Abstract
Serious damage caused by oily wastewater makes the development of efficient superhydrophobic and superoleophilic materials for oil/water separation processes critical and urgent. Herein, durable superhydrophobic nanometer-scale TiO2 grains with low-surface-energy substance composite-modified materials were fabricated by using a cost-effective and facile synthesis method for the gravity-driven separation of oil/water mixtures under harsh conditions. Different substrates, such as sawdust, wheat straw, cotton, sponge and fabric, were applied for superhydrophobic surface preparation, and various low-surface-energy reagents could interact with deposited TiO2 nanoparticles, including cetylamine, dodecanethiol, stearic acid and HDTMS. The resultant materials showed superhydrophobic properties with a water contact angle (WCA) higher than 150.8°. The separation of various oil/water mixtures with high efficiency and purity was acquired by using the as-prepared sponge. More importantly, the coated sponge exhibited good resistance to various harsh environmental solutions. Moreover, its superhydrophobicity also remained even after 12 months of storage in air or 10 cycles of abrasion. The durable superhydrophobic coating prepared in this work could be practically used for the highly efficient separation of oil/water mixtures under various harsh conditions.
1. Introduction
Oily wastewater produced by offshore oil spills and industry activities has severely damaged ecological environments and threatened human beings [1,2]. Conventional methods, including microbial degradation [3], oil containment fences [4] and in situ burning [5], are widely used but have serious shortcomings, such as complicated operation, high energy consumption, inefficiency and low selectivity. Realizing the rapid and efficient separation of oils from water has become urgent and practical.
Along with the bionics and interfacial theory development, the superwetting materials that have high separation efficiency for oil/water separation have attracted extensive attention [6]. Surface wettability, the degree to which a solid surface is wetted by liquid, is one of most important properties of a solid surface. Wettability is usually assessed by measuring the water contact angle (WCA) of a water droplet on a solid surface [7]. The WCA on a solid surface depends on surface roughness and chemistry. In general, the surface is superhydrophilic when the solid–liquid WCA on the surface equals to 0°. The surface with a WCA less than 90° is defined as hydrophilic. The surface with a WCA higher than 90° is hydrophobic. When the WCA is higher than 150°, the contact area between water and solid is very small, and the water droplet easily rolls off the solid surface with a sliding angle (SA) of less than 10°. This surface is defined as superhydrophobic [8]. Different from superhydrophilic materials, which completely repel oils under water, the superhydrophobic materials are more suitable for oil collection from oil/water mixtures thanks to their oil absorption property [9]. Numerous methods have been proposed to study superhydrophobic materials. These superhydrophobic materials are constructed through the creation of a suitably rough structure followed by the modification of low-surface-energy substances [10]. The superhydrophobic materials are typically divided into two types: superhydrophobic absorbing materials and superhydrophobic filtrating materials. Sponges [11,12], foams [13] and aerogels [14,15] are commonly used as substrates for superhydrophobic absorbing material fabrication. Superhydrophobic filtrating materials are usually constructed on meshes [16,17,18], membranes [19,20] and fabrics [21,22]. Increasing water pollution from frequent oil spills was usually caused by petroleum exploitation and transportation. In this case, superhydrophobic absorbing materials could be used directly, which shows the great potential of their application. The superhydrophobic filtrating materials also gained more popularity for their simple operation and high separation efficiency. Inorganic nanoparticles, such as Ag, Fe3O4, SiO2, ZnO, TiO2 nanoparticles, were used to prepare superhydrophobic coatings [23]. Among these, TiO2 nanoparticles have attracted the most technological interest in the preparation of durable coatings thanks to their high chemical stability and nontoxicity [24]. Mokoba et al. [25] fabricated a novel superhydrophobic sponge by modifying octadecanethiol-TiO2 nanowire-polydopamine nanocomposites. The as-prepared sponge exhibited self-cleaning and antifouling properties. Wu et al. [26] prepared superhydrophobic cotton modified with PDMS with TiO2-supported charcoal nanocomposites. Wang et al. [27] reported a superhydrophobic coating on glass by using TiO2 microspheres and epoxy resin. The coating had a WCA of 160.7° and a sliding angle (SA) of 3.2°.
However, the micro-/nanoscale rough structure of the superhydrophobic material is fragile, in that it can be destroyed through abrasion and erosion, resulting in limited applications [28]. In addition, long-term exposure to harsh conditions is necessary for complex oil/water separation. Therefore, finding a versatile and efficient approach to designing durable, highly efficient and low-cost superhydrophobic materials for oil/water separation is challenging but very useful [29,30,31,32]. Zulfiqar et al. [33] mechanically fabricated robust superhydrophobic coatings for oil/water separation. The coating could retain superhydrophobic properties after severe mechanical abrasion. Zhang et al. [34] prepared a robust superhydrophobic foam for oil/water separation. The coating exhibited good performance with excellent chemical stability, anticorrosion activity and mechanical stability.
In this paper, a simple but versatile method for durable superhydrophobic coating preparation was proposed for oil/water separation. TiO2 nanoparticles were prepared through the liquid-phase deposition method, providing the proper roughness, and an outermost low-surface-energy modification enhanced the superhydrophobic properties. Sawdust, wheat straw, cotton, sponge and fabric could all be used as substrates with their intrinsic properties. Various low-surface-energy substances could be interconnected with deposited TiO2 nanoparticles. This fabrication method was efficient and economical without using specialized reagents and equipment. The prepared coating showed remarkable durability against severe abrasion, harsh environmental solutions and repeated usage for oil/water separation.
