In Situ Synthesis of High Thermoelectric Performance Bi2Te3 Flexible Thin Films through Thermal Diffusion Engineering
Abstract
:1. Introduction
2. Methods and Experimental Design
2.1. Thin Film Preparation
2.2. Characterization of the Thin Film
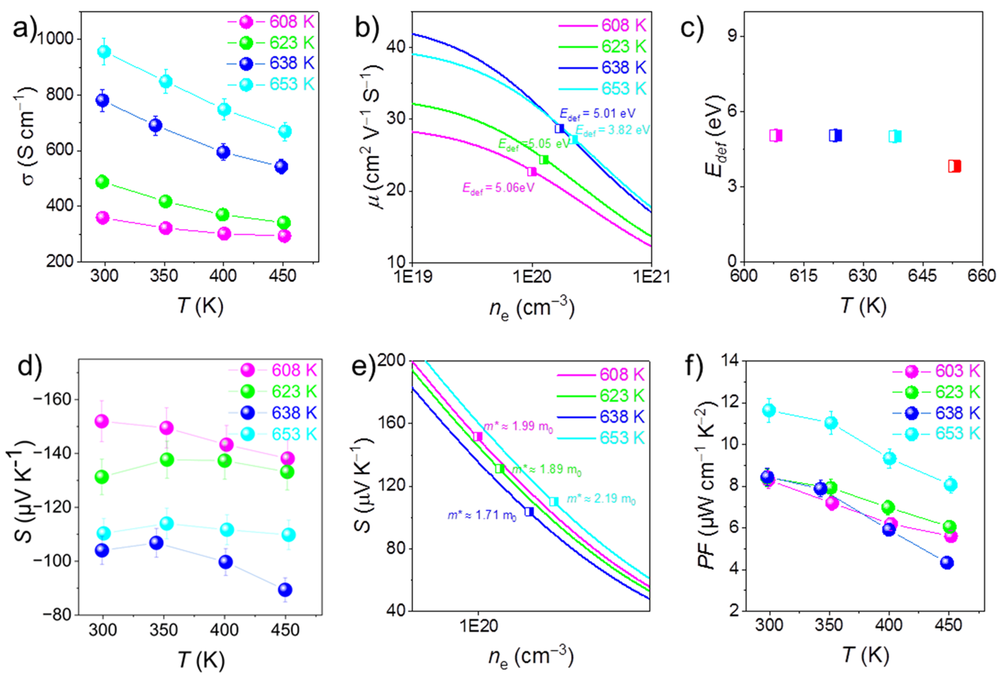
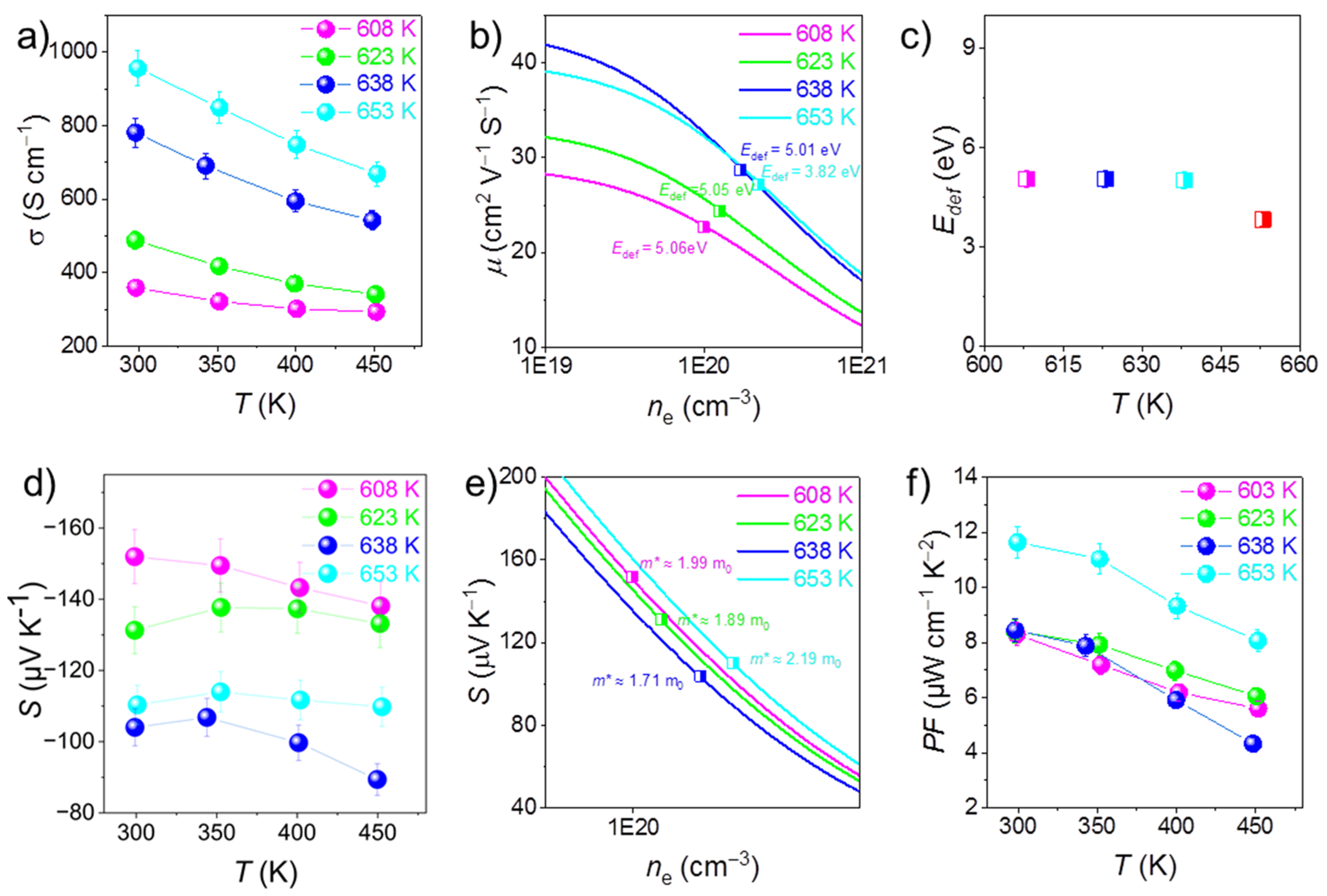
3. Results and Discussion
4. Conclusions
Supplementary Materials
Author Contributions
Funding
Institutional Review Board Statement
Informed Consent Statement
Data Availability Statement
Conflicts of Interest
References
- Guo, Y.; Li, Y.; Zhang, Q.; Wang, H. Self-powered multifunctional UV and IR photodetector as an artificial electronic eye. J. Mater. Chem. C 2017, 5, 1436–1442. [Google Scholar] [CrossRef]
- Jia, Y.; Jiang, Q.; Sun, H.; Liu, P.; Hu, D.; Pei, Y.; Liu, W.; Crispin, X.; Fabiano, S.; Ma, Y.; et al. Wearable Thermoelectric Materials and Devices for Self-Powered Electronic Systems. Adv. Mater. 2021, 33, 2102990. [Google Scholar] [CrossRef] [PubMed]
- Xu, C.; Song, Y.; Han, M.; Zhang, H. Portable and wearable self-powered systems based on emerging energy harvesting technology. Microsyst. Nanoeng. 2021, 7, 25. [Google Scholar] [CrossRef] [PubMed]
- Burmistrov, I.; Khanna, R.; Gorshkov, N.; Kiselev, N.; Artyukhov, D.; Boychenko, E.; Yudin, A.; Konyukhov, Y.; Kravchenko, M.; Gorokhovsky, A.; et al. Advances in Thermo-Electrochemical (TEC) Cell Performances for Harvesting Low-Grade Heat Energy: A Review. Sustainability 2022, 14, 9483. [Google Scholar] [CrossRef]
- Sun, W.; Liu, W.-D.; Li, L.; Wang, D.-Z.; Yin, L.-C.; Li, M.; Shi, X.-L.; Liu, Q.; Chen, Z.-G. Performance optimization of a dual-thermoelectric-liquid hybrid system for central processing unit cooling. Energy Convers. Manag. 2023, 290, 117222. [Google Scholar] [CrossRef]
- Shi, X.; Chen, L.D. Thermoelectric materials step up. Nat. Mater. 2016, 15, 691–692. [Google Scholar] [CrossRef] [PubMed]
