Molecular Dynamics Simulation of the Incident Energy Effect on the Properties of TiN Films
Abstract
1. Introduction
2. Simulation Method
2.1. Model and Potential
2.2. Calculation and Analysis Method
3. Results and Discussion
3.1. Surface Quality
3.2. Interface Mixing
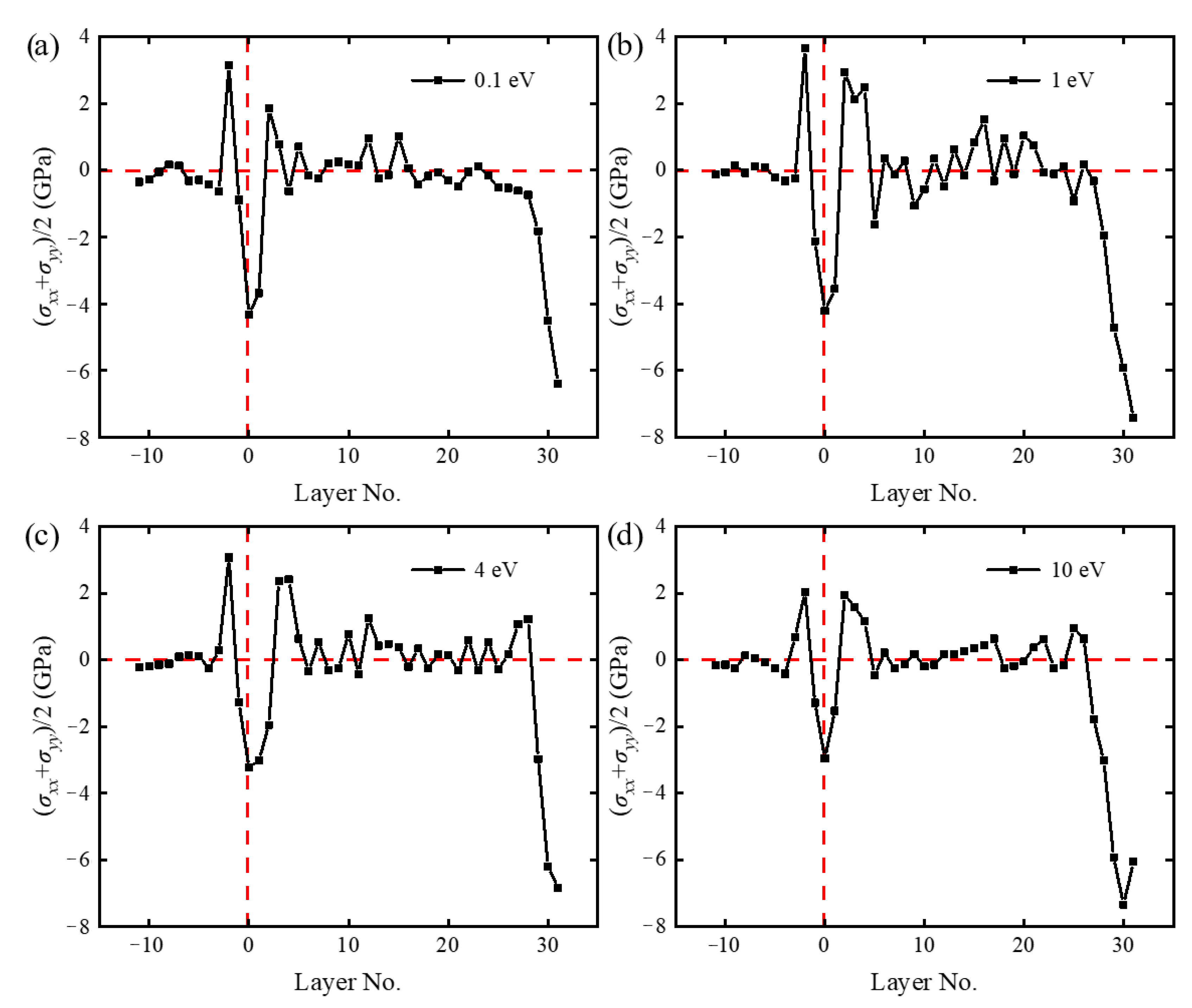
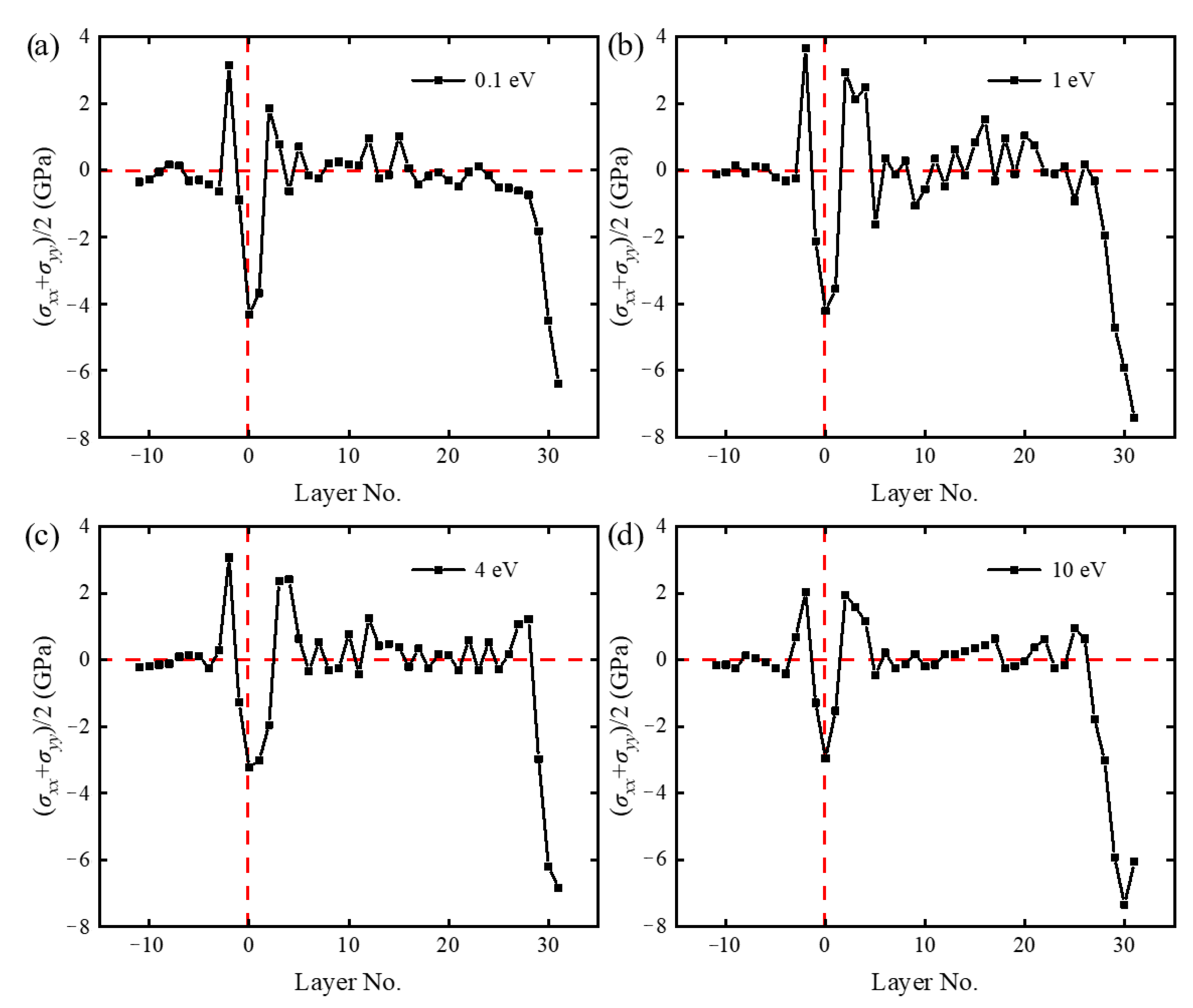
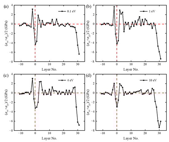
3.3. Internal Stress
4. Conclusions
- (1)
- The growth mode of TiN film is mainly determined by the incident energy. When the incident energy is low, TiN thin films grow as islands. When the incident energy is increased, the tin films grow in layers;
- (2)
- With the increase of incident energy from deposited Ti and N atoms, the roughness of TiN films decreases, and the oscillation amplitude of line roughness decreases;
- (3)
- The coverage of the middle layer is basically unchanged and is not affected by the incident energy, which is consistent with many binary alloy experiments;
- (4)
- With increasing incident energy, a compressive stress existed underlying the substrate-film interface due to the atom peening. The interface presents the attraction force caused by the lattice mismatch between the ordered substrate and the initially island-grown coatings. The tensile force of the atoms on the film surface is exerted by the internal, structurally arranged atoms.
