass ceramics, electronic devices, and thermal and mechanical sensors [7,8] because it efficiently lowers the melting point, improves wettability with oxides, and has high reflectance due to its high refractive index [9,10]. However, although PbO is generally stable alone or in a glass, chemical reactions that occur in the presence of acid or alkaline wastewater during the disposal of PbO-containing glass can result in soil and water pollution. PbO adsorbed on microdust can affect the function of human organs and lead to anemia, limb paralysis, and blindness [11,12]. Many countries have regulations restricting or banning the use of lead in consumer products, including cloisonné. Therefore, manufacturers need to find alternative lead-free glazes to comply with these regulations and avoid legal penalties. As one example, lead vapor produced when historical glass products melted during a recent fire at Notre Dame Cathedral (Paris, France) led to the closure of nearby places [13]. Another issue related to the use of PbO in cloisonné is the number of bubbles present in sintered films. Because the amount of PbO is large, viscous flow is high, and many bubbles are generated during sintering, this can shorten product life. Reducing the amount of PbO causes the frit powder color to shift from orange to gray (after firing). Although rapid quenching technology can be used to improve the quality of glass, reducing the amount of lead oxide required to obtain clear glass is still a difficult problem. Alternative fluxing agents such as boron oxide can be used to reduce the amount of lead oxide, but with limitations.
Oxides known to be alternative materials to PbO include V2O5, SnO2, and Bi2O3 [14,15,16], of which Bi3+ has similar properties to Pb2+, including atomic weight, ionic radius, and electronic composition. Bismuth oxide has a lower melting point than PbO, which makes it easier to melt and process in glass production. Bismuth oxide is also more stable in acid or alkaline environments, which makes it a more suitable material for long-term use. Bismuth oxide has been successfully used as a substitute for PbO in the production of various types of glasses, including borosilicate, soda lime, and aluminosilicate glasses. In the case of borosilicate glasses, bismuth oxide can be used to replace up to 60% of the PbO content without affecting the properties of the glass [17]. Bismuth-based glazes can produce various colors, making them an attractive alternative to lead-based glazes for pottery and other ceramic items. Therefore, bismuth oxide is a promising alternative to PbO in glass and ceramic production, offering similar properties and performance while avoiding the negative environmental and health impacts associated with lead. Also, the use of bismuth oxide in glass production can reduce the environmental impact and potential health risks associated with lead exposure. Its high refractive index allows it to be used in applications that require high-refractive-index glass, such as optical fibers and lenses. It can improve the clarity of glass by reducing the scattering and absorption of light, resulting in clearer, more transparent glass. It can also improve the thermal shock resistance of glass, which can be an advantage in reducing the likelihood of glass breakage or deformation when exposed to rapid temperature changes. In the cationic field strength theory of glass structure, because the field strength of Bi2O3 is weak, it belongs to the nature of glass as an intermediate agent and cannot form glass alone. The addition of Bi2O3 to ZnO, B2O3, and other materials can make the glass network more stable and help promote the formation of the glass structure. Previous researchers [17,18,19,20] have noted that Bi2O3 can be represented by [BiO3] or [BiO6] structural units in glass structures, which can take the form of [BiO3] triangles or [BiO6] octahedra. They also stated that the role of Bi2O3 in glass formation may depend on the proportion of Bi2O3 in the total glass composition, as it can act as a glass modifier or a glass former. In a similar study of a three-component ZnO-Bi2O3-B2O3 system, the lowest Tg values were observed for the highest Bi2O3 concentration [21]. To avoid crystallization in such low-temperature glass systems, the recommended B2O3 content range is reported to be ~30 mol % [22]. These findings suggest that the presence of Bi2O3 can significantly affect the structure and properties of glasses and highlight the importance of studying its behavior in glass systems. The crystallization behavior of Bi2O3-30 B2O3-20 ZnO glasses for brazing [23], the effect of Bi2O3 content on glass transition temperature and glass structure [24], the formation of nanocrystals by heat treatment in Bi2O3-B2O3-ZnO systems [25], and the synthesis of lead-free low-melting glasses due to the weak bonding of Bi2O3 [26,27] or their combinations [28] as electrons in the glass network have been reported. The thermal properties of (70 − x) ZnO-30 B2O3-xBi2O3 (x = 10, 15, 20, 40, 50, 60) were investigated by differential scanning calorimetry (DSC, LABSYS evo, Setaram Instruments, Mougins, France) analysis, depending on the composition, to determine the best glass stability in BiO2-based lead-free cloisonne glaze systems. The DSC results were applied to a theoretical model (Kissinger model) to calculate the phase transition activation energy for glass stability. The thermal stability of transparent glazes was emphasized. Cloisonné is produced by applying a glaze to the surface of a metal base material, heat treatment to melt the glaze, adhering it to the metal surface, and rapid cooling at a high temperature. At this time, the composition of the glaze is important for the coating to adhere well to the metal substrate without cracking due to temperature changes, and for this purpose, thermal analysis was used to check the thermal behavior of the glaze according to the Bi content. Overall, this study provides insight into the effects of Bi2O3 content on the properties of (70 − x) ZnO-30 B2O3-x Bi2O3 glazes and highlights the importance of understanding the relationships between composition, structure, and properties in glass science.
