The Design and Characterization of New Chitosan, Bioglass and ZnO-Based Coatings on Ti-Zr-Ta-Ag
Abstract
1. Introduction
2. Materials and Methods
2.1. Substrate Preparation
2.2. Solution Preparation and Film Deposition
2.3. Sample Characterization
3. Results
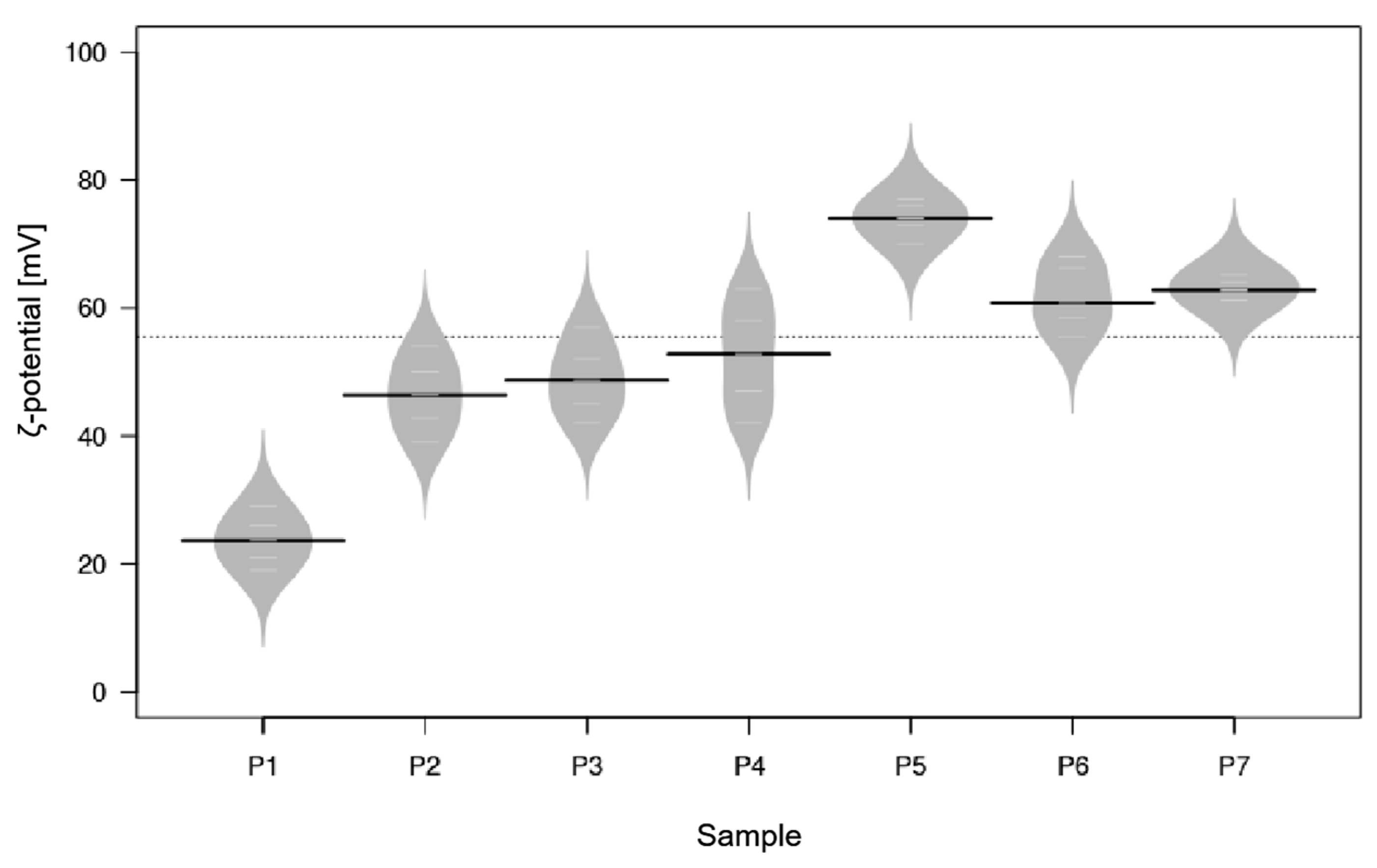
3.1. Zeta Potential and Average Particle Size
3.2. Surface Morphology
3.3. Coating Composition
3.4. Contact Angle and Surface Roughness
4. Discussion
5. Conclusions
Author Contributions
Funding
Institutional Review Board Statement
Informed Consent Statement
Data Availability Statement
Conflicts of Interest
References
- Boyer, R.R. Titanium for aerospace: Rationale and applications. Adv. Perform. Mater. 1995, 2, 349–368. [Google Scholar] [CrossRef]
- Andijani, I.N.; Ahmad, S.; Malik, A.U. Corrosion behavior of titanium metal in the presence of inhibited sulfuric acid at 50 °C. Desalination 2000, 129, 45–51. [Google Scholar] [CrossRef]
- Schutz, R.W. Utilizing titanium to successfully handle chloride process environments. CIM Bull. 2002, 95, 84–88. [Google Scholar]
- Wang, C.P.; Wang, H.; Ruan, G.; Wang, S.; Xiao, Y.; Jiang, L. IOP Applications and prospects of titanium and its alloys in seawater desalination industry. Conf. Ser. Mater. Sci. Eng. 2019, 688, 033036–033043. [Google Scholar] [CrossRef]
- Prando, D.; Brenna, A.; Diamanti, M.V.; Beretta, S.; Bolzoni, F.; Ormellese, M.; Pedeferri, M.P. Corrosion of titanium: Part 1: Aggressive environments and main forms of degradation. J. Appl. Biomater. Funct. Mater. 2017, 15, e291–e302. [Google Scholar] [CrossRef] [PubMed]
- Shen, Y.; Fang, K.; Xiang, Y.; Xu, K.; Yu, L.; Chen, J.; Ma, P.; Cai, K.; Shen, X.; Liu, J. Improvement in osteogenesis, vascularization, and corrosion resistance of titanium with silicon-nitride doped micro-arc oxidation coatings. J. Front. Bioeng. Biotechnol. 2022, 10, 1023032–1023046. [Google Scholar] [CrossRef]
- Rodrigues, D.C.; Valderrama, P.; Wilson, T.G.; Palmer, K.; Thomas, A.; Sridhar, S.; Adapalli, A.; Burbano, M.; Wadhwani, C. Titanium corrosion mechanisms in the oral environment: A retrieval study. Materials 2013, 6, 5258–5274. [Google Scholar] [CrossRef]
- ASTM Designation F136-82; Standard Specification for Wrought Titanium 6Al 4V ELI Alloy for Surgical Implants. ASTM: Philadelphia, PA, USA, 1994; pp. 19–20.
- ASTM Designation F1295-92; Standard Specification for Wrought Titanium 6Al 7Nb Alloy for Surgical Implants. ASTM: Philadelphia, PA, USA, 1994; pp. 687–689.
