Effect of Powder Recycling on the Organization and Mechanical Properties of GH4169 Alloy by Laser Metal Deposition
Abstract
1. Introduction
2. Materials and Methods
3. Analysis and Discussion
3.1. Powder Characterization for Different Recycling Times
3.2. Microstructure Analysis of Powder Deposition Samples with Different Recycling Times
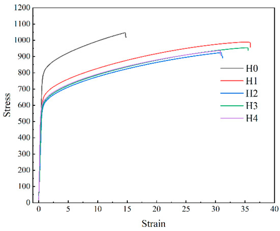
3.3. Mechanical Properties of Powder Deposited Samples with Different Number of Cycles
4. Conclusions
- the recycling process increased the average particle size of the powder, some of the powders were accompanied by burnout bonding, and the content of Nb elements in the powder increased with the increase of the number of cycles.
- powder recycling affects the microstructure of the deposited samples, the columnar crystal in the deposited sample is overgrown after recycling, and the percentage of Laves phase in the deposited sample of the recycled powder increases from 6.12% of the original powder to 8.35% after four cycles, the dendrite arm spacing increased from 6.32 µm in the original powder to 8.47 µm after four cycles.
- powder recycling affects the number of pore defects in the deposited sample, and the number of pores and pore size in the deposited samples increase significantly after the powder is recycled.
- The recycling process reduced the tensile strength of the deposited sample from 1046 MPa of the original powder to 936 MPa after four cycles, but the ductility of the deposited sample increased.
Author Contributions
Funding
Institutional Review Board Statement
Informed Consent Statement
Data Availability Statement
Conflicts of Interest
References
- Liu, Y.; Gong, X.; Zhao, X.; Cao, Y.; Zhang, Y. Microstructure and tensile property of laser melting deposited GH4169 alloy. Heat Treat. Met. 2015, 40, 91–98. [Google Scholar]
- Sun, X. Analysis of melt pool morphology and porosity defect of GH4169 alloy fabricated by selective laser melting. Master’s Thesis, Harbin Institute of Technology, Harbin, China, 2018. [Google Scholar]
- Hu, Z.; Liu, L.; Jin, T.; Sun, X. Development of the Ni-base single crystal superalloys. Aeroengine 2005, 31, 1–7. [Google Scholar]
- Xie, X.; Dong, J.; Fu, S.; Zhang, M. Research and development of γ″ and γ′strengthened ni-fe base superalloy gh4169. Acta Metall. Sin. 2010, 46, 1289–1302. [Google Scholar] [CrossRef]
- Wang, H.; Li, A.; Zhang, L.; Wang, X.; Jing, L.; Han, T. Mechanical properties of titanium alloy TA15 fabr-icated by laser melting deposition manufacturing. Aeronaut. Manuf. Technol. 2008, 7, 26–27. [Google Scholar]
- Liang, J.; Yang, Y.; Zhou, Y.; Li, J.; Wang, L.; Jin, T.; Sun, X. Microstructures of Nickel-base single-crystal superalloy prepared by laser solid forming. Rare Met. Mater. Eng. 2017, 46, 3753. [Google Scholar]
- Khorasani, M.; Gibson, I.; Ghasemi, A.H.; Hadavi, E.; Rolfe, B. Laser subtractive and laser powder bed fusion of metals: Review of process and production features. Rapid Prototyp. J. 2023. ahead-of-print. [Google Scholar] [CrossRef]
- Ardila, L.C.; Garciandia, F.; González-Díaz, J.B.; Álvarez, P.; Echeverria, A.; Petite, M.M.; Deffley, R.; Ochoa, J. Effect of IN718 recycled powder reuse on properties of parts manufactured by means of selective laser melting. Phys. Procedia 2014, 56, 99–107. [Google Scholar] [CrossRef]
- Renderos, M.; Torregaray, A.; Gutierrez-Orrantia, M.E. Microstructure characterization of recycled GH4169 powder and resulting laser clad material. Mater. Charact. 2017, 134, 103–113. [Google Scholar] [CrossRef]
- Liu, B. Cyclic aging behavior of TC4 powder and the influence on propertyes of components built by SLM. Master’s Thesis, Shenyang Aerospace University, Shenyang, China, 2018. [Google Scholar]
- Seyda, V.; Kaufmann, N.; Emmelmann, C. Investigation of aging processes of Ti-6Al-4 V powder material in laser melting. Phys. Procedia 2012, 39, 425–431. [Google Scholar] [CrossRef]
- Sun, Y.Y.; Gulizia, S.; Oh, C.H.; Doblin, C.; Yang, Y.F.; Qian, M. Manipulation and characterization of a novel titanium powder precursor for additive manufacturing applications. JOM 2015, 67, 564–572. [Google Scholar] [CrossRef]
- Miao, Z.; Shan, A.; Wu, Y.; Lu, J.; Xu, W.; Song, H. Quantitative analysis of homogenization treatment of INCONEL718 superalloy. Trans. Nonferrous Met. Soc. China 2011, 21, 1009–1017. [Google Scholar] [CrossRef]
