The Effects of Urea and Caprolactam on the Diffusion Behavior of Water in Polyvinyl Alcohol (PVA): A Molecular Dynamics Simulation Study
Abstract
1. Introduction
2. Materials, Models and Computational Details
2.1. Molecular and Single Chain
2.2. Amorphous Cell Packing and Annealing
2.3. Further Equilibration
3. Results and Discussion
3.1. Diffusibility of Water Molecules
3.2. Interaction Energy
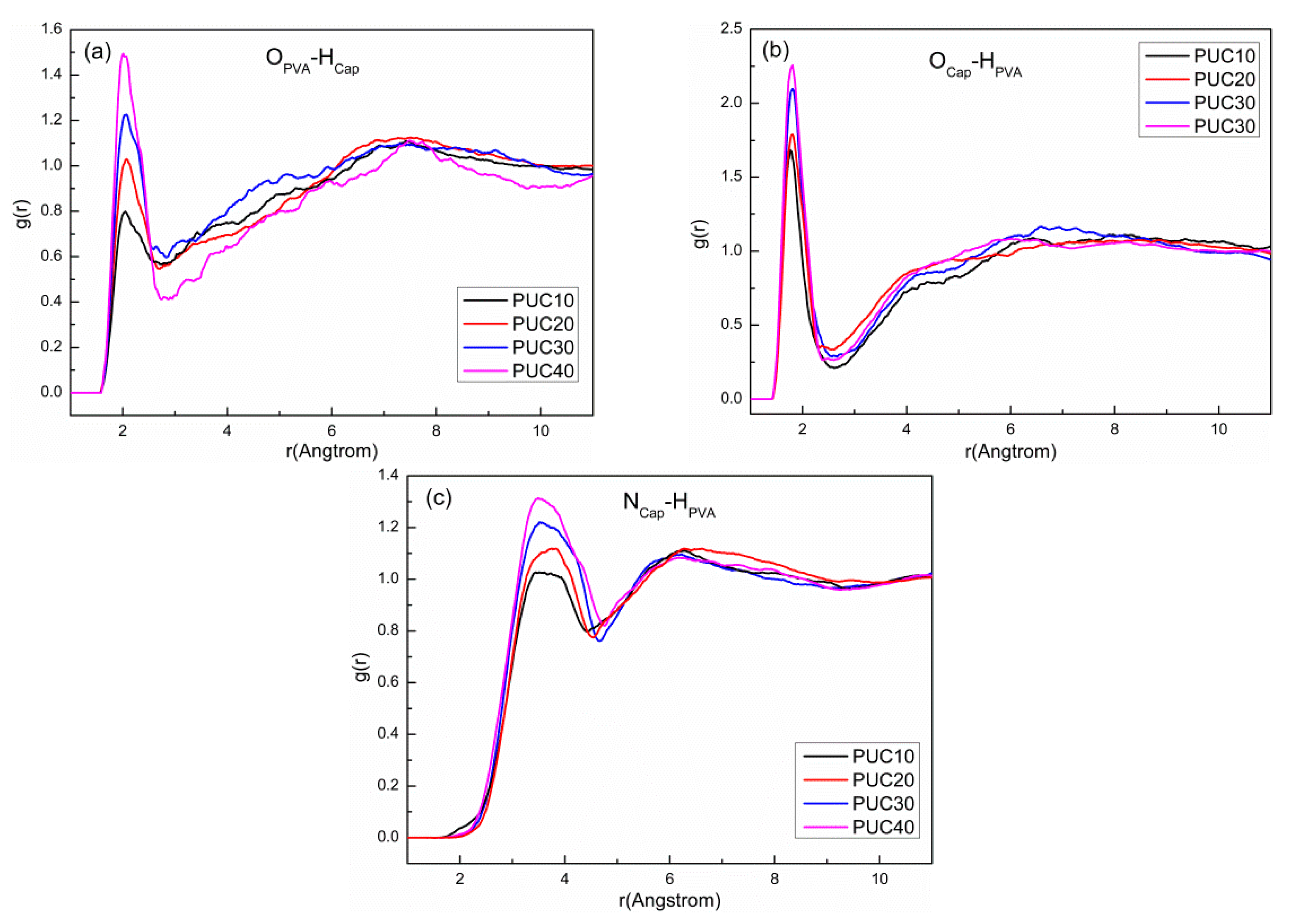
3.3. Radial Distribution Function
3.4. Rotational Time Correlation Function
4. Conclusions
Author Contributions
Funding
Institutional Review Board Statement
Informed Consent Statement
Data Availability Statement
Conflicts of Interest
References
- Alexandre, M.A.; Dantras, E.; Lacabanne, C.; Perez, E.; Franceschi, S.; Coudeyre, D.J. Effect of PEKK oligomers sizing on the dynamic mechanical behavior of poly(ether ketone ketone)/carbon fiber composites. Appl. Polym. Sci. 2020, 137, 48818. [Google Scholar] [CrossRef]
- Daminabo, S.C.; Goel, S.; Grammatikos, S.A.; Nezhad, H.Y.; Thakur, V.K. Fused deposition modeling-based additive manufacturing (3D printing): Techniques for polymer material systems. Mater. Today Chem. 2020, 16, 100248. [Google Scholar] [CrossRef]
- Huang, J.Q.; Chen, Q.; Jiang, H.; Zou, B.; Li, L.; Liu, J.K.; Yu, H.C. A survey of design methods for material extrusion polymer 3D printing. Virtual Phys. Prototyp. 2020, 15, 148–162. [Google Scholar] [CrossRef]
- Reichard, D.; Gern, M.; Funke, I.; Bodenstedt, S.; Kenngott, H.; Muller-Stich, B.P.; Pylatiuk, C.; Dillmann, R.; Speidel, S. Using water-soluble additive manufacturing for cheap and soft silicon organ models. SPIE Med. Imaging Conf. 2018, 10576. [Google Scholar] [CrossRef]
- Song, J.X.; Zhou, M.J.; Yi, R.; Xu, T.; Gordin, M.L.; Tang, D.H.; Yu, Z.X.; Regula, M.; Wang, D.H. Interpenetrated Gel Polymer Binder for High-Performance Silicon Anodes in Lithium-ion Batteries. Adv. Funct. Mater. 2014, 24, 5904–5910. [Google Scholar] [CrossRef]
- Wan, W.K.; Bannerman, A.D.; Yang, L.F.; Mak, H. Poly(Vinyl Alcohol) Cryogels for Biomedical Applications. In Advances in Polymer Science; Okay, O., Ed.; Springer: Berlin/Heidelberg, Germany, 2014; pp. 283–321. [Google Scholar]
- Haque, A.M.A.; Zhang, Y.; Naebe, M. A review on lignocellulose/poly (vinyl alcohol) composites: Cleaner approaches for greener materials. Cellulose 2021, 28, 10741–10764. [Google Scholar] [CrossRef]
- Teodorescu, M.; Bercea, M.; Morariu, S. Biomaterials of Poly(vinyl alcohol) and Natural Polymers. Polym. Rev. 2018, 58, 247–287. [Google Scholar] [CrossRef]
- Teodorescu, M.; Bercea, M.; Morariu, S. Biomaterials of PVA and PVP in medical and pharmaceutical applications: Perspectives and challenges. Biotechnol. Adv. 2019, 37, 109–131. [Google Scholar] [CrossRef]
- Ni, F.; Wang, G.; Zhao, H.J. Fabrication of water-soluble poly(vinyl alcohol)-based composites with improved thermal behavior for potential three-dimensional printing application. J. Appl. Polym. Sci. 2017, 134, 44966. [Google Scholar] [CrossRef]