- Popa, M.V.; Demetrescu, I.; Vasilescu, E.; Drob, P.; Ionita, D.; Vasilescu, C. Stability of some dental implant materials in oral biofluids. Rev. Roum. De Chim. 2005, 50, 399–406. [Google Scholar]
- Akimoto, T.; Ueno, T.; Tsutsumi, Y.; Doi, H.; Hanawa, T.; Wakabayashi, N. Evaluation of corrosion resistance of implant-use Ti-Zr binary alloys with a range of compositions. J. Biomed. Mater. Res. B 2018, 106 Pt B, 73–79. [Google Scholar] [CrossRef]
- Ionita, D.; Pirvu, C.; Stoian, A.B.; Demetrescu, I. The Trends of TiZr Alloy Research as a Viable Alternative for Ti and Ti16 Zr Roxolid Dental Implants. Coatings 2020, 10, 422. [Google Scholar] [CrossRef]
- Cantor, B.; Chang, I.T.H.; Knight, P.; Vincent, A.J.B. Microstructural development in equiatomic multicomponent alloys. Mater. Sci. Eng. A 2004, 375–377, 213–218. [Google Scholar] [CrossRef]
- Yeh, J.W.; Chen, S.K.; Lin, S.J.; Gan, J.Y.; Chin, T.S.; Shun, T.T.; Tsau, C.H.; Chang, S.Y. Nanostructured high-entropy alloys with multiple principal elements: Novel alloy design concepts and outcomes. Adv. Eng. Mater. 2004, 6, 299–303. [Google Scholar] [CrossRef]
- Geantă, V.; Voiculescu, I.; Istrate, B.; Vrânceanu, D.; Ciocoiu, R.; Cotruț, C. The influence of chromium content on the structural and mechanical properties of AlCrxFeCoNi high entropy alloys. Int. J. Eng. Res. Afr. 2018, 37, 23–28. [Google Scholar] [CrossRef]
- Vasilescu, E.V.; Calderon, M.J.M.; Vasilescu, C.; Drob, S.I.; Stanciu, D.E.; Ivanescu, S.; Ionita, M.D.; Prodana, M. Ti-Zr-Ta-Ag Bio-alloy for Orthopedic Implants OSIM. Bucuresti. Patent 132031, 30 April 2019. [Google Scholar]
- Vasilescu, C.; Drob, S.; Osiceanu, P.; Moreno, J.M.C.; Prodana, M.; Ionita, D.; Demetrescu, I. Microstructure, surface characterization, and electrochemical behavior of new Ti-Zr-Ta-Ag alloy in simulated human electrolyte. Metall. Mater. Trans. A 2017, 48, 513–523. [Google Scholar] [CrossRef]
- Manole, C.C.; Pirvu, C.; Stoian, A.B.; Calderon Moreno, J.M.; Stanciu, D.; Demetrescu, I. The electrochemical stability in NaCl solution of nanotubes and nanochannels elaborated on a new Ti-20Zr-5Ta-2Ag alloy. J. Nanomater. 2015, 8, 41. [Google Scholar] [CrossRef]
- Vasilescu, C.; Osiceanu, P.; Moreno, J.M.C.; Drob, S.I.; Preda, S.; Popa, M.; Dan, I.; Marcu, M.; Prodana, M.; Popovici, I.A.; et al. Microstructure, surface characterization and long-term stability of new quaternary Ti-Zr-Ta-Ag alloy for implant use. Mater. Sci. Eng. C 2017, 71, 322–334. [Google Scholar] [CrossRef]