2. Materials and Methods
2.1. Materials
Ammonium fluotitanate ((NH4)2TiF6), boric acid (H3BO3, ≥99.5%), absolute ethyl alcohol (C2H5OH), tetrachloromethane (CCl4, 98%), hexane (C6H14, 97%), petroleum ether (bp 60–90 °C), dimethylbenzene (C8H10, 99%), chloroform (CHCl3, 99%), dichloromethane (CH2Cl2, 99%), n-cetylamine (C16H35N, 98%), n-dodecanethiol (C12H26S, 98%), stearic acid (C18H36O2, 98%), hexadecyltrimethoxysilane (HDTMS, C19H42SiO3, ≥85%), Sudan III (C22H16N4O) and methylene blue (C16H18ClN3S) were acquired from Shanghai Macklin Biochemical Co., Ltd. (Shanghai, China). Soybean oil, sawdust, wheat straw, sponge, cotton and fabric were bought at a local market.
2.2. Methods
The superhydrophobic coating was fabricated on various substrates with different materials. For the fabrication of a superhydrophobic sponge, for example, the preparation process is described as follows: 0.1 mol/L of (NH4)2TiF6 was added to 0.45 mol/L of H3BO3 in a beaker. After mixing it with a glass rod, the cleaned sponge (4 × 4 × 1 cm) was immersed in the mixture, which was stirred at 60 °C for 1 h. Subsequently, the mixture was placed in oven at 50 °C for 1 h. After, it was removed from the oven, and the sponge was dried. Finally, the dried sponge was immersed in an ethanol solution of stearic acid (0.1 mol/L) for 1 h and then dried. The TiO2-/stearic-acid-coated sponge was denoted as sponge/TiO2/stearic acid.
Cetylamine, HDTMS and n-dodecanethiol could also be used as the low-surface-energy substance to replace stearic acid. For the modification of cetylamine, HDTMS and n-dodecanethiol, the TiO2 deposition process was same. Only the last step of immersion in the stearic acid solution was changed. The modification process was as follows: in the last step, the dried sponge was immersed in an ethanol solution of n-cetylamine (3.5 wt.%) at 60 °C for 3 h of reaction. After drying, the sponge/TiO2/cetylamine was finally prepared. Similarly, after immersed in HDTMS–ethanol solution at 60 °C for 4 h of reaction, sponge/TiO2/HDTMS was prepared. The dried sponge was immersed in an ethanol solution of n-dodecanethiol (2.5 wt.%) for 5 h of reaction to obtain sponge/TiO2/dodecanethiol.
The sawdust (425–500 µm), wheat straw (425–500 µm), cotton (4 × 4 cm) and fabric (4 × 4 cm) were also washed in a 2% ethanol aqueous solution and dried in advance. The preparation of the superhydrophobic coating on these substrates was the same as that on the sponge.
2.3. Oil/Water Separation
Five kinds of immiscible oil/water mixtures (with a volume ratio of 1:1), including tetrachloromethane/water, dichloromethane/water, hexane/water, petroleum ether/water and soybean oil/water, were prepared. The oils were dyed with Sudan III, while the water was dyed with methylene blue. Thus, the color of the oils was changed to red and that of the water was noted as blue so that the separation process could be clearly investigated. The water-in-oil emulsion was acquired by mixing oil and water with the volume ratio of 50:1, using Span 80 (0.1 wt.%) as an emulsifier under stirring for 5 h until a stable milky solution formed. Three kinds of emulsions, including water-in-tetrachloromethane, water-in-dimethylbenzene and water-in-chloroform, were prepared. A self-made filtration device was designed for the separation by using sponge/TiO2/stearic acid as the filter layer, which was fixed between two identical tubes by using a clamping device. The time for completing the oil/water mixture separation was recorded. The separation process is completely driven by gravity. The separation efficiency and flux were determined according to Equations (1) and (2):
where M1 represents the oil mass in an oil/water mixture before separation, M2 represents the collected oil mass after separation, V is the oil volume in the oil/water mixture, S is the cross-sectional area of the superhydrophobic sponge exposed to the oil/water mixture and t is the recorded time for separation.
2.4. Characterization
The surface morphologies of the prepared samples after modification were observed by using a scanning electron microscope (SEM, Quanta 200, FEI, Hillsboro, OR, USA). Fourier transform infrared spectroscopy data were acquired over a region of 500–4000 cm−1 (FTIR, Magna-IR 560, Thermo Nicolet, Madison, WI, USA) with KBr-pressed pellets. The X-ray diffraction pattern was collected to examine the crystalline structure of as-prepared products (XRD, Bruker AXS, Billerica, MA, USA). The WCA and the SA on the as-prepared sample were determined with a 5 μL droplet by using a contact angle measurement instrument at room temperature (TST-200H, Shenzhen testing equipment Co., Ltd., Shenzhen, China). The SA was measured by inclining the solid plane until the droplet was about to roll but had not yet rolled. Measurements were taken in triplicate from different surface locations and then averaged to acquire reliable results. Optical micrographs of the emulsions were recorded with a microscope (TE2000-S, Nikon, Tokyo, Japan).