- Nguyen, D.A.; Fogler, H.S. Facilitated Diffusion in the Dissolution of Carboxylic Polymers. AICHE J. 2005, 51, 415–425. [Google Scholar] [CrossRef]
- Cao, Z.H.; Kovenklioglu, S.; Kalyon, D.M.; Yazici, R. Experimental investigation and modeling of the dissolution of polymers and filled polymers. Polym. Eng. Sci. 1998, 38, 90–100. [Google Scholar] [CrossRef]
- Hansen, C.M. Aspects of Solubility, Surfaces, and Diffusion in Polymers. Prog. Org. Coat. 2004, 51, 55–66. [Google Scholar] [CrossRef]
- Frost, J.M.; Walsh, A. What is Moving in Hybrid Halide Perovskite Solar Cells? Acc. Chem. Res. 2016, 49, 528–535. [Google Scholar] [CrossRef]
- Sun, Z.; Li, X.F.; Liu, W.Y.; Zhang, T.; He, M.X.; Nasrabadi, H. Molecular dynamics of methane flow behavior through realistic organic nanopores under geologic shale condition: Pore size and kerogen types. Chem. Eng. J. 2020, 398, 124341. [Google Scholar] [CrossRef]
- Yang, Y.F.; Liu, J.; Yao, J.; Kou, J.L.; Li, Z.; Wu, T.H.; Zhang, K.; Zhang, L.; Sun, H. Adsorption behaviors of shale oil in kerogen slit by molecular simulation. Chem. Eng. J. 2020, 387, 124054. [Google Scholar] [CrossRef]
- Zhao, X.; Jin, H.; Chen, Y.N.; Ge, Z.W. Numerical study of H2, CH4, CO, O2 and CO2 diffusion in water near the critical point with molecular dynamics simulation. Comput. Math. Appl. 2021, 81, 759–771. [Google Scholar] [CrossRef]
- Xu, B.; Chen, Z.Q. Formaldehyde diffusion within crystalline and amorphous cellulose at different temperatures and electric fields: A molecular dynamics study. Indoor Built Environ. 2019, 28, 175–185. [Google Scholar] [CrossRef]
- Zhang, N.; Shen, Z.; Chen, C.; He, G.; Hao, C. Effect of hydrogen bonding on self-diffusion in methanol/water liquid mixtures: A molecular dynamics simulation study. J. Mol. Liq. 2015, 203, 90–97. [Google Scholar] [CrossRef]
- Zeng, C.; Li, J.; Wang, D.; Chen, T.; Zhao, C.; Chen, C. Infinite Dilute Activity and Diffusion Coefficients in Polymers by Inverse Gas Chromatography. J. Chem. Eng. Data 2006, 51, 93–98. [Google Scholar] [CrossRef]
- Khani, M.; Materzok, T.; Eslami, H.; Gorb, S.; Muller-Plathe, F. Water uptake by gecko β-keratin and the influence of relative humidity on its mechanical and volumetric properties. J. R. Soc. Interface 2022, 19, 20220372. [Google Scholar] [CrossRef]
- Eslami, H.; Materzok, T.; Muller-Plathe, F. Molecular Structure and Dynamics in Wet Gecko β-Keratin. ACS Biomater. Sci. Eng. 2023, 9, 257–268. [Google Scholar] [CrossRef] [PubMed]
- Kärger, J.; Binder, T.; Chmelik, C.; Hibbe, F.; Krautscheid, H.; Krishna, R.; Weitkamp, J. Microimaging of transient guest profiles to monitor mass transfer in nanoporous materials. Nat. Mater. 2014, 13, 333–343. [Google Scholar] [CrossRef]
- Krishna, R. Describing the Diffusion of Guest Molecules Inside Porous Structures. J. Phys. Chem. C 2009, 113, 19756–19781. [Google Scholar] [CrossRef]