- Xie, J.; Luan, B.L. Formation of hydroxyapatite coating using novel chemo-biomimetic method. J. Mater. Sci. Mater. Med. 2008, 19, 3211–3220. [Google Scholar] [CrossRef]
- Ionita, D.; Vardaki, M.; Stan, M.S.; Dinischiotu, A.; Demetrescu, I. Enhance stability and in vitro cell response to a bioinspired coating on zr alloy with increasing chitosan content. J. Bionic. Eng. 2017, 14, 459–467. [Google Scholar] [CrossRef]
- Prodana, M.; Stoian, A.B.; Burnei, C.; Ionita, D. Innovative Coatings of Metallic Alloys Used as Bioactive Surfaces in Implantology: A Review. Coatings 2021, 11, 649. [Google Scholar] [CrossRef]
- Heimann, R.B. The challenge and promise of low-temperature bioceramic coatings: An editorial. Surf. Coat. Technol. 2016, 301, 1–5. [Google Scholar] [CrossRef]
- Monsalve, M.; Lopez, E.; Ageorges, H.; Vargas, F. Bioactivity and mechanical properties of bioactive glass coatings fabricated by flame spraying. Surf. Coat. Technol. 2015, 268, 142–146. [Google Scholar] [CrossRef]
- Dou, Y.; Cai, S.; Ye, X.; Xu, G.; Huang, K.; Wang, X.; Ren, M. 45S5 bioactive glass–ceramic coated AZ31 magnesium alloy with improved corrosion resistance. Surf. Coat. Technol. 2013, 228, 154–161. [Google Scholar] [CrossRef]
- Seuss, S.; Heinloth, M.; Boccaccini, A.R. Development of bioactive composite coatings based on combination of PEEK, bioactive glass and Ag nanoparticles with antibacterial properties. Surf. Coat. Technol. 2016, 301, 100–105. [Google Scholar] [CrossRef]
- Córdoba, L.C.; Marques, A.; Taryba, M.; Coradin, T.; Montemor, F. Hybrid coatings with collagen and chitosan for improved bioactivity of Mg alloys. Surf. Coat. Technol. 2018, 341, 103–115. [Google Scholar] [CrossRef]
- Cordero-Arias, L.; Boccaccini, A. Electrophoretic deposition of chondroitin sulfate chitosan/bioactive glass composite coatings with multilayer design. Surf. Coat. Technol. 2017, 315, 417–425. [Google Scholar] [CrossRef]
- Radda’a, N.S.; Goldmann, W.H.; Detsch, R.; Roether, J.A.; Cordero-Arias, L.; Virtanen, S.; Moskalewicz, T.; Boccaccini, A.R. Electrophoretic deposition of tetracycline hydrochloride loaded halloysite nanotubes chitosan/bioactive glass composite coatings for orthopedic implants. Surf. Coat. Technol. 2017, 327, 146–157. [Google Scholar] [CrossRef]
- Mocanu, A.-C.; Miculescu, F.; Dascalu, C.-A.; Voicu, S.I.; Pandele, M.-A.; Ciocoiu, R.-C.; Batalu, D.; Dondea, S.; Mitran, V.; Ciocan, L.-T. Influence of Ceramic Particles Size and Ratio on Surface—Volume Features of the Naturally Derived HA-Reinforced Filaments for Biomedical Applications. J. Funct. Biomater. 2022, 13, 199. [Google Scholar] [CrossRef]