3. Results
3.1. Surface Morphology and Wettability
During the fabrication process, TiO2 nanoparticles were directly deposited onto different substrates, resulting in a hierarchical structure, which then reacted with low-surface-energy substances to produce a superhydrophobic sponge. The morphology of the pristine and coated samples was analyzed by using an SEM, and it appears in Figure 1. The original surfaces of the coated substrates, including sawdust, wheat straw, sponge, cotton and fabric, presented flat and smooth topographies. Different from pristine substrates, the TiO2-/stearic-acid-coated samples displayed a lot of protuberances on the surfaces, forming micro-/nanoscale roughness. The surface roughness of different substrates was increased after modification. In addition, similar results were observed after the deposition of TiO2/cetylamine, TiO2/HDTMS and TiO2/dodecanethiol (Figure 2). The uniform roughness on the coated sponge suggested that the deposition of TiO2 nanoparticles was successful.

Figure 1.
SEM images of raw (left) and TiO2-/stearic-acid-coated samples (right): (a–e) sawdust, wheat straw, sponge, cotton and fabric; (f–j) TiO2-/stearic-acid-coated samples.
Figure 2.
SEM images of coated sponge: (a) sponge/TiO2/stearic acid; (b) sponge/TiO2/cetylamine; (c) sponge/TiO2/HDTMS; (d) sponge/TiO2/dodecanethiol.
The photographs of the water droplets on the pristine and TiO2-/stearic-acid-coated samples are displayed in Figure 3. The WCA values of the pristine sawdust, wheat straw, sponge, cotton and fabric were 49°, 53°, 122°, 0° and 0°, respectively, while the WCA values of the coated samples were 151.9°, 154.1°, 156.2°, 154.2° and 150.8°, respectively. The water droplets could stand spherical on coated surfaces, demonstrating that the as-prepared samples became superhydrophobic. This is because the existence of TiO2 nanoparticles on the sample surface generated a rough structure and because the modification of the stearic acid largely reduced the surface energy.
Figure 3.
Photographs of water droplets on pristine (left) and TiO2-/stearic-acid-coated samples (right): (a–e) sawdust, wheat straw, sponge, cotton and fabric; (f–j) TiO2-/stearic-acid-coated samples.
3.2. Formation Mechanism
The XRD spectra are shown in Figure 4. The XRD pattern of the pristine sponge showed a broad peak at 20.3°, which was consistent with that reported in the literature [26]. Sawdust and wheat straw had characteristic peaks at 16.0° and 22.1° [35]. Cotton and fabric had diffraction peaks at 14.8°, 16.7° and 22.6° [36]. In addition, some new, strong diffraction peaks were observed in the spectrum of the coated samples, indicating the formation of a new crystal structure on the sponge’s surface. The patterns of the coated samples displayed strong characteristic peaks at 25.2°, 37.8°, 48.1° and 53.9°, representing the respective planes of (101), (004), (200) and (105), proving that the decoration with TiO2 nanoparticles was successful. This demonstrated that TiO2 nanoparticles existed in an anatase phase. The XRD analysis suggested that the TiO2 nanoparticles were successfully deposited onto the different substrates, which constructed hierarchical structures on their surfaces.
Figure 4.
The XRD spectra of superhydrophobic sponge with different low-surface-energy substances (a) and TiO2-/stearic-acid-coated samples (b).
Figure 5 showed the FTIR spectra of the original samples and the superhydrophobic samples. Peaks at around 3410 and 815 cm−1 in all samples were attributed to N-H stretching in the sponges. For the superhydrophobic sponge, the vibration peaks at 2921 cm−1 and 2851 cm−1 were associated with the asymmetric and symmetric stretching vibrations of –CH2 and –CH3 in the long alkyl chain, confirming the modification of different kinds of low-surface-energy substances. The C=O from stearic acid appeared at 1715 cm−1 in the superhydrophobic sponge, indicating the successful self-assembly of stearic acid. Peaks ranging from 1015 to 1141 cm−1 that were observed in sponges/TiO2/HDTMS were attributed to the stretching vibration of Si-O-Si, which overlapped with the characteristic peak of the carbon skeleton (1250–800 cm−1). The absorption peak between 705 and 570 cm−1 that was observed in sponges/TiO2/dodecanethiol stemmed from the C-S stretching vibration of dodecanethiol. Obviously, the low-surface-energy substances have been successfully grafted onto the sponge. Figure 5b exhibited the FTIR spectra of the TiO2-/stearic-acid-coated samples. The characteristic peaks of C-H and C=O from stearic acid were observed in all the superhydrophobic samples. The characteristic peak of C=O in sawdust and wheat straw overlapped with the characteristic peak of the carboxy group (1700 cm−1) in cellulose. The above characteristic peaks indicated a dehydration condensation reaction between low-surface-energy substances and TiO2 nanoparticles. The modification of these low-surface-energy substances enabled the superhydrophobicity of the TiO2-coated samples.
Figure 5.
FTIR spectrum of superhydrophobic sponges with different low-surface-energy substances (a) and TiO2-/stearic-acid-coated samples (b).
The preparation process of sponges/TiO2/stearic acid is illustrated in Figure 6. The sponge’s surface was covered with TiO2 nanoparticles by using the in situ deposition method in the first step, forming an appropriate hierarchical structure on the surface. The TiO2 aggregates built a reaction platform rich in hydroxyl groups, which were highly reactive. This is attributed to the dehydration condensation reaction with -COOH in stearic acid [37]. Similarly, the hydroxyl groups on the TiO2 surface could interact with –NH2 in cetylamine, HO–Si in HDTMS and -SH in dodecanethiol through a dehydration condensation reaction [38,39]. After the loading of TiO2 nanoparticles, the modification of stearic acid, cetylamine, HDTMS and dodecanethiol largely reduced the surface energy. The nanoscale TiO2 particles and the low-surface-energy substance modification are key factors for wetting behavior, thus lending superhydrophobic properties to the substrates.
