Preparation, Microstructure, and Interface Quality of Cr3C2-NiCr Cladding Layer on the Surface of Q235 Steel
Abstract
1. Introduction
2. Experimental
2.1. Materials
2.2. Laser Cladding Process
2.3. Microstructure Characterization
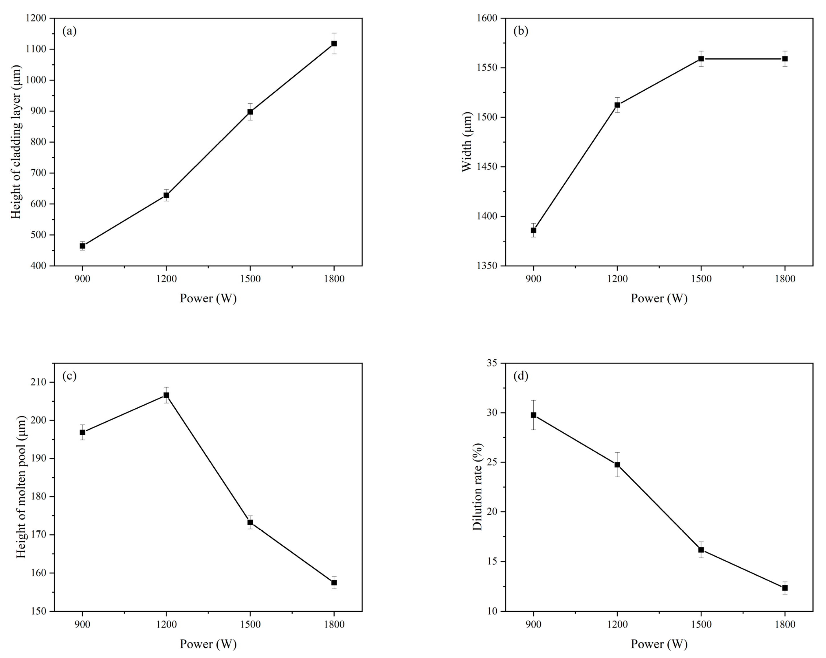
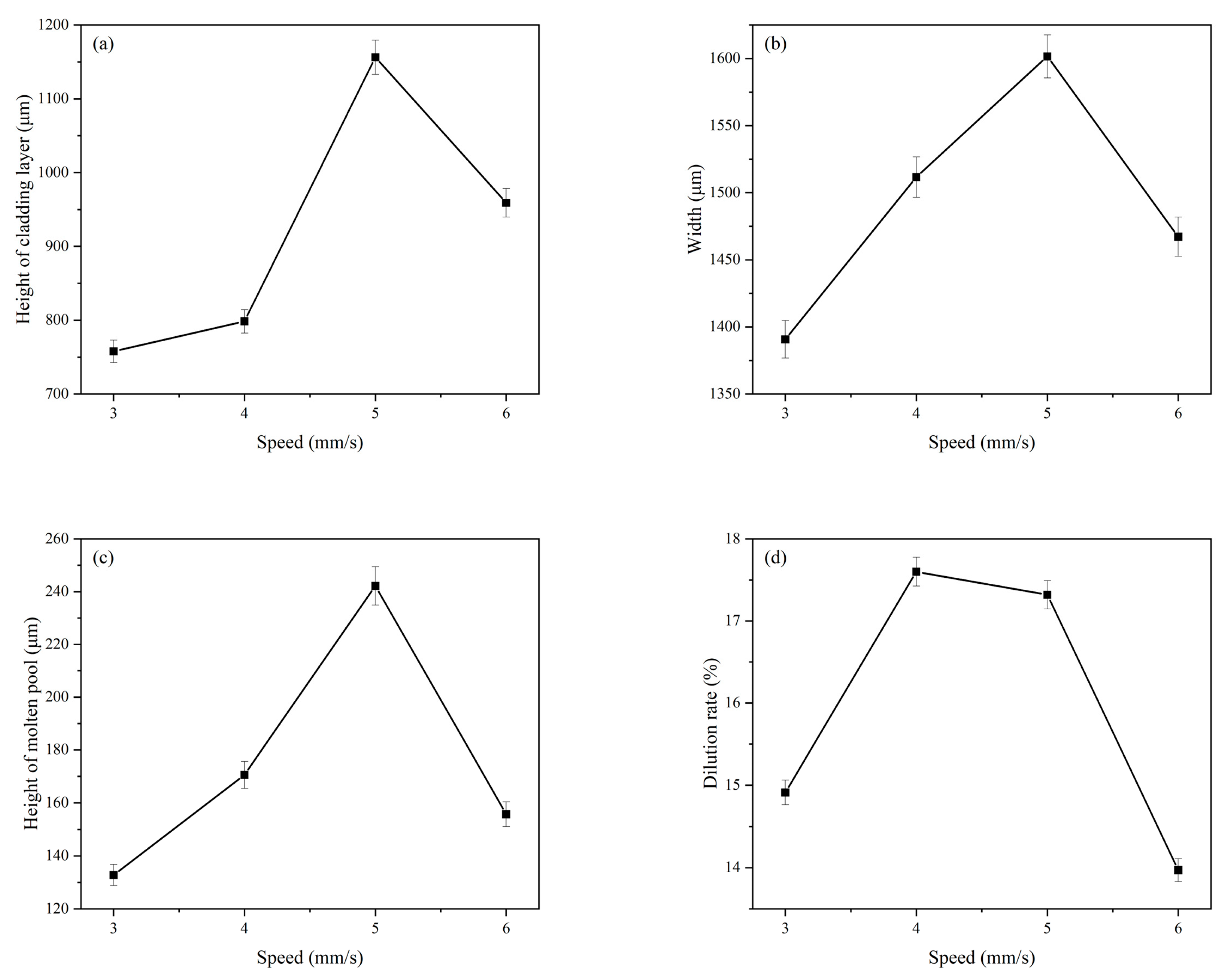
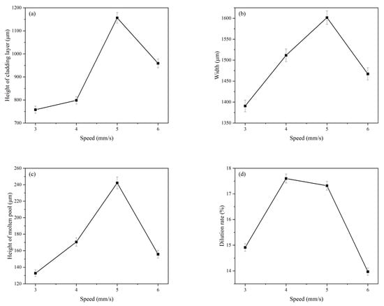