2. Experimental Section
The ternary phase equilibrium diagram of ZnO-B2O3-Bi2O3 glazes system (Figure 1) illustrates the compositions of the different glazes specimens prepared for testing. The compositional boundary takes into account previously reported data [29] Herein, 30 mol % of B2O3, a glass former, was fixed within the glass formation range, while the molar percentages of ZnO and Bi2O3 were changed. Glazes having the nominal molar composition, i.e., (70 − x) ZnO-30 B2O3-x Bi2O3 with x = 10–60 mol %, were prepared using the conventional melt-quenching technique. The raw materials were prepared from high-purity Bi2O3 (99%; Alfa Aesar Chemical, Ward Hill, MA, USA), B2O3 (99%; Sigma-Aldrich, St. Louis, MO, USA), and ZnO (99%; Junsei Chemical Co., Ltd., Tokyo, Japan). The raw materials for each composition were batch-wise mixed for 1 h, placed in a Pt crucible, and melted at 1100 °C for 60 min in an oxygen atmosphere. A Pt crucible was used because the molten glass could have broken the alumina crucible. The melting temperature was defined as that at which the viscosity of the glass melt reached 1 cP. Glass frit was prepared by quenching the molten glass, placed in a zirconia jar together with zirconia balls and pulverized using a planetary ball mill (Pulverisette7; Fritsch, Idar-Oberstein, Germany). Transparent glazes can be affected not only by the color of the glaze itself but also by the underlying metal substrate. In order to measure the reflectance of the synthesized glaze, a standard specimen was prepared by coating around 600 um thickness onto a copper substrate. Four pulsed xenon lamps of a spectrophotometer (CM-3600A; KONICA MINOLTA, Tokyo, Japan) were used to produce diffuse light with a wavelength range of 360–740 nm, which was then directed at the specimen with an incident angle of 8° to measure the reflectance of the light reflected from the specimen. Pseudo-colors were obtained using SpectromagicTM NX Software (CM-S100w; KONICA MINOLTA, Tokyo, Japan).
Figure 1.
Ternary phase diagram of ZnO-B2O3-Bi2O3 system. The dotted line is the glass-forming region of the (70 − x) ZnO-30 B2O3-x Bi2O3 glass system.
The thermal properties of the samples were studied using differential scanning calorimetry (DSC; LABSYS evo; Setaram Instrumentation, Mougins, France). Thermograms were acquired under non-isothermal conditions at different heating rates (1, 3, 5, 10, 15, and 20 °C/min) for accurately weighed samples sealed in aluminum pans. Each scan was performed at room temperature to 1100 °C. X-ray diffraction (XRD; D/max-2400; Rigaku, Tokyo, Japan) using Cu Kα radiation at 1.54 Å, a scanning range of 10–80° and a scanning rate of 5°/min was used to identify the amorphous-to-crystalline phase transition of the prepared glazes. X-ray photoelectron spectroscopy (XPS) spectra (ESCALAB 250xi; ThermoFisher Scientific, Waltham, MA, USA) were acquired using monochromated, microfocused Al Kα radiation with a conical Al anode for charge control. The pressure within the analyzer chamber during the experiments was about 5 × 10–6 Pa. Fourier-transform infrared (FTIR) spectroscopy (INVENIO-R; Bruker Optic GmbH Perkin Elmer, Billerica, MA, USA) was used for analysis, and it was carried out at room temperature. The glass powder to be measured was placed in an alumina grind with a concentration of 1 wt% of optical grade KBr powder. It was then mixed and ground evenly in the bowl. About 500 mg of the mixed powder was taken, pressed into a translucent round sheet, and then tested.
3. Results and Discussion
As can be seen in Figure 2a, the color of the glaze becomes more yellowish as the elemental content of Bi2O3 increases. This is due to the color of the Bi2O3 reagent itself. Therefore, above a certain content, yellowing occurs, and trace amounts of colorant are added to prevent yellowing, but in the case of cloisonné glazes on copper substrates, it is not a big problem, considering the reflectivity caused by the background color of copper in transparent glazes. Standard specimens were created by coating the synthesized glaze at 600 um thickness onto a copper substrate, and the reflectivity was measured. As illustrated in the bottom image of Figure 2b, a glossy, transparent sample was produced on the copper substrate. As shown in the reflectance data, it can be seen that the reflectance increases in the long wavelength region above 600 nm, showing a mixed color of yellow and red, which can be attributed to the reflectance color of the copper substrate with the transparent glaze.
Figure 2.
(a) Powder synthesized from the (70 − x) ZnO-30 B2O3-x Bi2O3 glazes and (b) the reflectance spectra of the (70 − x) ZnO-30 B2O3-x Bi2O3 glazes. The left inset in (b) shows the pseudo-color obtained from the reflectance data. The right inset in (b) shows a copper substrate with and without a 30 ZnO-30 B2O3-40 Bi2O3 coating.