- Weiner, S.; Wagner, H.D. The material bone: Structure-mechanical function relations. Annu. Rev. Mater. Sci. 1998, 28, 271–298. [Google Scholar] [CrossRef]
- Meyer, N.; Rivera, L.R.; Ellis, T.; Qi, J.H.; Ryan, M.P.; Boccaccini, A.R. Bioactive and Antibacterial Coatings Based on Zein/Bioactive Glass Composites by Electrophoretic Deposition. Coatings 2018, 8, 27. [Google Scholar] [CrossRef]
- Nartita, R.; Ionita, D.; Demetrescu, I. Sustainable Coatings on Metallic Alloys as a Nowadays Challenge. Sustainability 2021, 13, 10217. [Google Scholar] [CrossRef]
- Hench, L.L.; Splinter, R.J.; Allen, W.; Greenlee, T. Bonding mechanisms at the interface of ceramic prosthetic materials. J. Biomed. Mater. Res. 1971, 5, 117–141. [Google Scholar] [CrossRef]
- Maximov, M.; Maximov, O.-C.; Craciun, L.; Ficai, D.; Ficai, A.; Andronescu, E. Bioactive Glass—An Extensive Study of the Preparation and Coating Methods. Coatings 2021, 11, 1386. [Google Scholar] [CrossRef]
- Durand, L.A.H.; Vargas, G.E.; Romero, N.M.; Vera-Mesones, R.; Porto-López, J.M.; Boccaccini, A.R.; Zago, M.P.; Baldi, A.; Gorustovich, A. Angiogenic effects of ionic dissolution products released from a boron-doped 45S5 bioactive glass. J. Mater. Chem. B 2015, 3, 1142–1148. [Google Scholar] [CrossRef] [PubMed]
- Rabea, E.I.; Badawy, M.E.-T.; Stevens, C.V.; Smagghe, G.; Steurbaut, W. Chitosan as antimicrobial agent: Applications and mode of action. Biomacromolecules 2003, 4, 1457–1465. [Google Scholar] [CrossRef] [PubMed]
- Boccacini, A.R.; Dickerson, J. Electrophoretic deposition Fundamentals and Applications. Phys. Chem. B 2013, 117, 1501. [Google Scholar] [CrossRef]
- Pishbin, F.; Simchi, A.; Ryan, M.; Boccaccini, A. Electrophoretic deposition of chitosan/45S5 Bioglass® composite coatings for orthopaedic applications. Surf. Coat. Technol. 2011, 205, 5260–5268. [Google Scholar] [CrossRef]
- Pishbin, F.; Mouriño, V.; Gilchrist, J.; McComb, D.; Kreppel, S.; Salih, V.; Ryan, M.P.; Boccaccini, A.R. Single-step electrochemical deposition of antimicrobial orthopaedic coatings based on a bioactive glass/chitosan/nano-silver composite system. Acta Biomater. 2013, 9, 7469–7479. [Google Scholar] [CrossRef] [PubMed]