Figure 6.
Illustration (a) and reaction mechanism (b) for preparation of sponges/TiO2/stearic acid.
3.3. Oil/Water Separation
The oily wastewater from the production process has been increasing with the advance of industrialization. A superhydrophobic sponge could be used for oil/water separation, which is beneficial for the environment. Heavy oils such as tetrachloromethane and dichloromethane and light oils such as hexane, petroleum ether and soybean oil were used for separation. Figure 7a and Video S1 show the separation process of tetrachloromethane/water driven by gravity with sponge/TiO2/stearic acid. The oil/water mixture was poured into the device. The tetrachloromethane quickly penetrated the coated sponge, while water was left on top. It could be seen that the performance of the coated sponge for the tetrachloromethane/water mixture was relatively excellent. The separation efficiency and the flux for the tetrachloromethane/water mixture with the coated sponge were calculated to be 99.1% and 754.9 L m−2 h−1, respectively. For hexane/water separation, the separation device was installed into an inclined type (Figure 7b and Video S2). The hexane soaked the coated sponge and entered the flask when the water was retained. The separation efficiency and the flux were subsequently calculated to be 98.9% and 514.3 L m−2 h−1, respectively. Other mixtures could also be completely separated with the coated sponge, such as the dichloromethane/water mixture (99.2%, 795.1 L m−2 h−1), the petroleum ether/water mixture (99.1%, 489.2 L m−2 h−1) and the soybean oil/water mixture (99.1%, 448.7 L m−2 h−1). The oil flux of the coated sponge was affected by the contact area of the oil with the sponge and by the kinematic viscosity of the oil.
Figure 7.
Oil/water separation with sponge/TiO2/stearic acid: (a) immiscible tetrachloromethane/water mixture; (b) immiscible hexane/water mixture; (c) water-in-tetrachloromethane emulsion; (d) the emulsion under optical microscope before (left) and after (right) filtration.
The sponge/TiO2/stearic acid also showed outstanding effects for water-in-oil emulsion separation. The filtration procedure for water-in-tetrachloromethane emulsion was investigated, which is shown in Figure 7c and Video S3. The foggy emulsion was filtered and fell into the beaker, resulting in a transparent product. The separation efficiency and the flux for the water-in-tetrachloromethane emulsion were calculated to be 99.1% and 828.4 L m−2 h−1, respectively. The water droplets in emulsion completely disappeared after separation under the optical microscope (Figure 7d). Moreover, other emulsions were efficiently separated, such as the water-in-dimethylbenzene emulsion (98.6%, 896.2 L m−2 h−1) and the water-in-chloroform emulsion (98.9%, 884.3 L m−2 h−1). Therefore, the sponge/TiO2/stearic acid is considered to have good application value in oil/water separation.
A comparison of preparation and separation performance from as-prepared sponges and other superhydrophobic materials was carried out to prove the superiority and significance of this work (Table 1). Compared with other preparation methods, the fabrication of superhydrophobic sponges in this work showed obvious advantages: low cost, easy to operate and environmentally friendly without using fluorinated reagents. Additionally, both heavy oils and light oils could be efficiently separated from oil/water mixtures by using this method. Generally, the as-prepared sponge showed superior properties in fabrication and separation performance compared with other superhydrophobic materials.
Table 1.