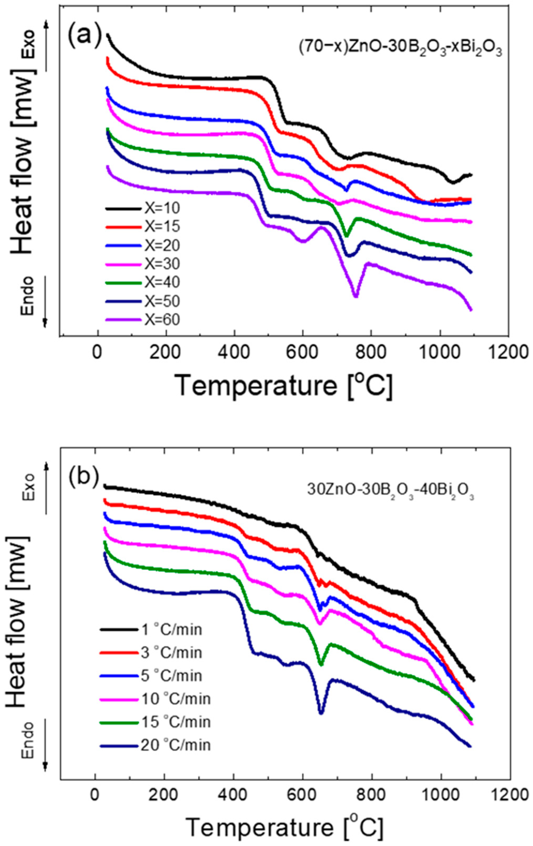
Figure 3a presents the differential scanning calorimetry (DSC) curves of the various (70 − x) ZnO-30 B2O3-x Bi2O3 glazes (x = 10, 15, 20, 30, 40, 50, and 60) obtained at a heating rate of 15 °C/min. The DSC measurements were used to determine the glass transition temperature (Tg) and crystallization temperature (Tc) of the glazes. The results show a clear linear trend of decreasing Tg with increasing Bi2O3 content. To investigate the thermal behavior of the 30 ZnO-30 B2O3-40 Bi2O3 glass in more detail, DSC curves were acquired at various heating rates, and the results are presented in Figure 3b. The Tg and Tc values of this glass were well defined and consistent with those obtained from the other glazes in the series, confirming that the glass was of high quality. To further understand the effects of chemical composition on the thermal properties of the glazes, the corresponding properties of ZnO and Bi2O3 were determined by thermal analysis and presented in Figure 3. These results show that the Tg and Tc values of Bi2O3 are lower than those of ZnO, which is consistent with the observed trend of decreasing Tg with increasing Bi2O3 content in the glazes. Overall, the results demonstrate that the thermal properties of the glazes are strongly influenced by their chemical composition and structure. The observed linear trend of decreasing Tg with increasing Bi2O3 content is attributed to the effects of Bi3+ ions on the network connectivity and the transformation of NBO atoms into BO4 tetrahedra, leading to a more 3D network structure.
Figure 3.
(a) DSC thermograms for (70 − x) ZnO-30 B2O3-x Bi2O3 glazes compositions (x = 10, 15, 20, 30, 40, 50, and 60) under non-isothermal conditions at a heating rate of 15 °C/min, and (b) DSC thermograms of 30 ZnO-30 B2O3-40 Bi2O3 glazes at heating rates of 1, 3, 5, 10, 15, and 20 °C/min.
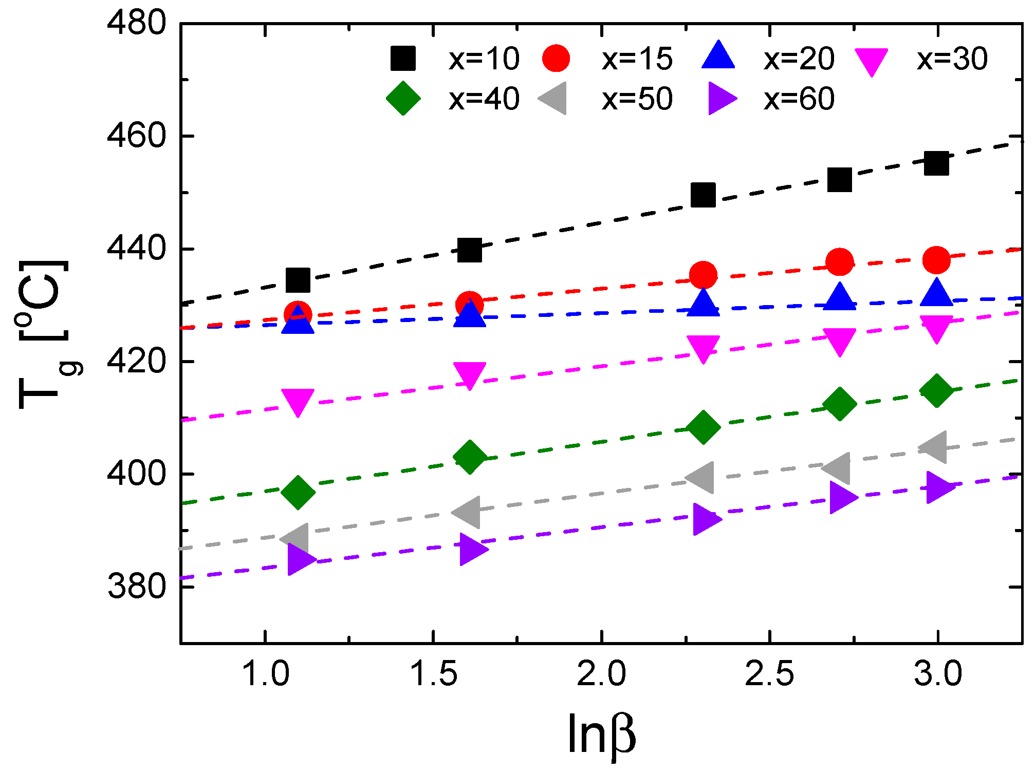
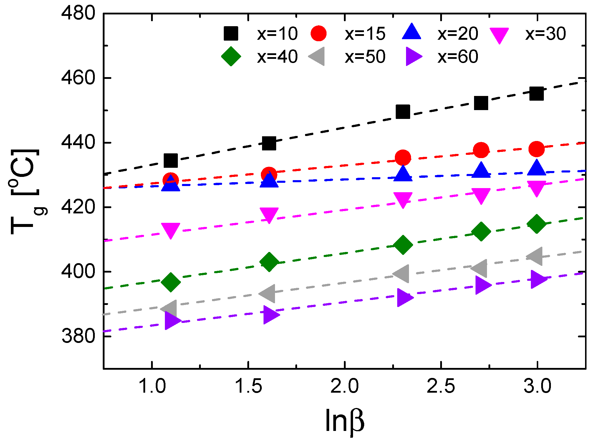
The glass transition temperature (Tg), endothermic peak temperature of the glass transition (Tp), crystallization temperature (Tc), and temperature interval between the crystallization peak and glass transition (Tc-Tg) were determined from the differential scanning calorimetry (DSC) thermograms of the (70 − x) ZnO-30 B2O3-x Bi2O3 glass. As shown in Figure 4, the Tg increased gradually with increasing heating rate (β). The Tg can be estimated as a function of temperature using the Moynihan et al. equation [30]:
where A is the Tg at a heating rate of 1 °C/min and B is the slope of a linear plot of Tg as a function of lnβ (Figure 4). Linear relationships were confirmed for the (70 − x) ZnO-30 B2O3-x Bi2O3 glazes with x values of 10, 15, 20, 30, 40, 50, and 60. The Tg is a defining feature of the glass transition region, which is comprised of various metastable states separated by energy barriers. Atoms in a metastable state tend to overcome these energy barriers to reach a more stable state [31]. The activation energy of the glass transition (Eg) is the energy barrier, and a lower Eg indicates a higher probability of transitioning to a metastable state because the lowest energy state corresponds to the most stable state [32].
Tg = A + B ln β
Figure 4.
Plot of Tg versus lnβ in relation to the Moynihan equation of different (70 − x) ZnO-30 B2O3-x Bi2O3 glazes with x = 10, 15, 20, 30, 40, 50, and 60.