- Dresselhaus, M.S.; Chen, G.; Tang, M.Y.; Yang, R.G.; Lee, H.; Wang, D.Z.; Ren, Z.F.; Fleurial, J.P.; Gogna, P. New Directions for Low-Dimensional Thermoelectric Materials. Adv. Mater. 2007, 19, 1043–1053. [Google Scholar] [CrossRef]
- Sun, W.; Liu, W.-D.; Liu, Q.; Chen, Z.-G. Advances in thermoelectric devices for localized cooling. Chem. Eng. J. 2022, 450, 138389. [Google Scholar] [CrossRef]
- Shi, X.-L.; Zou, J.; Chen, Z.-G. Advanced Thermoelectric Design: From Materials and Structures to Devices. Chem. Rev. 2020, 120, 7399–7515. [Google Scholar] [CrossRef]
- Su, L.Z.; Wang, D.Y.; Wang, S.N.; Qin, B.C.; Wang, Y.P.; Qin, Y.X.; Jin, Y.; Chang, C.; Zhao, L.D. High thermoelectric performance realized through manipulating layered phonon-electron decoupling. Science 2022, 375, 1385–1389. [Google Scholar] [CrossRef]
- Liu, W.-D.; Yang, L.; Chen, Z.-G. Cu2Se thermoelectrics: Property, methodology, and device. Nano Today 2020, 35, 100938. [Google Scholar] [CrossRef]
- Roychowdhury, S.; Ghosh, T.; Arora, R.; Samanta, M.; Xie, L.; Singh, N.K.; Soni, A.; He, J.Q.; Waghmare, U.V.; Biswas, K. Enhanced atomic ordering leads to high thermoelectric performance in AgSbTe. Science 2021, 371, 722–727. [Google Scholar] [CrossRef]
- Hu, Q.-X.; Liu, W.-D.; Zhang, L.; Sun, W.; Gao, H.; Shi, X.-L.; Yang, Y.-L.; Liu, Q.; Chen, Z.-G. SWCNTs/Ag2Se film with superior bending resistance and enhanced thermoelectric performance via in situ compositing. Chem. Eng. J. 2023, 457, 141024. [Google Scholar] [CrossRef]
- Liu, Z.; Hong, T.; Xu, L.; Wang, S.; Gao, X.; Chang, C.; Ding, X.; Xiao, Y.; Zhao, L.D. Lattice expansion enables interstitial doping to achieve a high average ZT in n-type PbS. Interdiscip. Mater. 2022, 2, 161–170. [Google Scholar] [CrossRef]