- Zhitomirsky, D.; Roether, J.; Boccaccini, A.; Zhitomirsky, I. Electrophoretic deposition of bioactive glass/polymer composite coatings with and without HA nanoparticle inclusions for biomedical applications. J. Mater. Process. Technol. 2009, 209, 1853–1860. [Google Scholar] [CrossRef]
- Badiceanu, M.; Anghel, S.; Mihailescu, N.; Visan, A.I.; Mihailescu, C.N.; Mihailescu, I.N. Coatings Functionalization via Laser versus Other Deposition Techniques for Medical Applications: A Comparative Review. Coatings 2022, 12, 71. [Google Scholar] [CrossRef]
- Khademi, M.; Wang, W.; Reitinger, W.; Barz, D.P.J. Zeta Potential of Poly (methyl methacrylate) (PMMA) in Contact with Aqueous Electrolyte-Surfactant Solutions. Langmuir 2017, 33, 10473–10482. [Google Scholar] [CrossRef]
- Salami, R.; Arami, M.; Mohammad, N.; Bahrami, H.; Khorramfar, S. Novel biocompatible composite (Chitosan-zinc oxide nanoparticle): Preparation, charaterization and dye adsorption properties. Colloids Surf. B 2010, 80, 86–93. [Google Scholar]
- Lin, M.H.; Wang, Y.H.; Kuo, C.H.; Ou, S.F.; Huang, P.Z.; Song, T.Y.; Chen, Y.C.; Chen, S.T.; Wu, C.H.; Hsueh, Y.H.; et al. Hybrid ZnO/chitosan antimicrobial coatings with enhanced mechanical and bioactive properties for titanium implants. Carbohydr. Polym. 2021, 257, 117639. [Google Scholar] [CrossRef] [PubMed]
- Maci, F.; Moskalewicz, T.; Kowalski, K.; Łukaszczyk, A.; Hadzhieva, Z.; Boccaccini, A.R. The Effect of Electrophoretic Deposition Parameters on the Microstructure and Adhesion of Zein Coatings to Titanium Substrates. Materials 2021, 14, 312–336. [Google Scholar]
- Cunha, A.G.; Fernandes, S.C.M.; Friere, C.S.R.; Silvestre, A.J.C.; Neto, C.P.; Gandini, A. What is the real value of chitosan’s surface energy? Biomacromolecules 2008, 9, 610–614. [Google Scholar] [CrossRef]
- Kim, K.M.; Choi, M.H.; Lee, J.K.; Jeong, J.; Kim, Y.R.; Kim, M.K.; Paek, S.M.; Oh, J.M. Physicochemical properties of surface charge-modified ZnO nanoparticles with different particle sizes. Int. J. Nanomed. 2014, 9 (Suppl. S2), 41–56. [Google Scholar]
- Aibani, N.; Rai, R.; Patel, P.; Cuddihy, G.; Wasan, E.K. Chitosan Nanoparticles at the Biological Interface: Implications for Drug Delivery. Pharmaceutics 2021, 3, 1686. [Google Scholar] [CrossRef]
- Kampstra, P. Beanplot: A Boxplot Alternative for Visual Comparison of Distributions. J. Stat. Soft. 2008, 28, 1–9. [Google Scholar] [CrossRef]
- IR Spectrum Table & Chart. Available online: https://www.sigmaaldrich.com/RO/en/technical-documents/technical-article/analytical-chemistry/photometry-and-reflectometry/ir-spectrum-table (accessed on 29 January 2023).