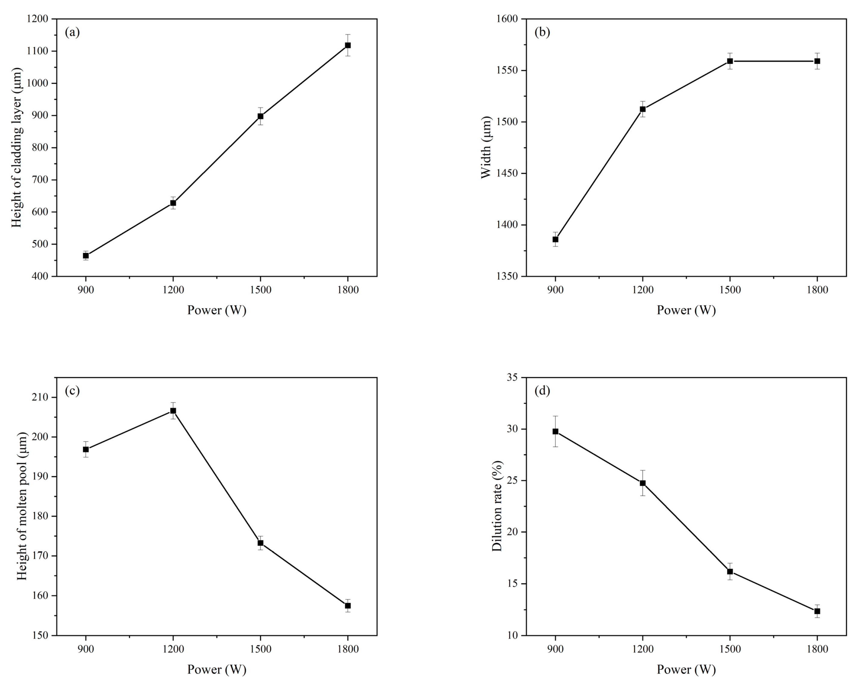
3. Results and Discussion
4. Conclusions
- (1)
- Fe, Cr, and Ni were diffused distinctly between the cladding layer and the matrix. There was an obvious transition layer at the interface of the Cr3C2-NiCr cladding layer and Q235 steel, indicating that the Cr3C2-NiCr cladding layer had an adequate metallurgical bond with the matrix.