Comparison between this work and other works on the fabrication and separation of superhydrophobic materials.
3.4. Durability Evaluation
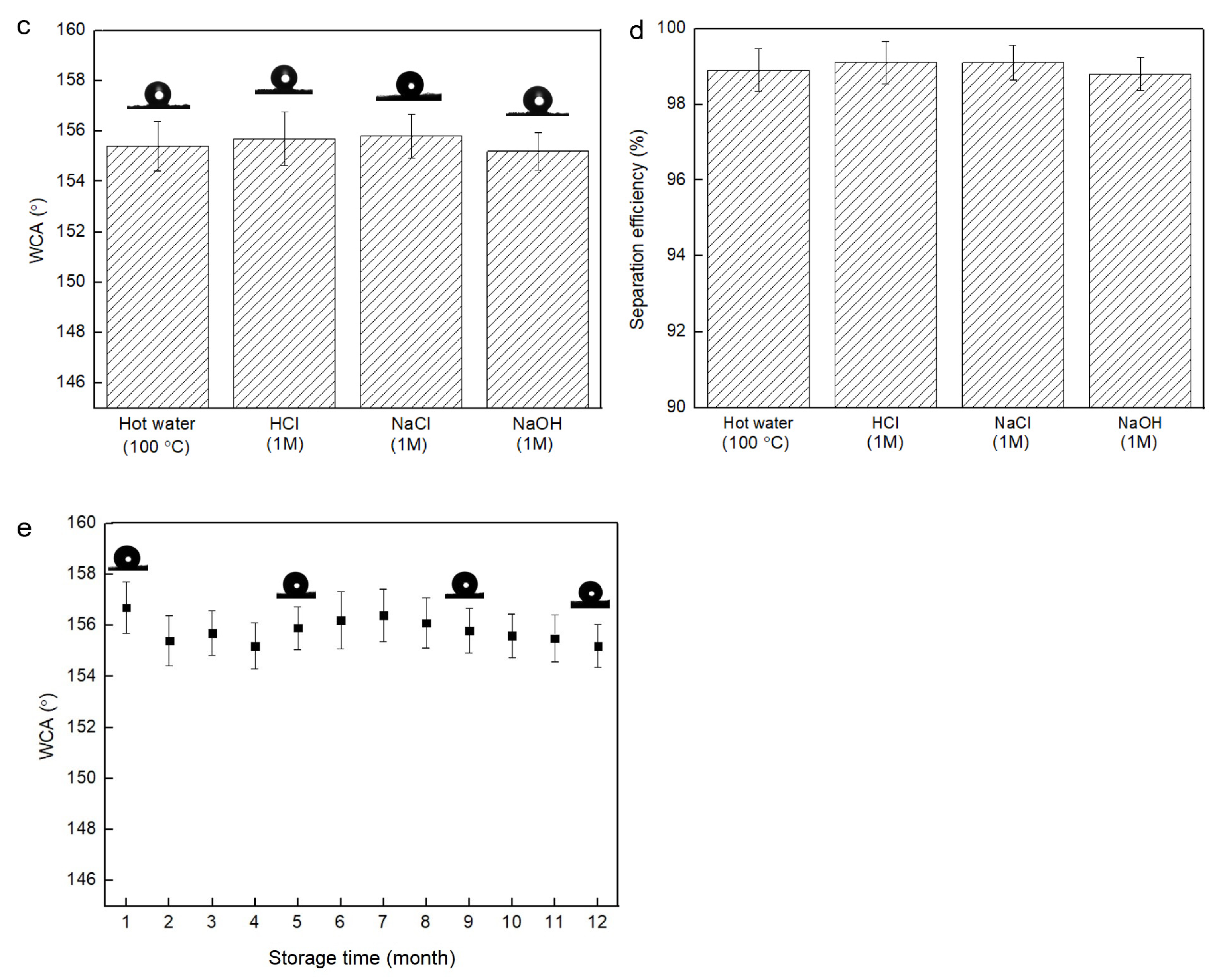
In our daily lives, superwetting materials are usually exposed to complex and harsh environments. Thus, it is necessary to improve the durability of superwetting materials [41,45,46]. To test the effects of abrasion, the sponge/TiO2/stearic acid was placed on sandpaper with 1000 meshes and was moved forth and back for a distance of 20 cm under a weight of 100 g. As displayed in Figure 8a, the WCA decreased from 156.2° to 149.7° after 10 abrasion cycles. The WCA decreased because some of the micro-/nanoscale structure was lost after abrasion. However, the TiO2 nanoparticles still closely covered the sponge, which retained high hydrophobicity after abrasion (Figure 8b). The remarkable abrasion resistance of the coated sponge comes mainly from the strong adherence of the TiO2 nanoparticles.

Figure 8.
Durability of the coated sponge. (a) WCA values with abrasion cycles; (b) SEM image of the coated sponge after 10 abrasion cycles; (c) WCA values of 5 μL of hot water (100 °C), HCl solution (1 M), NaOH solution (1 M) and NaCl solution (1 M) on coated sponge; (d) separation efficiency for tetrachloromethane/corrosive solution mixtures; (e) WCA values with storage time in air.
Various corrosion solutions have been used to test the chemical stability of superhydrophobic sponges. As illustrated in Figure 8c, the WCA values of 5 μL of hot water (100 °C), 1 M of HCl solution, 1 M of NaCl solution and 1 M of NaOH solution were all larger than 155°, demonstrating stable superhydrophobicity toward extreme liquids. This is because the air trapped on the sponge’s surface has resistance to acidic, alkaline and high-temperature environments. Furthermore, the separation capacity of the coated sponge for these corrosive solutions with tetrachloromethane was subsequently evaluated. The tetrachloromethane quickly penetrated the coated sponge, leaving the aqueous solutions above the sponge. As displayed in Figure 8d, the separation efficiency remained above 98% for all the harsh environments, demonstrating remarkable performance for oil/water separation. The sponge/TiO2/stearic acid was stored under ambient conditions for 12 months, and its stability was subsequently tested. As depicted in Figure 8e, the WCA values of the coated sponges were all larger than 155°. These results indicated that the coated sponges possessed good durability, providing the basis for their application.
4. Conclusions
In summary, we have fabricated durable and stable superhydrophobic coatings that are based on TiO2/low-surface-energy substance composites. The coating could be easily be applied onto various substrates (sawdust, wheat straw, cotton, sponge and fabric) by using a simple liquid-phase deposition method with WCA values higher than 150°, which could be used for oil/water separation even in harsh environments. The as-prepared sponge could separate a series of heavy or light oils from oil/water mixtures with high separation efficiencies (>98.6%). The separation efficiency still reached up to 98.0% after 30 cycles of separation, indicating good reusability. Even though the coated sponge was stored in air for 12 months and abraded for 10 cycles, excellent superhydrophobicity was still maintained. The prepared coating retained its superhydrophobicity under harsh environments, such as hot water, strong acidic/alkaline solutions and salty corrosive media. Therefore, the multifunctional properties of the durable superhydrophobic coating proposed in this work have significant potential for realistic oil/water separations.