- Krishna, R.; van Baten, J.M. Influence of adsorption thermodynamics on guest diffusivities in nanoporous crystalline materials. Phys. Chem. Chem. Phys. 2013, 15, 7994–8016. [Google Scholar] [CrossRef] [PubMed]
- Wei, Q.; Zhang, Y.; Wang, Y.; Chai, W.; Yang, M.; Zeng, W.; Wang, M. Study of the effects of water content and temperature on polyacrylamide/polyvinyl alcohol interpenetrating network hydrogel performance by a molecular dynamics method. e-Polymers 2015, 15, 301–309. [Google Scholar] [CrossRef]









| Amorphous Cell | |||||
|---|---|---|---|---|---|
| PUC0 | PUC10 | PUC20 | PUC30 | PUC40 | |
| Number of urea molecules | 0 | 4 | 8 | 12 | 16 |
| Number of caprolactam molecules | 0 | 2 | 4 | 6 | 8 |
| Sample | Final Converged Density | Cell Length | Cell Volume |
|---|---|---|---|
| PUC0 | 1.191 | 23.65 | 13,230.73 |
| PUC10 | 1.182 | 24.12 | 14,032.40 |
| PUC20 | 1.166 | 24.60 | 14,886.94 |
| PUC30 | 1.150 | 25.08 | 15,775.48 |
| PUC40 | 1.137 | 25.53 | 16,639.97 |
| Sample | EPU | EPW | EWU | EPW + EWU |
|---|---|---|---|---|
| PUC0 | 0 | −158.45 | 0 | −158.45 |
| PUC10 | −160.28 | −141.13 | −4.99 | −146.12 |
| PUC20 | −252.89 | −116.91 | −21.80 | −138.71 |
| PUC30 | −432.45 | −101.57 | −27.10 | −128.67 |
| PUC40 | −505.41 | −85.84 | −35.86 | −121.70 |
Disclaimer/Publisher’s Note: The statements, opinions and data contained in all publications are solely those of the individual author(s) and contributor(s) and not of MDPI and/or the editor(s). MDPI and/or the editor(s) disclaim responsibility for any injury to people or property resulting from any ideas, methods, instructions or products referred to in the content. |
© 2023 by the authors. Licensee MDPI, Basel, Switzerland. This article is an open access article distributed under the terms and conditions of the Creative Commons Attribution (CC BY) license (https://creativecommons.org/licenses/by/4.0/).
Share and Cite
Ni, F.; Zhang, S.; Pan, Y.; Xu, S.; Zheng, W.; Hu, X. The Effects of Urea and Caprolactam on the Diffusion Behavior of Water in Polyvinyl Alcohol (PVA): A Molecular Dynamics Simulation Study. Coatings 2023, 13, 762. https://doi.org/10.3390/coatings13040762
Ni F, Zhang S, Pan Y, Xu S, Zheng W, Hu X. The Effects of Urea and Caprolactam on the Diffusion Behavior of Water in Polyvinyl Alcohol (PVA): A Molecular Dynamics Simulation Study. Coatings. 2023; 13(4):762. https://doi.org/10.3390/coatings13040762
Chicago/Turabian StyleNi, Fei, Sen Zhang, Yuefei Pan, Shubo Xu, Wei Zheng, and Xinzhi Hu. 2023. "The Effects of Urea and Caprolactam on the Diffusion Behavior of Water in Polyvinyl Alcohol (PVA): A Molecular Dynamics Simulation Study" Coatings 13, no. 4: 762. https://doi.org/10.3390/coatings13040762
APA StyleNi, F., Zhang, S., Pan, Y., Xu, S., Zheng, W., & Hu, X. (2023). The Effects of Urea and Caprolactam on the Diffusion Behavior of Water in Polyvinyl Alcohol (PVA): A Molecular Dynamics Simulation Study. Coatings, 13(4), 762. https://doi.org/10.3390/coatings13040762