- (2)
- The thickness of the interfacial layer increased and the interface smoothness improved with the increase in the laser power. The maximum thickness of the transition layer was about 50 μm for the 1500 W sample. The maximum thickness of the transition layer was about 50 μm for the 6 mm/s sample, and the weld heat affected zone was smaller and it was proven that the productivity can be effectively improved. The sample with a 40% overlap rate exhibited the best flatness.
- (3)
- The optimal laser power, scanning speed, and overlap rate of the Cr3C2-NiCr/Q235 steel were 1500 W, 6 mm/s, and 40%, respectively. These parameters had the interface with adequate metallurgical bonding.
Author Contributions
Funding
Institutional Review Board Statement
Informed Consent Statement
Data Availability Statement
Conflicts of Interest
References
- Glaeser, W.A. Lasers in surface engineering. Tribol. Int. 1999, 32, 749. [Google Scholar] [CrossRef]
- Zhong, M.; Liu, W. Laser surface cladding: The state of the art and challenges. Proc. Inst. Mech. Eng. Part C J. Mech. Eng. Sci. 2010, 224, 1041–1060. [Google Scholar] [CrossRef]
- Vreeling, J.A.; Ocelík, V.; De Hosson, J.T.M. Ti-6Al-4V strengthened by laser melt injection of WCp particles. Acta Mater. 2002, 50, 4913–4924. [Google Scholar] [CrossRef]
- Majumdar, J.D.; Chandra, B.R.; Mordike, B.L.; Galun, R.; Manna, I. Laser surface engineering of a magnesium alloy with Al+Al2O3. Surf. Coat. Technol. 2004, 179, 297–305. [Google Scholar] [CrossRef]
- Sahay, S.S.; Ravichandran, K.S.; Atri, R.; Chen, B.; Rubin, J. Evolution of microstructure and phases in insitu processed Ti-TiB composites containing high volume fractions of TiB whiskers. J. Mater. Res. 1999, 14, 4214–4223. [Google Scholar] [CrossRef]
- Amado, J.M.; Tobar, M.J.; Alvarez, J.C.; Lamas, J.; Yáñez, A. Laser cladding of tungsten carbides (Spherotene®) hardfacing alloys for the mining and mineral industry. Appl. Surf. Sci. 2009, 255, 5553–5556. [Google Scholar] [CrossRef]
- Yang, Y.Q. Microstructure and properties of laser-clad high-temperature wear-resistant alloys. Appl. Surf. Sci. 1999, 140, 19–23. [Google Scholar] [CrossRef]
- Zhou, S.F.; Dai, X.Q. Laser induction hybrid rapid cladding of WC particles reinforced NiCrBSi composite coatings. Appl. Surf. Sci. 2010, 256, 4708–4714. [Google Scholar] [CrossRef]
- Liu, Y.H.; Guo, Z.X.; Yang, Y.; Wang, H.Y.; Hu, J.D.; Li, Y.X.; Chumakov, A.N.; Bosak, N.A. Laser (a pulsed Nd: YAG) cladding of AZ91D magnesium alloy with Al and Al2O3 powders. Appl. Surf. Sci. 2006, 4, 1722–1728. [Google Scholar] [CrossRef]
- Wood, R.J.K. Tribo-corrosion of coatings: A Review. J. Phys. D Appl. Phys. A Europhys. J. 2007, 40, 5502–5521. [Google Scholar] [CrossRef]
- Bergmann, C.P.; Vicenzi, J. Protection against erosive wear using thermal sprayed cermet: A Review. In Protection against Erosive Wear Using Thermal Sprayed Cermet; Springer: Berlin, Germany, 2011; Volume 1, pp. 1–77. [Google Scholar]