Supplementary Materials
The following supporting information can be downloaded at: https://www.mdpi.com/article/10.3390/coatings13050925/s1, Video S1. Separation process of tetrachloromethane/water mixture; Video S2. Separation process of hexane/water mixture; Video S3. Separation process of water-in-tetrachloromethane emulsion.
Author Contributions
Conceptualization, S.F. and L.T.; methodology, S.F.; software, L.T.; validation, X.Z. and G.X.; formal analysis, X.Z.; investigation, G.X.; resources, W.F.; data curation, L.T.; writing—original draft preparation, S.F.; writing—review and editing, W.F.; visualization, L.T.; supervision, W.F.; project administration, S.F.; funding acquisition, S.F. All authors have read and agreed to the published version of the manuscript.
Funding
This research was funded by the Science and Technology Major Project of Xinxiang city (21ZD005), the Key Scientific and Technological Project of Henan Province (232102230048) and High-Level Talent Start-Up Research Project of Henan Institute of Science and Technology (No. 2017043).
Institutional Review Board Statement
Not applicable.
Informed Consent Statement
Not applicable.
Data Availability Statement
The data for this paper are available from the authors upon reasonable request.
Conflicts of Interest
The authors declare no conflict of interest.
References
- Fang, P.; Huang, L.; Pan, W.; Wu, S.; Feng, X.; Song, J.; Xing, Y. Facile preparation of durable superhydrophobic-superoleophilic mesh using simple chemical oxidation for oil-water separation under harsh conditions. Colloids Surf. A 2021, 624, 126777. [Google Scholar] [CrossRef]
- Li, Z.; Tian, Q.; Xu, J.; Sun, S.; Cheng, Y.; Qiu, F.; Zhang, T. Easily fabricated low-energy consumption joule-heated superhydrophobic foam for fast cleanup of viscous crude oil spills. ACS Appl. Mater. Interfaces 2021, 13, 51652–51660. [Google Scholar] [CrossRef] [PubMed]
- Haridharan, N.; Sundar, D.; Kurrupasamy, L.; Anandan, S.; Liu, C.; Wu, J.J. Oil spills adsorption and cleanup by polymeric materials: A review. Polym. Adv. Technol. 2022, 33, 1353–1384. [Google Scholar] [CrossRef]
- Minh, T.D.; Ncibi, M.C.; Srivastava, V.; Doshi, B.; Sillanpaa, M. Micro/nano-machines for spilled-oil cleanup and recovery: A review. Chemosphere 2021, 271, 129516.1–129516.12. [Google Scholar] [CrossRef]
- Wang, F.; Ma, R.; Zhan, J.; Tian, Y. Superhydrophobic modular cryogel with variable magnetic-actuated motion direction for discrete small-scale oil spill cleanup. J. Harzard. Mater. 2022, 430, 128448. [Google Scholar] [CrossRef]
- Wang, J.; Wu, J.; Han, F.J. Eco-friendly and scratch-resistant hybrid coating on mesh for gravity-driven oil/water separation. J. Clean. Prod. 2019, 241, 118369. [Google Scholar] [CrossRef]
- Taylor, M.; Urquhart, A.J.; Zelzer, M.; Davies, M.C.; Alexander, M.R. Picoliter water contact angle measurement on polymers. Langmuir 2007, 23, 6875–6878. [Google Scholar] [CrossRef]
- Letey, J.; Carrillo, M.L.K.; Pang, X.P. Approaches to characterize the degree of water repellency. J. Hydrol. 2000, 61-65, 231–232. [Google Scholar] [CrossRef]
- Huang, L.; Zhang, L.; Song, J.; Wang, X.; Liu, H. Superhydrophobic nickel-electroplated carbon fibers for versatile oil/water separation with excellent reusability and high environmental stability. ACS Appl. Mater. Interfaces 2020, 12, 24390–24402. [Google Scholar] [CrossRef]
- Wu, Y.; Jia, S.; Qing, Y.; Luo, S.; Liu, M.; Mater, J. A versatile and efficient method to fabricate durable superhydrophobic surfaces on wood, lignocellulosic fiber, glass, and metal substrates. J. Mater. Chem. A 2016, 4, 14111–14121. [Google Scholar] [CrossRef]
- Ge, J.; Shi, L.; Wang, Y.; Zhao, H.; Yao, H.; Zhu, Y.; Zhang, Y.; Zhu, H.; Wu, H.; Yu, S. Joule-heated graphene-wrapped sponge enables fast clean-up of viscous crude-oil spill. Nat. Nanotechnol. 2017, 12, 434–440. [Google Scholar] [CrossRef]
- Wang, H.; Yang, J.; Liu, X.; Tao, Z.; Wang, Z.; Yue, R. A robust 3D superhydrophobic sponge for in situ continuous oil removing. J. Mater. Sci. 2019, 54, 1255–1266. [Google Scholar] [CrossRef]
- Chen, N.; Pan, Q. Versatile fabrication of ultralight magnetic foams and application for oil-water separation. ACS Nano 2013, 7, 6875–6883. [Google Scholar] [CrossRef]