The Kissinger model [33] is a widely used method for determining the activation energy of crystallization and the glass transition temperature in the crystallization region. It is based on the assumption that the reaction rate is proportional to the Arrhenius rate constant, which is dependent on the activation energy and the temperature. The Eg value is calculated using Equation (2) from the slope of the ln[β/Tp2] vs. 1000/T plot.
where Tp is the endothermic peak temperature of the glass transition region and R is the universal gas constant.
ln[β/Tp2] = −Eg/RTp + constant
Plots of ln[β/Tp2] as a function 1000/T are presented in Figure 5a and the Eg values for the various glass compositions are provided in Figure 5b. The kinetics of the crystallization process under non-isothermal conditions were analyzed according to the compositional dependence of Tp and activation energy of crystallization (Ec), which is the energy corresponding to the amorphous-to-crystalline transformation during nucleation and crystal growth. The Ec values were determined under non-isothermal conditions using two different approaches. The activation energy of crystallization (Ec) is an important parameter that describes the energy required for the transformation of the amorphous phase into the crystalline phase. It is calculated using Equation (3) from the slope of the ln[β/Tp] vs. 1000/Tp plot.
ln[β/Tp2] = −ΔEc/RTp + ln[RK0/ΔE]
Figure 5.
Plots of (a) ln[β/Tg2] versus 1000/Tg and (b) the glass transition activation energy of (70 − x) ZnO-30 B2O3-x Bi2O3 glazes with x = 10, 20, 25, 35, 40, 50, and 55.
This equation relates the heating rate, the endothermic peak temperature Tp, the universal gas constant R, the activation energy of nucleation ΔE, and the pre-exponential factor RK0. Plots of ln[β/Tp] as a function of 1000/Tp are presented in Figure 6a for the various glass compositions. The values of Ec were calculated from the slopes of the linear plots and are presented in Figure 6b. The Eg value is closely related to the glass-forming ability of a material. A lower Eg value indicates a higher glass-forming ability because the material is more likely to form a stable glass state with a lower configurational energy [34]. The x = 30 composition has a better glass-forming ability than the other compositions tested, which can be attributed to its lower Eg value. Tc and Ec are important indicators of the thermal stability of the amorphous phase and its resistance to crystallization. The Ec value increases with increasing Bi content to about 30 mol %, which indicates an increase in the energy required for nucleation and crystal growth. However, Ec decreases more than 40 mol %, which may be due to the formation of Bi-rich clusters that promote the nucleation and growth of crystals. A higher Ec value is advantageous for inhibiting nucleation and crystal growth in the crystallization “danger region” between Tg and Tc, where the probability of crystallization is high. At the same time, a higher Ec value promotes a higher rate of crystallization due to the smaller temperature range between Tg and Tc. A higher E value has the advantage of anti-crystallization in the crystallization “danger region,” i.e., the region between Tg and Tc. As Tc is approached, nucleation occurs randomly in the sample, and crystal growth starts once the nuclei reach critical size [35]. A higher Ec value kinetically impedes the process of nucleation and crystal growth in the crystallization danger region. At the same time, the rate of crystallization is higher because of the smaller temperature range, in turn due to the nucleation and growth steps.