- Chang, C.; Verdi, D.; Garrido, M.A.; Ruiz-Hervias, J. Micro-scale mechanical characterization of Inconel cermet coatings deposited by laser cladding. Bol. Soc. Esp. Ceram. Vidr. 2016, 55, 136–142. [Google Scholar] [CrossRef]
- Matthews, S.J.; James, B.J.; Hyland, M.M. Microstructural influence on erosion behaviour of thermal spray coatings. Mater. Charact. 2007, 58, 59–64. [Google Scholar] [CrossRef]
- Lin, L.; Li, G.L.; Wang, H.D.; Kang, J.J.; Xu, Z.L.; Wang, H.J. Structure and wear behavior of NiCr–Cr3C2 coatings sprayed by supersonic plasma spraying and high velocity oxy-fuel technologies. Appl. Surf. Sci. 2015, 356, 383–390. [Google Scholar] [CrossRef]
- Gnanasekaran, S.; Padmanaban, G.; Balasubramanian, V.; Kumar, H.; Albert, S.K. Laser hardfacing of colmonoy-5 (Ni-Cr-Si-B-C) powder onto 316LN austenitic stainless steel: Effect of powder feed rate on microstructure. Mech. Prop. Tribol. Behav. 2019, 42, 283–302. [Google Scholar]
- Kathuria, Y.P. Nd-YAG laser cladding of Cr3C2 and TiC cermets. Surf. Coat. Technol. 2001, 140, 195–199. [Google Scholar] [CrossRef]
- Wang, K.M.; Fu, H.G.; Liang, Y.P.; Suo, Z.Q.; Pengfei, M. A study of laser cladding NiCrBSi/Mo composite coatings. Surf. Eng. 2018, 34, 267–275. [Google Scholar]
- Betts, J.C. The direct laser deposition of AlSi316 stainless steel and Cr3C2 powder. J. Mater. Process. Technol. 2009, 209, 5229–5238. [Google Scholar] [CrossRef]
- Liu, X.B.; Gu, Y.J. Plasma jet clad γ/Cr7C3 composite coating on steel. Mater. Lett. 2006, 60, 577–580. [Google Scholar] [CrossRef]
- Jeyaprakash, N.; Yang, C.H.; Duraiselvam, M.; Prabu, G. Microstructure and tribological evolution during laser alloying WC-12%Co and Cr3C2-25%NiCr powders on nodular iron surface. Results Phys. 2009, 12, 1610–1620. [Google Scholar] [CrossRef]
- Lou, D.Y.; Yang, K.; Mei, S.; Liu, Q.C.; Cheng, J.; Yang, Q.B.; Liu, D.; He, C.L. The effect of laser scanning speed on microstructure and performance of Cr3C2-NiCr cermet fabricated by in-situ laser cladding. Mater. Sci. 2021, 27, 167–174. [Google Scholar] [CrossRef]
- Leo, J.; Lutz-Michael, B.; Jonas, N.; Richard, T.; Sven, T.; Christian, T.; Ville, M.; Petri, V. Improving the high temperature abrasion resistance of thermally sprayed Cr3C2-NiCr coatings by WC addition. Surf. Coat. Technol. 2018, 10, 337. [Google Scholar]
- Zhang, D.W.; Lei, T.C.; Li, F.J. Laser cladding of stainless steel with Ni–Cr3C2 for improved wear performance. Wear 2001, 251, 1372–1376. [Google Scholar] [CrossRef]
- Venkatesh, L.; Samajdar, I.; Tak, M.; Gundakaram, R.C.; Joshi, S.V. Process parameter impact on microstructure of laser clad inconel-chromium carbide layers. Mater. Sci. Forum 2012, 702–703, 963–966. [Google Scholar] [CrossRef]
- Morimoto, J.; Sasaki, Y.; Fukuhara, S.; Abe, N.; Tukamoto, M. Surface modification of Cr3C2-NiCr cermet coatings by direct diode laser. Vacuum 2006, 80, 1400–1405. [Google Scholar] [CrossRef]