- Li, L.; Hu, T.; Sun, H.; Zhang, J.; Wang, A. Pressure-sensitive and conductive carbon aerogels from poplars catkins for selective oil absorption and oil/water separation. ACS Appl. Mater. Interfaces 2017, 9, 18001–18007. [Google Scholar] [CrossRef]
- Li, Y.; Zhu, L.; Grishkewich, N.; Tam, K.C.; Yuan, J.; Mao, Z.; Sui, X. CO2-responsive cellulose nanofibers aerogels for switchable oil–water separation. ACS Appl. Mater. Interfaces 2019, 11, 9367–9373. [Google Scholar] [CrossRef]
- Fu, C.; Gu, L.; Zeng, Z.; Xue, Q. One-step transformation of metal meshes to robust superhydrophobic and superoleophilic meshes for highly efficient oil spill cleanup and oil/water separation. ACS Appl. Mater. Interfaces 2020, 12, 1850–1857. [Google Scholar] [CrossRef]
- Zhang, Z.; Zhang, Y.; Fan, H.; Wang, Y.; Zhou, C.; Ren, F.; Wu, S.; Li, G.; Hu, Y.; Li, J.; et al. A janus oil barrel with tapered microhole arrays for spontaneous high-flux spilled oil absorption and storage. Nanoscale 2017, 9, 15796–15803. [Google Scholar] [CrossRef]
- Li, J.; Kang, R.; Tang, X.; She, H.; Yang, Y.; Zha, F. Superhydrophobic meshes that can repel hot water and strong corrosive liquids used for efficient gravity-driven oil/water separation. Nanoscale 2016, 8, 7638–7645. [Google Scholar] [CrossRef]
- Baig, U.; Matin, A.; Gondal, M.A.; Zubair, S.M. Facile fabrication of superhydrophobic, superoleophilic photocatalytic membrane for efficient oil-water separation and removal of hazardous organic pollutants. J. Clean. Prod. 2019, 208, 904–915. [Google Scholar] [CrossRef]
- Li, D.; Gou, X.; Wu, D.; Guo, Z. A robust and stretchable superhydrophobic PDMS/PVDF@KNFs membrane for oil/water separation and flame retardancy. Nanoscale 2018, 10, 6695–6703. [Google Scholar] [CrossRef]
- Zhou, X.; Zhang, Z.; Xu, X.; Guo, F.; Zhu, X.; Men, X.; Ge, B. Robust and durable superhydrophobic cotton fabrics for oil/water separation. ACS Appl. Mater. Interfaces 2013, 5, 7208–7214. [Google Scholar] [CrossRef] [PubMed]
- Kukkar, D.; Rani, A.; Kumar, V.; Younis, S.A.; Zhang, M.; Lee, S.S.; Tsang, D.C.W.; Kim, K.H.J. Recent advances in carbon nanotube sponge–based sorption technologies for mitigation of marine oil spills. Colloid Interface Sci. 2020, 570, 411–422. [Google Scholar] [CrossRef] [PubMed]
- Sun, S.; Tang, S.; Chang, X.; Wang, N.; Wang, D.; Liu, T.; Lei, Y.; Zhu, Y. A bifunctional melamine sponge decorated with silver-reduced graphene oxide nanocomposite for oil-water separation and antibacterial applications. Appl. Surf. Sci. 2019, 473, 1049–1061. [Google Scholar] [CrossRef]
- Liu, M.; Qing, Y.; Wu, Y.; Liang, J.; Luo, S. Facile fabrication of superhydrophobic surfaces on wood substrates via a one-step hydrothermal process. Appl. Surf. Sci. 2015, 330, 332–338. [Google Scholar] [CrossRef]
- Mokoba, T.; Lu, J.; Zhang, T.C.; Ouyang, L.; Yuan, S. Superhydrophobic ODT-TiO2 NW-PDA nanocomposite-coated polyurethane sponge for spilled oil recovery and oil/water separation. Colloids Surf. A 2021, 630, 127541. [Google Scholar] [CrossRef]
- Wu, Z.; Fang, K.; Chen, W.; Zhao, Y.; Xu, Y.; Zhang, C. Durable superhydrophobic and photocatalytic cotton modified by PDMS with TiO2 supported bamboo charcoal nanocomposites. Ind. Crop. Prod. 2021, 171, 113896. [Google Scholar] [CrossRef]
- Wang, C.; Guo, J.; Yu, H.; Lei, H.; Wang, Z.; Zhao, M.; Li, J.; Li, X. Preparation and self-cleaning property of a superhydrophobic coating based on micro–nano integrated TiO2 microspheres. Ceram. Int. 2021, 47, 32456–32459. [Google Scholar] [CrossRef]
- Ma, W.; Ding, Y.; Li, Y.; Gao, S.; Jiang, Z.; Cui, J.; Huang, C.; Fu, G. Durable, self-healing superhydrophobic nanofibrous membrane with self-cleaning ability for highly-efficient oily wastewater purification. J. Membr. Sci. 2021, 634, 119402. [Google Scholar] [CrossRef]
- Esmeryan, K.D.; Fedchenko, Y.I.; Gyoshev, S.D.; Lazarov, Y.; Chaushev, T.A.; Grakov, T. On the development of ultradurable extremely water-repellent and oleophobic soot-based fabrics with direct relevance to sperm cryopreservation. ACS Appl. Bio Mater. 2022, 5, 3519–3529. [Google Scholar] [CrossRef]
- Gao, Y.; Zhou, Y.S.; Xiong, W.; Wang, M.; Fan, L.; Rabiee-Golgir, H.; Jiang, L.; Hou, W.; Huang, X.; Jiang, L.; et al. Highly efficient and recyclable carbon soot sponge for oil cleanup. ACS Appl. Mater. Interfaces 2014, 6, 5924–5929. [Google Scholar] [CrossRef]