Figure 6.
Plots of (a) ln [β/Tp2] versus 1000/Tp corresponding to the Kissinger model and (b) the crystallization activation energy of (70 − x) ZnO-30 B2O3-x Bi2O3 glazes with x = 10, 15, 20, 30, 40, 50, and 60.
X-ray diffraction (XRD) is a widely used technique for the characterization of amorphous and crystalline materials. XRD was employed to investigate the amorphous nature of the (70 − x) ZnO-30 B2O3-x Bi2O3 glazes with different compositions. The XRD pattern of a crystalline material typically exhibits sharp peaks corresponding to the different crystallographic planes, while an amorphous material has a broad halo peak without any distinct peaks. In Figure 7, the XRD patterns of all seven glass compositions are shown. The diffraction patterns showed no sharp peaks, indicating that all samples were completely amorphous. These results are consistent with previous reports that the addition of Bi2O3 can improve the glass-forming ability of ZnO-B2O3 glazes systems, which is due to the introduction of network-forming Bi3+ ions that increase the cross-linking density of the glass network and promote the formation of a stable amorphous state [36].
Figure 7.
X-ray diffraction patterns of (70 − x) ZnO-30 B2O3-x Bi2O3 glazes (x = 10, 15, 20, 30, 40, 50, and 60).
The X-ray photoelectron spectroscopy (XPS) spectra presented in Figure 8 provide information on the chemical bonding and electronic structure of the (70 − x) ZnO-30 B2O3-x Bi2O3 glazes with different Bi2O3 content. XPS is a surface-sensitive technique that can detect the elemental composition, oxidation state, and bonding environment of the top few nanometers of the sample surface. The Bi4f spectrum (Figure 8a) shows two peaks at about 159 and 164 eV, which correspond to the 4f7/2 and 4f5/2 core levels, respectively.
Figure 8.
X-ray photoelectron spectra at room temperature of (a) Bi4f, (b) Zn2p, and (c) O1s, and (d) binding energy and full width at half maximum (FWHM) values of O1s for (70 − x) ZnO-30 B2O3-x Bi2O3 glazes with x = 10, 15, 20, 30, 40, 50, and 60.
As the Bi content increases, the probability of Bi atoms forming bonds with oxygen atoms and other Bi atoms increases, resulting in a lower binding energy for the Bi4f electrons because they are weaker than the bonds between Bi atoms and oxygen atoms. In other words, the formation of Bi-O-Bi increases the cross-linking of the glassy network. This indicates that the presence of Bi atoms increases the cross-linking density of the glass network, resulting in a higher density of electrons around the Bi atoms. It can be seen that the increase in Bi content is a factor that will improve the structural stability of the (70 − x) ZnO-30 B2O3-x Bi2O3 glazes network. The Zn2p spectrum (Figure 8b) shows two peaks at about 1044.7 and 1021.6 eV, which correspond to the Zn2p1/2 and Zn2p3/2 core levels, respectively. The peaks have almost the same energy for the glazes with x = 20–60, indicating a similar bonding environment for Zn atoms. However, the peaks shift slightly to higher binding energy for the glazes with x = 10 and 15, which may be due to the presence of ZnO clusters or a higher concentration of Zn vacancies. The O1s spectrum (Figure 8c) shows a main peak at about 532 eV, which corresponds to the oxygen atoms in the glass network. The peak shape and position are affected by the bonding environment of oxygen atoms, which can be influenced by the glass composition and structure. As Bi2O3 increases, the density of new non-cross-linked oxygen in the glass structure increases. These oxygen atoms are bound to one or two cations and have a relatively high electron density. On the other hand, the cross-linking oxygen atoms bound to three or more cations have a relatively low electron density. The photoelectrons generated from the less-bound oxygen atoms are strongly repelled by the surrounding electrons, resulting in a lower binding energy. The photoelectron originating from the non-cross-linked oxygen, which has a relatively high electron density compared to the cross-linked oxygen, will receive a large repulsion from other electrons around it, and as a result, the photoelectron originating from the O1s level of the non-cross-linked oxygen will have a high kinetic energy and a low binding energy. Therefore, the increase or decrease in binding energy due to the change in Bi composition in the Bi component glass system can be attributed to a change in structure, i.e., a change in the oxygen binding environment [37]. The peak width at half-maximum (FWHM) of the O1s spectrum (Figure 8d) reflects the distribution of the oxygen binding energy in the glass. When oxygen atoms are bonded to cations with different electronegativities, the electron density around each oxygen atom is variable, leading to a broad distribution of binding energies. The increased FWHM with increasing Bi2O3 content indicates a broadening of the binding energy distribution of photoelectrons generated at the O1s level. In other words, when oxygen is bound to multiple cations with different electronegativities, the electron density around each oxygen varies slightly, and the half-width of the peak increases as the distribution of binding energies of photoelectrons, especially those occurring in the O1s level, varies. Therefore, the increase in non-cross-linked oxygen due to the addition of Bi is expected to contribute to the increase in the half-width by further varying the binding energy. This effect can be attributed to the higher density of non-cross-linking oxygen atoms, which have a more variable bonding environment than cross-linking oxygen atoms. The increased Bi content promotes the formation of Bi-O-Bi bonds, which reduces the number of non-cross-linking oxygen atoms and increases the network connectivity, leading to a narrower distribution of binding energies. The Bi2O3 acts as a network modifier, promoting the formation of Bi-O-Bi bonds and increasing the network connectivity. The oxygen bonding environment is affected by the glass composition and structure, leading to changes in the binding energy and FWHM of the O1s.