- Zhang, D.W.; Lei, T.C. The microstructure and erosive-corrosive wear performance of laser-clad Ni-Cr3C2 composite coating. Wear 2003, 255, 129–133. [Google Scholar] [CrossRef]
- Zhang, D.W.; Zhang, X.P. Laser cladding of stainless steel with Ni-Cr3C2 and Ni-WC for improving erosive-corrosive wear performance. Surf. Coat. Technol. 2005, 190, 212–217. [Google Scholar] [CrossRef]
- Liu, X.B.; Wang, H.M. Modification of tribology and high-temperature behavior of Ti-48Al-2Cr-2Nb intermetallic alloy by laser cladding. Appl. Surf. Sci. 2006, 252, 5735–5744. [Google Scholar] [CrossRef]
- Rashid, R.R.; Abaspour, S.; Palanisamy, S.; Matthews, N.; Dargusch, M. Metallurgical and geometrical characterisation of the 316L stainless steel clad deposited on a mild steel substrate. Surf. Coat. Technol. 2017, 327, 174–184. [Google Scholar] [CrossRef]
- Barr, C.; Rashid, R.A.R.; Da Sun, S.; Easton, M.; Palanisamy, S.; Orchowski, N.; Matthews, N.; Walker, K.; Brandt, M. Role of deposition strategy and fill depth on the tensile and fatigue performance of 300 M repaired through laser directed energy deposition. Int. J. Fatigue 2021, 146, 106135. [Google Scholar] [CrossRef]
- Rashid, R.A.R.; Nazari, K.A.; Barr, C.; Palanisamy, S.; Orchowski, N.; Matthews, N.; Dargusch, M.S. Effect of laser reheat post-treatment on the microstructural characteristics of laser-cladded ultra-high strength steel. Surf. Coat. Technol. 2019, 372, 93–102. [Google Scholar] [CrossRef]
- Li, G.X.; Rashid, R.A.R.; Ding, S.L.; Sun, S. Machinability Analysis of Finish-Turning Operations for Ti6Al4V Tubes Fabricated by Selective Laser Melting. Metals 2022, 12, 806. [Google Scholar] [CrossRef]
- Venkatesh, L.; Samajdar, I.; Tak, M.; Doherty, R.D.; Gundakaram, R.C.; Prasad, K.S.; Joshi, S.V. Microstructure and phase evolution in laser clad chromium carbide-NiCrMoNb. Appl. Surf. Sci. 2015, 357, 2391–2401. [Google Scholar] [CrossRef]
- Zhai, W.Y.; Gao, Y.M.; Huang, Z.F.; He, L. Cr3C2–20%Ni cermets prepared by high energy milling and reactive sintering, and their mechanical properties. Adv. Appl. Ceram. 2016, 115, 327–332. [Google Scholar] [CrossRef]
- Zhai, W.Y. Influence of molybdenum content and load on the tribological behaviors of in-situ Cr3C2-20 wt % Ni composites. J. Alloys Compd. 2020, 826, 154180. [Google Scholar] [CrossRef]
- Sun, L.; Hui, W.; Xu, L.; Zhai, W.; Dong, H.; Wang, Y.; He, L.; Peng, J. Interface characterization and mechanical properties of Mo-added chromium carbide-nickel composite. Ceram. Int. 2020, 46, 27071–27079. [Google Scholar] [CrossRef]
- Li, Z.B. Study on Microstructure and Properties of Ni Based Composite Powder Laser Cladding. Master’s Thesis, Shandong University, Jinan, China, 2013. (In Chinese). [Google Scholar]
- Soria-Biurrun, T.; Lozada-Cabezas, L.; Ibarreta-Lopez, F.; Martinez-Pampliega, R.; Sanchez-Moreno, J.M. Effect of chromium and carbon contents on the sintering of WC-Fe-Ni-Co-Cr multicomponent alloys. Int. J. Refract. Met. Hard Mater. 2020, 92, 105317. [Google Scholar] [CrossRef]