- Zhao, X. Study on the mechanical properties of laser rapid forming of Rene’ 88DT superalloy. Master’s Thesis, Northwestern Polytechnical University, Xi’an, China, 2006. [Google Scholar]
- Yan, S.; Zhang, A.; Liang, S.; Wang, T. Measurement of Laser Light Absorptivity of Commonly Used Metals in laser additive manufacturing technique. Aeronaut. Manuf. Technol. 2017, 536, 97–100. [Google Scholar]
- Dinda, G.P.; Dasgupta, A.K.; Mazumder, J. Texture control during laser deposition of nickel-based superalloy. Scr. Mater. 2012, 67, 503–506. [Google Scholar] [CrossRef]
- Radhakrishna, C.H.; Rao, K.P. The formation and control of Laves phase in superalloy 718 welds. J. Mater. Sci. 1997, 32, 1977–1984. [Google Scholar] [CrossRef]
- Miao, Z. Study on solidification segregation and homogenization treatments of IN718-type superalloys. Master’s Thesis, Shanghai Jiao Tong University, Shanghai, China, 2011. [Google Scholar]
- Reddy, G.M.; Mxirthy, C.V.S.; Rao, K.S.; Rao, K.P. Improvement of mechanical properties of Inconel 718 electron beam welds-influence of welding techniques and postweld heat treatment. Int. J. Adv. Manuf. Technol. 2009, 43, 671–680. [Google Scholar] [CrossRef]
- Ram GD, J.; Reddy, A.V.; Rao, K.P.; Reddy, G.M. Microstructure and mechanical properties of Inconel 718 electron beam welds. Met. Sci. J. 2013, 21, 1132–1138. [Google Scholar] [CrossRef]
- Wang, X.; Chou, K. Effects of thermal cycles on the microstructure evolution of Inconel 718 during selective laser melting process. Addit. Manuf. 2017, 18, 1–14. [Google Scholar] [CrossRef]
- Lu, X.; Ma, X.; Dong, L.; Wang, H. Research progress on formation mechanism and inhibition methods of porosity and crack defects in laser cladding layer. J. Funct. Mater. 2020, 51, 6034–6043. [Google Scholar]
- Pang, S.Y.; Chen, W.D.; Wang, W. A quantitative model of keyhole instability induc-ed porosity in laser welding of titanium alloy. Metall. Mater. Trans. A 2014, 45, 2808–2818. [Google Scholar] [CrossRef]
- Liu, F.; Hu, W.; Jia, J.; Liu, F.; Xu, Y.; Wang, Z. Micro-porosity and Tensile Property of High Relative Density Inconel 718 superalloy fabricated by selective laser melting. Rare Met. Mater. Eng. 2021, 50, 3685–3692. [Google Scholar]
- Vilaro, T.; Colin, C.; Bartout, J.D. As-fabricated and heat-treated microstructure-s of the Ti-6Al-4V Alloy processed by selective laser melting. Metall. Mater. Trans. A 2011, 42, 3190–3199. [Google Scholar] [CrossRef]
- Khorasani, M.; Ghasemi, A.H.; Leary, M.; Sharabian, E.; Cordova, L.; Gibson, I.; Downing, D.; Bateman, S.; Brandt, M.; Rolfe, B. The effect of absorption ratio on meltpool features in laser-based powder bed fusion of IN718. Opt. Laser Technol. 2022, 153, 108263. [Google Scholar] [CrossRef]











| Si | Cr | Mo | Co | Nb | Al | Ni | Fe |
|---|---|---|---|---|---|---|---|
| 0.23 | 18.3 | 2.8 | 0.79 | 5.4 | 0.45 | 54.2 | Bal. |
Disclaimer/Publisher’s Note: The statements, opinions and data contained in all publications are solely those of the individual author(s) and contributor(s) and not of MDPI and/or the editor(s). MDPI and/or the editor(s) disclaim responsibility for any injury to people or property resulting from any ideas, methods, instructions or products referred to in the content. |
© 2023 by the authors. Licensee MDPI, Basel, Switzerland. This article is an open access article distributed under the terms and conditions of the Creative Commons Attribution (CC BY) license (https://creativecommons.org/licenses/by/4.0/).
Share and Cite
Zhang, H.; Li, J.; Li, Y. Effect of Powder Recycling on the Organization and Mechanical Properties of GH4169 Alloy by Laser Metal Deposition. Coatings 2023, 13, 659. https://doi.org/10.3390/coatings13030659
Zhang H, Li J, Li Y. Effect of Powder Recycling on the Organization and Mechanical Properties of GH4169 Alloy by Laser Metal Deposition. Coatings. 2023; 13(3):659. https://doi.org/10.3390/coatings13030659
Chicago/Turabian StyleZhang, Haibo, Jieshuai Li, and Yingqiu Li. 2023. "Effect of Powder Recycling on the Organization and Mechanical Properties of GH4169 Alloy by Laser Metal Deposition" Coatings 13, no. 3: 659. https://doi.org/10.3390/coatings13030659
APA StyleZhang, H., Li, J., & Li, Y. (2023). Effect of Powder Recycling on the Organization and Mechanical Properties of GH4169 Alloy by Laser Metal Deposition. Coatings, 13(3), 659. https://doi.org/10.3390/coatings13030659