Figure 9 shows the FTIR spectrum of (70 − x) ZnO-30 B2O3-x Bi2O3 glazes. In the FTIR spectrum of Bi2O3 system glass, there are [BiO3], [BiO6], Bi–O–Bi, Bi-O-, and the triangular [BO3] unit of the borate B2O3 glass and the B–O-unit of the [BO4] tetrahedron, each exhibiting an absorption peak. The weak band at –520 cm−1 is due to the v4 vibration of [BO4] tetrahedral [38,39], and it becomes stronger as the content of Bi2O3 increases. There are also weak absorption peaks at the wavenumbers of 550 cm−1 and 610 cm−1, which are the stretching vibrations of Bi-O bonds in strongly distorted BiO6 octahedral units and Bi-O-Bi bond bending vibrations in the [BiO3] and [BiO6] units, respectively. Additionally, the absorption peak at the wavenumber of about 700 cm−1 and 760 cm−1 corresponds to the symmetric stretching vibrations of Bi-O bonds in BiO3 pyramidal units and O3B-O-BO3 bending vibrations. The absorption peak at the wavenumber of about 840 cm−1 corresponds to the symmetric stretching vibrations of Bi-O bonds in BiO3 pyramidal units and stretching vibrations of B-O bonds in BO4 units from the diborate group. The wavenumber at 1000 cm−1 corresponds to the B–O–stretching vibration of the [BO4] tetrahedral unit, and at the wavenumbers of about 1382 cm−1 and 1520 cm−1, they correspond to the B–O–asymmetric stretching vibration of [BO3] units. The absorption peak at 1640 cm−1 corresponds to the vibration of the OH radical bending mode.
Figure 9.
FTIR spectra for (70 − x) ZnO-30 B2O3-x Bi2O3 glazes compositions (x = 10, 30, and 60).
4. Conclusions
We investigated the thermal properties of various (70 − x) ZnO-30 B2O3-x Bi2O3 glazes by conducting differential scanning calorimetry (DSC) experiments. The results revealed that the thermal properties of the glazes were dependent on their chemical compositions and structures. The glass transition temperature (Tg) decreased linearly with increasing Bi2O3 content due to the introduction of larger Bi3+ ions, which reduced the connectivity of the network and opened up the structure. The Tg increased gradually with increasing heating rate, and the activation energy of the glass transition (Eg) was found to be inversely proportional to glass-forming stability. The results showed that the glazes composition of x = 30 had the best glass-forming ability. Additionally, the activation energy of crystallization (Ec) was found to be related to glass-forming ability and thermal stability. A higher Ec value kinetically impedes the process of nucleation and crystal growth in the crystallization danger region. The findings of this study contribute to the understanding of the thermal properties of (70 − x) ZnO-30 B2O3-x Bi2O3 glazes and can be useful for designing new glaze compositions with desired thermal properties. The addition of Bi2O3 affects the density and distribution of oxygen atoms in a glass structure, which in turn affect the binding energy and FWHM of the O1s. The increased Bi content promotes the formation of Bi-O-Bi bonds, which reduces the number of non-cross-linking oxygen atoms and increases network connectivity, leading to a narrower distribution of binding energies.
Author Contributions
Conceptualization, M.L. and J.Y.P.; data curation, M.L. and H.K.; formal analysis, M.L. and H.K.; funding acquisition, J.Y.P.; investigation, M.L. and J.Y.P.; resources, M.L. and H.K.; validation, M.L., H.K. and J.Y.P.; writing—original draft preparation, M.L. and J.Y.P.; writing—review and editing, J.Y.P.; visualization, M.L., H.K. and J.Y.P.; supervision, J.Y.P.; project administration, J.Y.P. All authors have read and agreed to the published version of the manuscript.
Funding
This work was supported by a grant from the National Research Foundation of Korea (NRF), funded by the South Korean government (MSIT) (NRF-2018M3C1B5051939).
Institutional Review Board Statement
Not applicable.
Informed Consent Statement
Not applicable.
Data Availability Statement
Not applicable.
Conflicts of Interest
The authors declare no conflict of interest.