- Wu, Q.L.; Zhang, H.T.Z.Z.H.; Hu, P.; Fan, C.H.; Zhong, N.; Liu, Y. High-temperature wear and cyclic oxidation behavior of (Ti, W) C reinforced stainless steel coating deposited by PTA on a plain carbon steel. Surf. Coat. Technol. 2021, 425, 127736. [Google Scholar] [CrossRef]
- Du, Y.J.; Xiong, J.T.; Jin, F.; Li, S.W.; Yuan, L.; Feng, D.; Shi, J.M.; Li, J.L. Microstructure evolution and mechanical properties of diffusion bonding Al5(TiZrHfNb)95 refractory high entropy alloy to Ti2AlNb alloy. Mater. Sci. Eng. A 2021, 802, 140610. [Google Scholar] [CrossRef]











| C | P | S | Mn | Si | Fe |
|---|---|---|---|---|---|
| 0.17–0.24 | ≤0.03 | ≤0.03 | 0.35–0.65 | 0.17–0.37 | Bal. |
| Power/W | Scan Velocity/(mm·s−1) | Feeding Velocity/(g·min−1) | Ar Flow/(L·min−1) |
|---|---|---|---|
| 900 | 5 | 13.5 | 5 |
| 1200 | |||
| 1500 | |||
| 1800 |
| Power/W | Scan Velocity/(mm·s−1) | Feeding Velocity/(g·min−1) | Ar Flow/(L·min−1) |
|---|---|---|---|
| 1500 | 3 | 13.5 | 5 |
| 4 | |||
| 5 | |||
| 6 |
| Overlap Rate | Power/W | Scan Velocity/(mm·s−1) | Feeding Velocity/(g·min−1) | Ar Flow/(L·min−1) |
|---|---|---|---|---|
| 60% | 1500 | 6 | 13.5 | 5 |
| 50% | ||||
| 40% |
| Point | C/(wt. %) | Cr/(wt. %) | Ni/(wt. %) |
|---|---|---|---|
| 1 | 36.76 | 56.39 | 6.85 |
| 2 | 22.76 | 65.00 | 12.24 |
| 3 | 12.46 | 46.39 | 41.15 |
Disclaimer/Publisher’s Note: The statements, opinions and data contained in all publications are solely those of the individual author(s) and contributor(s) and not of MDPI and/or the editor(s). MDPI and/or the editor(s) disclaim responsibility for any injury to people or property resulting from any ideas, methods, instructions or products referred to in the content. |
© 2023 by the authors. Licensee MDPI, Basel, Switzerland. This article is an open access article distributed under the terms and conditions of the Creative Commons Attribution (CC BY) license (https://creativecommons.org/licenses/by/4.0/).
Share and Cite
Zhai, W.; Nan, J.; Sun, L.; Wang, Y.; Wang, S. Preparation, Microstructure, and Interface Quality of Cr3C2-NiCr Cladding Layer on the Surface of Q235 Steel. Coatings 2023, 13, 676. https://doi.org/10.3390/coatings13040676
Zhai W, Nan J, Sun L, Wang Y, Wang S. Preparation, Microstructure, and Interface Quality of Cr3C2-NiCr Cladding Layer on the Surface of Q235 Steel. Coatings. 2023; 13(4):676. https://doi.org/10.3390/coatings13040676
Chicago/Turabian StyleZhai, Wenyan, Jiajun Nan, Liang Sun, Yiran Wang, and Shiqing Wang. 2023. "Preparation, Microstructure, and Interface Quality of Cr3C2-NiCr Cladding Layer on the Surface of Q235 Steel" Coatings 13, no. 4: 676. https://doi.org/10.3390/coatings13040676
APA StyleZhai, W., Nan, J., Sun, L., Wang, Y., & Wang, S. (2023). Preparation, Microstructure, and Interface Quality of Cr3C2-NiCr Cladding Layer on the Surface of Q235 Steel. Coatings, 13(4), 676. https://doi.org/10.3390/coatings13040676