- Cao, H.; Fu, J.; Liu, Y.; Chen, S. Facile design of superhydrophobic and superoleophilic copper mesh assisted by candle soot for oil water separation. Colloids Surf. A 2018, 537, 294–302. [Google Scholar] [CrossRef]
- Abu-Thabit, N.Y.; Uwaezuoke, O.J.; Elella, M.H.A. Superhydrophobic nanohybrid sponges for separation of oil/water mixtures. Chemosphere 2022, 294, 133644. [Google Scholar] [CrossRef]
- Zulfiqar, U.; Hassain, S.Z.; Subhani, T.; Hussain, I.; Rehman, H. Mechanically robust superhydrophobic coating from sawdust particles and carbon soot for oil/water separation. Colloids Surf. A 2018, 539, 391–398. [Google Scholar] [CrossRef]
- Zhang, Y.; Liu, J.; Ouyang, L.; Li, J.; Xie, G.; Yan, Y.; Weng, C. One-step preparation of robust superhydrophobic foam for oil/water separation by pulse electrodeposition. Langmuir 2021, 37, 7043–7054. [Google Scholar] [CrossRef]
- Hidarian, M.; Hashemian, S. Synthesize and characterization of sawdust/MnFe2O4 nano composite for removal of indigo carmine from aqueous solutions. Orient. J. Chem. 2014, 30, 1753–1762. [Google Scholar]
- Ling, C.; Guo, L. A novel, eco-friendly and durable flame-retardant cottonbased hyperbranched polyester derivative. Cellulose 2020, 27, 2357–2368. [Google Scholar] [CrossRef]
- Feng, L.; Zhang, H.; Mao, P.; Wang, Y.; Ge, Y. Superhydrophobic alumina surface based on stearic acid modification. Appl. Surf. Sci. 2011, 257, 3959–3963. [Google Scholar] [CrossRef]
- Cai, Y.; Zhao, Q.; Quan, X.; Feng, W.; Wang, Q. Fluorine-free and gydrophobic hexadecyltrimethoxysilane-TiO2 coated mesh for gravity-driven oil/water separation. Colloids Surf. A 2020, 586, 124189. [Google Scholar] [CrossRef]
- Song, Y.; Liu, Y.; Zhan, B.; Kaya, C.; Stegmaier, T.; Han, Z.; Ren, L. Fabrication of bioinspired structured superhydrophobic and superoleophilic copper mesh for efficient oil-water separation. J. Bionic Eng. 2017, 14, 497–505. [Google Scholar] [CrossRef]
- Zhang, Z.; Wang, C.; Ma, Y.; Du, X.; Shi, Y.; Li, J.; Shi, J. Fabrication of superwetting, antimicrobial and conductive fibrous membranes for removing/collecting oil contaminants. RSC Adv. 2020, 10, 21636–21642. [Google Scholar] [CrossRef]
- Xie, A.; Wang, B.; Chen, X.; Wang, Y.; Wang, Y.; Zhu, X.; Xing, T.; Chen, G. Facile fabrication of superhydrophobic polyester fabric based on rapid oxidation polymerization of dopamine for oil–water separation. RSC Adv. 2021, 11, 26992–27002. [Google Scholar] [CrossRef] [PubMed]
- Zhang, J.; Zhang, L.; Gong, X. Design and fabrication of polydopamine based superhydrophobic fabrics for efficient oil–water separation. Soft Matter 2021, 17, 6542–6551. [Google Scholar] [CrossRef] [PubMed]
- Song, Q.; Zhu, J.; Niu, X.; Wang, J.; Dong, G.; Shan, M.; Zhang, B.; Matsuyama, H.; Zhang, Y. Interfacial assembly of micro/nanoscale nanotube/silica achieves superhydrophobic melamine sponge for water/oil separation. Sep. Purif. Technol. 2022, 280, 119920. [Google Scholar] [CrossRef]
- Pang, Y.; Yu, Z.; Chen, H.; Xiang, Q.; Wang, Q.; Xie, C.; Liu, Y. Superhydrophobic polyurethane sponge based on sepiolite for efficient oil/water separation. J. Hazard. Mater. 2022, 434, 128833. [Google Scholar] [CrossRef]
- Gao, L.; Lu, Y.; Zhan, X.; Li, J.; Sun, Q. A robust, anti-acid, and high-temperature–humidity-resistant superhydrophobic surface of wood based on a modified TiO2 film by fluoroalkyl silane. Surf. Coat. Technol. 2014, 262, 33–39. [Google Scholar] [CrossRef]
- Barthwal, S.; Barthwal, S.; Singh, B.; Singh, N.B. Multifunctional and fluorine-free superhydrophobic composite coating based on PDMS modified MWCNTs/ZnO with self-cleaning, oil-water separation, and flame retardant properties. Colloids Surf. A 2020, 597, 124776. [Google Scholar] [CrossRef]
Disclaimer/Publisher’s Note: The statements, opinions and data contained in all publications are solely those of the individual author(s) and contributor(s) and not of MDPI and/or the editor(s). MDPI and/or the editor(s) disclaim responsibility for any injury to people or property resulting from any ideas, methods, instructions or products referred to in the content. |
© 2023 by the authors. Licensee MDPI, Basel, Switzerland. This article is an open access article distributed under the terms and conditions of the Creative Commons Attribution (CC BY) license (https://creativecommons.org/licenses/by/4.0/).