Author Contributions
Funding
Institutional Review Board Statement
Informed Consent Statement
Data Availability Statement
Conflicts of Interest
References
- Vega, J.; Scheerer, H.; Andersohn, G.; Oechsner, M. Experimental studies of the effect of Ti interlayers on the corrosion resistance of TiN PVD coatings by using electrochemical methods. Corros. Sci. 2018, 133, 240–250. [Google Scholar] [CrossRef]
- Das, S.; Guha, S.; Ghadai, R.; Sharma, A. Influence of nitrogen gas over microstructural, vibrational and mechanical properties of CVD Titanium Nitride (TiN) thin film coating. Ceram. Int. 2021, 47, 16809–16819. [Google Scholar] [CrossRef]
- Lang, F.; Yu, Z. The corrosion resistance and wear resistance of thick TiN coatings deposited by arc ion plating. Surf. Coat. Technol. 2001, 145, 80–87. [Google Scholar] [CrossRef]
- Malvajerdi, S.S.; Malvajerdi, A.S.; Ghanaatshoar, M. Protection of CK45 carbon steel tillage tools using TiN coating deposited by an arc-PVD method. Ceram. Int. 2019, 45, 3816–3822. [Google Scholar] [CrossRef]
- Liu, C.; Bi, Q. A Matthews. EIS comparison on corrosion performance of PVD TiN and CrN coated mild steel in 0.5 N NaCl aqueous solution. Corros. Sci. 2001, 43, 1953–1961. [Google Scholar] [CrossRef]
- Krella, A. Resistance of PVD coatings to erosive and wear processes: A review. Coatings 2020, 10, 921. [Google Scholar] [CrossRef]
- Robustelli, P.; Piana, S.; Shaw, D.E. Developing a molecular dynamics force field for both folded and disordered protein states. Proc. Natl. Acad. Sci. USA 2018, 115, 4758–4766. [Google Scholar] [CrossRef]
- Jiang, Z.; You, L.; Dou, W.; Sun, T.; Xu, P. Effects of an electric field on the conformational transition of the protein: A molecular dynamics simulation study. Polymers 2019, 11, 282. [Google Scholar] [CrossRef]
- Gao, P.; Huang, Z.; Yu, H. Exploration of the dehydrogenation pathways of ammonia diborane and diammoniate of diborane by molecular dynamics simulations using reactive force fields. J. Phys. Chem. A 2020, 124, 1698–1704. [Google Scholar] [CrossRef]
- Xu, Z.; Zeng, Q.; Yuan, L.; Qin, Y.; Chen, M.; Shan, D. Molecular dynamics study of the interactions of incident N or Ti atoms with the tin (001) surface. Appl. Surf. Sci. 2016, 360, 946–952. [Google Scholar] [CrossRef]
- Hong, Z.H.; Hwang, S.F.; Fang, T.H. Atomic-level stress calculation and surface roughness of film deposition process using molecular dynamics simulation. Comput. Mater. Sci. 2010, 48, 520–528. [Google Scholar] [CrossRef]
- Hwang, S.F.; Li, Y.H.; Hong, Z.H. Molecular dynamic simulation for Cu cluster deposition on Si substrate. Comput. Mater. Sci. 2012, 56, 85–94. [Google Scholar] [CrossRef]
- Hong, Z.H.; Hwang, S.F.; Fang, T.H. The deposition of fe or Co clusters on Cu substrate by molecular dynamic simulation. Surf. Sci. 2011, 605, 46–53. [Google Scholar] [CrossRef]
- Kim, Y.M.; Lee, B.J. Modified embedded-atom method interatomic potentials for the Ti–C and Ti–N binary systems. Acta Mater. 2008, 56, 3481–3489. [Google Scholar] [CrossRef]
- Xu, Z.; Yuan, L.; Shan, D.; Guo, B. A molecular dynamics simulation of TiN film growth on TiN (0 0 1). Comput. Mater. Sci. 2011, 50, 1432–1436. [Google Scholar] [CrossRef]
- Panjan, P.; Drnovšek, A.; Terek, P.; Miletić, A.; Čekada, M.; Panjan, M. Comparative study of tribological behavior of TiN hard coatings deposited by various pvd deposition techniques. Coatings 2022, 12, 294. [Google Scholar] [CrossRef]