References
- Thorp, R.L. The Glory of Cloisonné Enamel in Japan; Artibus Asiae Publishers: Zurich, Switzerland, 2006. [Google Scholar]
- Freestone, I.C. The Production and Trade of Chinese Cloisonné Enamel Ware. J. R. Soc. Arts 2003, 151, 295–308. [Google Scholar]
- Russo, F.; Rossi, S.; Compagnoni, A.M. Porcelain Enamel Coatings. Encyclopedia 2021, 1, 388–400. [Google Scholar] [CrossRef]
- Hwang, G.H.; Jeon, H.J.; Kim, Y.S. Physical Properties of Barrier Ribs of Plasma Display Panels: I, Formation of Pores during Sintering of Lead Borosilicate Glass Frits. J. Am. Ceram. Soc. 2002, 85, 2956–2960. [Google Scholar] [CrossRef]
- Hwang, G.H.; Kim, W.Y.; Jeon, H.J.; Kim, Y.S. Physical Properties of Barrier Ribs of Plasma Display Panels: II, Effects of Fillers. J. Am. Ceram. Soc. 2002, 85, 2961–2964. [Google Scholar] [CrossRef]
- Taibi, Y.; Poulain, M.; Legouera, M.; Mebrek, A. Investigation and Properties of Novel Low Melting Glasses in the Ternary System Sb2O3–PbO–Me2O3. Int. J. Appl. Glass Sci. 2022, 13, 254–262. [Google Scholar] [CrossRef]
- Shim, S.B.; Kim, D.S.; Hwang, S.; Kim, H. Wetting and Surface Tension of Bismate Glass Melt. Thermochim. Acta 2009, 496, 93–96. [Google Scholar] [CrossRef]
- Cheng, Y.; Xiao, H.; Guo, W.; Guo, W. Thermal Behavior of GeO2 Doped PbO-B2O3-ZnO-Bi2O3 Glasses. Mater. Sci. Eng. A 2006, 423, 184–188. [Google Scholar] [CrossRef]
- Zakaly, H.M.; Issa, S.A.; Tekin, H.O.; Badawi, A.; Saudi, H.A.; Henaish, A.M.A.; Rammah, Y.S. An Experimental Evaluation of CdO/PbO-B2O3 Glasses Containing Neodymium Oxide: Structure, Electrical Conductivity, and Gamma-Ray Resistance. Mater. Res. Bull. 2022, 151, 111828. [Google Scholar] [CrossRef]
- Palomar, T.; Mosa, J.; Aparicio, M. Hydrolytic Resistance of K2O-PbO-SiO2 Glasses in Aqueous and High-Humidity Environments. J. Am. Ceram. Soc. 2020, 103, 5248–5258. [Google Scholar] [CrossRef]
- Prasad, R.N.A.; Siva, B.V.; Neeraja, K.; Mohan, N.K.; Rojas, J.I. Influence of Modifier Oxides on Spectroscopic Features of Nd2O3-Doped PbO-Ro2O3-WO3-B2O3 Glasses (with Ro2O3 = Sb2O3, Al2O3, and Bi2O3). J. Lumin. 2020, 223, 117171. [Google Scholar] [CrossRef]
- Almuqrin, A.H.; Sayyed, M.I. Radiation Shielding Characterizations and Investigation of TeO2–WO3–Bi2O3 and TeO2–WO3–PbO Glasses. Appl. Phys. A 2021, 127, 1–11. [Google Scholar] [CrossRef]
- Bratovcic, A. Synthesis, Characterization, Applications, and Toxicity of Lead Oxide Nanoparticles. Lead Chem. 2020, 6, 66. [Google Scholar] [CrossRef]
- Al-Buriahi, M.S.; Rashad, M.; Alalawi, A.; Sayyed, M.I. Effect of Bi2O3 on Mechanical Features and Radiation Shielding Properties of Boro-Tellurite Glass System. Ceramics 2020, 46, 16452–16458. [Google Scholar] [CrossRef]
- Kebaili, I.; Boukhris, I.; Sayyed, M.I.; Tonguc, B.; Al-Buriahi, M.S. Effect of TiO2/V2O5 Substitution on the Optical and Radiation Shielding Properties of Alkali Borate Glasses: A Monte Carlo Investigation. Ceramics 2020, 46, 25671–25677. [Google Scholar] [CrossRef]
- Alothman, M.A.; Kurtulus, R.; Olarinoye, I.O.; Kavas, T.; Mutuwong, C.; Al-Buriahi, M.S. Optical, Elastic, and Radiation Shielding Properties of Bi2O3-PbO-B2O3 Glass System: A Role of SnO2 Addition. Optik 2021, 248, 168047. [Google Scholar] [CrossRef]
- Bale, S.; Rahman, S.; Awasthi, A.M.; Sathe, V. Role of Bi2O3 Content on Physical, Optical and Vibrational Studies in Bi2O3–ZnO–B2O3 Glasses. J. Alloys Compd. 2008, 460, 699–703. [Google Scholar] [CrossRef]
- Imaoka, M. Glass-Formation and Glass Structure. In Proceedings of the International Congress on Glass, Brussels, Belgium, 28 June 1965; Volume 7, pp. 149–164. [Google Scholar]
- Maeder, T. Review of Bi2O3 Based Glasses for Electronics and Related Applications. Int. Mater. Rev. 2013, 58, 3–40. [Google Scholar] [CrossRef]
- Huang, Y.; Li, Y.; Wang, J.; Zheng, M.; Chang, M. Network Structures and Characteristics of Bi2O3-ZnO-B2O3 Ternary System Glasses. J. Chin. Ceram. Soc. 2015, 43, 998–1001. [Google Scholar] [CrossRef]
- Komatsu, T.; Inoue, T.; Tasheva, T.; Honma, T.; Dimitrov, V. Correlation between Thermal Expansion Coefficient and Interionic Interaction Parameter in ZnO-Bi2O3-B2O3 Glasses. J. Ceram. Soc. Jpn. 2018, 126, 8–15. [Google Scholar] [CrossRef]