- Tabia, Z.; El Mabrouk, K.; Bricha, M.; Nouneh, K. Mesoporous bioactive glass nanoparticles doped with magnesium: Drug delivery and acellular in vitro bioactivity. RSC Adv. 2019, 9, 12232–12246. [Google Scholar] [CrossRef]
- Gonçalves, R.V.; Wojcieszak, R.; Uberman, P.M.; Teixeira, S.R.; Rossi, L.M. Insights into the active surface species formed on Ta2O5 nanotubes in the catalytic oxidation of CO. Phys. Chem. Chem. Phys. 2014, 16, 5755–5762. [Google Scholar] [CrossRef]
- Joseph, E.; Singhvi, G. Chapter 4-Multifunctional Nanocrystals for Cancer Therapy: A Potential Nanocarrier, Nanomaterials for Drug Delivery and Therapy; William Andrew Publishing: Norwich, NY, USA, 2019; pp. 91–116. ISBN 9780128165058. [Google Scholar]
- Liang, Y.; Hilal, N.; Langston, P.; Starov, V. Interaction forces between colloidal particles in liquid: Theory and experiment. Adv. Colloid Interface Sci. 2007, 134–135, 151–166. [Google Scholar] [CrossRef]
- Wang, B.; Ruan, W.; Liu, J.; Zhang, T.; Yang, H.; Ruan, J. Microstructure, mechanical properties, and preliminary biocompatibility evaluation of binary Ti–Zr alloys for dental application. J. Biomater. Appl. 2019, 33, 766–775. [Google Scholar] [CrossRef]
- Chen, Y.; Cai, J.; Liu, D.; Liu, S.; Lei, D.; Zheng, L.; Wei, Q.; Gao, M. Zinc-based metal organic framework with antibacterial and anti-inflammatory properties for promoting wound healing. Regen. Biomater. 2022, 9, rbac019. [Google Scholar] [CrossRef] [PubMed]
- Nartita, R.; Ionita, D.; Demetrescu, I.; Enachescu, M. selecting a surface preparation treatment on a medium entropy Ti-Zr-Ta-Ag alloy. Annal. Acad. Rom. Sci.-Ser. Phys. Chem. 2021, 6, 23–30. [Google Scholar] [CrossRef]
- Ferrari, M.; Cirisano, F.; Morán, M.C. Mammalian Cell Behavior on Hydrophobic Substrates: Influence of Surface Properties. Colloids Interfaces 2019, 3, 48. [Google Scholar] [CrossRef]







| Sample | Components | Chi:(BG:ZnO) Ratio (w/w) | BG:ZnO Ratio (w/w) |
|---|---|---|---|
| P1 | Ti-Zr-Ta-Ag/Chi | - | - |
| P2 | Ti-Zr-Ta-Ag/Chi/(BG/ZnO) | 1:1 | 5:1 |
| P3 | Ti-Zr-Ta-Ag/Chi/(BG/ZnO) | 1:1 | 1:1 |
| P4 | Ti-Zr-Ta-Ag/Chi/(BG/ZnO) | 1:1 | 1:5 |
| P5 | Ti-Zr-Ta-Ag/Chi/(BG/ZnO) | 2:1 | 1:5 |
| P6 | Ti-Zr-Ta-Ag/Chi/(BG/ZnO) | 2:1 | 1:1 |
| P7 | Ti-Zr-Ta-Ag/Chi/(BG/ZnO) | 2:1 | 5:1 |
Disclaimer/Publisher’s Note: The statements, opinions and data contained in all publications are solely those of the individual author(s) and contributor(s) and not of MDPI and/or the editor(s). MDPI and/or the editor(s) disclaim responsibility for any injury to people or property resulting from any ideas, methods, instructions or products referred to in the content. |
© 2023 by the authors. Licensee MDPI, Basel, Switzerland. This article is an open access article distributed under the terms and conditions of the Creative Commons Attribution (CC BY) license (https://creativecommons.org/licenses/by/4.0/).
Share and Cite
Prodana, M.; Ionita, D.; Stoian, A.B.; Demetrescu, I.; Mihai, G.V.; Enăchescu, M. The Design and Characterization of New Chitosan, Bioglass and ZnO-Based Coatings on Ti-Zr-Ta-Ag. Coatings 2023, 13, 493. https://doi.org/10.3390/coatings13030493
Prodana M, Ionita D, Stoian AB, Demetrescu I, Mihai GV, Enăchescu M. The Design and Characterization of New Chitosan, Bioglass and ZnO-Based Coatings on Ti-Zr-Ta-Ag. Coatings. 2023; 13(3):493. https://doi.org/10.3390/coatings13030493
Chicago/Turabian StyleProdana, Mariana, Daniela Ionita, Andrei Bogdan Stoian, Ioana Demetrescu, Geanina Valentina Mihai, and Marius Enăchescu. 2023. "The Design and Characterization of New Chitosan, Bioglass and ZnO-Based Coatings on Ti-Zr-Ta-Ag" Coatings 13, no. 3: 493. https://doi.org/10.3390/coatings13030493
APA StyleProdana, M., Ionita, D., Stoian, A. B., Demetrescu, I., Mihai, G. V., & Enăchescu, M. (2023). The Design and Characterization of New Chitosan, Bioglass and ZnO-Based Coatings on Ti-Zr-Ta-Ag. Coatings, 13(3), 493. https://doi.org/10.3390/coatings13030493