- Greczynski, G.; Mraz, S.; Schneider, J.M.; Hultman, L. Metal-ion subplantation: A game changer for controlling nanostructure and phase formation during film growth by physical vapor deposition. J. Appl. Phys. 2020, 127, 180901. [Google Scholar] [CrossRef]
- Lu, T.M.; Zhao, Y.P.; Drotar, J.T.; Karabacak, T.; Wang, G.C. Novel mechanisms on the growth morphology of films. MRS Proc. 2002, 749, 1–6. [Google Scholar] [CrossRef]
- Amini, H.; Gholizadeh, P.; Poursaeidi, E.; Davoodi, J. A molecular dynamics simulation of Ti–TiN multilayer deposition on FeCrnNi (001) alloy substrate. Vacuum 2021, 193, 110519. [Google Scholar] [CrossRef]
- Chu, C.J.; Chen, T.C. Surface properties of film deposition using molecular dynamics simulation. Surf. Coat. Technol. 2006, 201, 1796–1804. [Google Scholar] [CrossRef]
- Lee, S.G.; Chung, Y.C. Molecular-dynamics investigation of the surface characteristics of Fe–Cu magnetic thin-film layers. J. Vac. Sci. Technol. A 2008, 26, 1392–1396. [Google Scholar] [CrossRef]
- Kim, S.P.; Lee, S.C.; Lee, K.R.; Chung, Y.C. Asymmetric surface intermixing during thin-film growth in the Co–Al system: Role of local acceleration of the deposited atoms. Acta Mater. 2008, 56, 1011–1017. [Google Scholar] [CrossRef]
- Xi, Y.; Bai, Y.; Gao, K.; Pang, X.; Yang, H.; Yan, L.; Volinsky, A.A. Residual stress and microstructure effects on mechanical, tribological and electrical properties of TiN coatings on 304 stainless steel. Ceram. Int. 2018, 44, 15851–15858. [Google Scholar] [CrossRef]
- Zhu, G.; Sun, J.; Zhang, L.; Gan, Z. Molecular dynamics simulation of temperature effects on deposition of Cu film on Si by magnetron sputtering. J. Cryst. Growth 2018, 492, 60–66. [Google Scholar] [CrossRef]
- Cammarata, R.C. Surface and interface stress effects in thin films. Prog. Surf. Sci. 1994, 46, 1–38. [Google Scholar] [CrossRef]





| Incident energy (eV) | 0.1 | 1 | 4 | 10 |
| RMS roughness (Å) | 18.27 | 7.03 | 6.89 | 5.97 |
Disclaimer/Publisher’s Note: The statements, opinions and data contained in all publications are solely those of the individual author(s) and contributor(s) and not of MDPI and/or the editor(s). MDPI and/or the editor(s) disclaim responsibility for any injury to people or property resulting from any ideas, methods, instructions or products referred to in the content. |
© 2023 by the authors. Licensee MDPI, Basel, Switzerland. This article is an open access article distributed under the terms and conditions of the Creative Commons Attribution (CC BY) license (https://creativecommons.org/licenses/by/4.0/).
Share and Cite
Li, J.; Lin, J.; Ma, Q.; Luan, H.; Zhu, L.; Bai, R.; Dong, G.; Wang, D.; Guan, Y.; Zhang, X. Molecular Dynamics Simulation of the Incident Energy Effect on the Properties of TiN Films. Coatings 2023, 13, 794. https://doi.org/10.3390/coatings13040794
Li J, Lin J, Ma Q, Luan H, Zhu L, Bai R, Dong G, Wang D, Guan Y, Zhang X. Molecular Dynamics Simulation of the Incident Energy Effect on the Properties of TiN Films. Coatings. 2023; 13(4):794. https://doi.org/10.3390/coatings13040794
Chicago/Turabian StyleLi, Jiao, Jun Lin, Qingyuan Ma, Hanxiao Luan, Lihua Zhu, Ruqing Bai, Guiwei Dong, Diangang Wang, Yanjin Guan, and Xiaocui Zhang. 2023. "Molecular Dynamics Simulation of the Incident Energy Effect on the Properties of TiN Films" Coatings 13, no. 4: 794. https://doi.org/10.3390/coatings13040794
APA StyleLi, J., Lin, J., Ma, Q., Luan, H., Zhu, L., Bai, R., Dong, G., Wang, D., Guan, Y., & Zhang, X. (2023). Molecular Dynamics Simulation of the Incident Energy Effect on the Properties of TiN Films. Coatings, 13(4), 794. https://doi.org/10.3390/coatings13040794