- Kim, Y.J.; Hwang, S.J.; Kim, H.S. Thermal Properties of Bi2O3-B2O3-ZnO Glass System. Mater. Sci. Forum 2006, 510–511, 578–581. [Google Scholar] [CrossRef]
- Zeng, H.; Liu, Z.; Jiang, Q.; Li, B.; Yang, C.; Shang, Z.; Ren, Z.; Chen, G. Large Third-Order Optical Nonlinearity of ZnO-Bi2O3-B2O3 Glass-Ceramic Containing Bi2ZnB2O7 Nanocrystals. J. Eur. Ceram. Soc. 2014, 34, 4383–4388. [Google Scholar] [CrossRef]
- Liu, Z.; Zeng, H.; Ji, X.; Ren, J.; Chen, G.; Ye, J.; Dai, Y.; Cheng, Y. Formation of Bi2ZnB2O7 Nanocrystals in ZnO-Bi2O3-B2O3 Glass Induced by Femtosecond Laser. J. Am. Ceram. Soc. 2015, 98, 408–412. [Google Scholar] [CrossRef]
- Schwarz, C.; Kang, M.; Pantano, C.; Richardson, K.; Rivero-Baleine, C.; Kuebler, S.; Grabill, C.; Rice, J.; Altemose, Q.; Raichle, K.; et al. Optical and Crystal Growth Studies of ZnO-Bi2O3-B2O3 Glass. In Proceedings of the SPIE, Advanced Optics for Defense Applications: UV through LWIR III, Orlando, FL, USA, 8 May 2018; Volume 10639, pp. 59–66. [Google Scholar] [CrossRef]
- Che, Q.; Yang, H.; Lu, L.; Wang, Y. A New Environmentally Friendly Silver Front Contact Paste for Crystalline Silicon Solar Cells. J. Alloys Compd. 2013, 549, 221–225. [Google Scholar] [CrossRef]
- Che, Q.; Yang, H.; Lu, L.; Wang, Y. Preparation of Lead-Free Nanoglass Frit Powder for Crystalline Silicon Solar Cells. Appl. Energy 2013, 112, 657–662. [Google Scholar] [CrossRef]
- Ma, Q.; Ma, S.; Bai, J.; Wang, H. Influence of Lead-Free Glass Frit in the Front Contact Paste on the Conversion Efficiency of Polycrystalline Silicon Solar Cells. RSC Adv. 2017, 7, 47500–47506. [Google Scholar] [CrossRef]
- Zargarova, M.I.; Kasumova, M.F. Projection of the liquidus surface of the ZnO-Bi2O3-B2O3 system. Inorg. Mater. 1990, 26, 1427–1430. [Google Scholar]
- Bechgaard, T.K.; Gulbiten, O.; Mauro, J.C.; Yue, Y.; Bauchy, M.; Smedskjaer, M.M. Liquid Fragility Determination of Oxide Glass-Formers Using Temperature-Modulated DSC. Int. J. Appl. Glass Sci. 2019, 10, 321–329. [Google Scholar] [CrossRef]
- Bai, Q.; Yang, Y.; Zhao, Z. Kinetics and in Situ Observation of Nonisothermal Crystallization in Bayan Obo Tailing-Based Nanocrystalline Glass-Ceramic. Ceramics 2021, 47, 7711–7719. [Google Scholar] [CrossRef]
- Shekunov, B. Kinetics of Crystallization and Glass Transition in Amorphous Materials. Crystals 2019, 20, 95–106. [Google Scholar] [CrossRef]
- Kissinger, H.E. Variation of Peak Temperature with Heating Rate in Different Thermal Analysis. J. Res. Natl. Bur. Stand. 1956, 57, 217–221. [Google Scholar] [CrossRef]
- Tripathi, R.P.; Alvi, M.A.; Khan, S.A. Investigations of Thermal, Optical and Electrical Properties of Se85In15-xBix Glasses and Thin Films. J. Therm. Anal. Calorim. 2021, 146, 2261–2272. [Google Scholar] [CrossRef]
- Montazerian, M.; Zanotto, E.D. The Glassy State. Encycl. Mater. Techn. Ceram. Glasses 2021, 2, 448–461. [Google Scholar] [CrossRef]
- Rao, K.S.; Kulshreshtha, S.K. Influence of Bi2O3 on Structure and Properties of Some Zinc Borate Glasses. J. Non-Cryst. Solids 1998, 234–236, 769–774. [Google Scholar]
- Tomar, V.; Pandey, R.; Singh, P. Influence of Quenching Rate and Quenching Media on Formation of TeO2 Glasses. J. Mater. Sci. Mater. Electron. 2021, 32, 17726–17740. [Google Scholar] [CrossRef]
- Gao, G.; Hu, L.; Fan, H. Effect of Bi2O3 on physical, optical, and structural properties of boron silicon bismuthate glasses. Opt. Mater. 2009, 32, 159–163. [Google Scholar] [CrossRef]
- Sharma, G.; Singh, K.; Manupriya, S.; Mohan, S.; Singh, H.; Bindra, S. Effects of gamma irradiation on optical and structural properties of PbO-Bi2O3-B2O3 glasses. Radiat. Phys. Chem. 2006, 75, 959–966. [Google Scholar] [CrossRef]
Disclaimer/Publisher’s Note: The statements, opinions and data contained in all publications are solely those of the individual author(s) and contributor(s) and not of MDPI and/or the editor(s). MDPI and/or the editor(s) disclaim responsibility for any injury to people or property resulting from any ideas, methods, instructions or products referred to in the content. |
© 2023 by the authors. Licensee MDPI, Basel, Switzerland. This article is an open access article distributed under the terms and conditions of the Creative Commons Attribution (CC BY) license (https://creativecommons.org/licenses/by/4.0/).