- Wei, M.; Shi, X.L.; Zheng, Z.H.; Li, F.; Liu, W.D.; Xiang, L.P.; Xie, Y.S.; Chen, Y.X.; Duan, J.Y.; Ma, H.L.; et al. Directional Thermal Diffusion Realizing Inorganic Sb2Te3/Te Hybrid Thin Films with High Thermoelectric Performance and Flexibility. Adv. Funct. Mater. 2022, 32, 2207903. [Google Scholar] [CrossRef]
- Yin, L.C.; Liu, W.D.; Li, M.; Wang, D.Z.; Wu, H.; Wang, Y.; Zhang, L.; Shi, X.L.; Liu, Q.; Chen, Z.G. Interstitial Cu: An Effective Strategy for High Carrier Mobility and High Thermoelectric Performance in GeTe. Adv. Funct. Mater. 2023, 33, 2301750. [Google Scholar] [CrossRef]
- Acharya, M.; Jana, S.S.; Ranjan, M.; Maiti, T. High performance (ZT>1) n-type oxide thermoelectric composites from earth abundant materials. Nano Energy 2021, 84, 105905. [Google Scholar] [CrossRef]
- Zhu, B.; Liu, X.; Wang, Q.; Qiu, Y.; Shu, Z.; Guo, Z.; Tong, Y.; Cui, J.; Gu, M.; He, J. Realizing record high performance in n-type Bi2Te3-based thermoelectric materials. Energy Environ. Sci. 2020, 13, 2106–2114. [Google Scholar] [CrossRef]
- Ahmad, K.; Almutairi, Z. Enhanced thermoelectric properties of bismuth telluride (Bi2Te3) and multiwall carbon nanotube (MWCNT) composites. Mater. Today Commun. 2023, 35, 106228. [Google Scholar] [CrossRef]
- Wang, Z.; Cui, W.; Yuan, H.; Kang, X.; Zheng, Z.; Qiu, W.; Hu, Q.; Tang, J.; Cui, X. Direct ink writing of Bi2Te3-based thermoelectric materials induced by rheological design. Mater. Today Energy 2023, 31, 101206. [Google Scholar] [CrossRef]
- Tang, X.; Li, Z.; Liu, W.; Zhang, Q.; Uher, C. A comprehensive review on Bi2Te3-based thin films: Thermoelectrics and beyond. Interdiscip. Mater. 2022, 1, 88–115. [Google Scholar] [CrossRef]
- Shi, Q.; Li, J.; Zhao, X.; Chen, Y.; Zhang, F.; Zhong, Y.; Ang, R. Comprehensive Insight into p-Type Bi2Te3-Based Thermoelectrics near Room Temperature. ACS Appl. Mater. Interfaces 2022, 14, 49425–49445. [Google Scholar] [CrossRef] [PubMed]
- Tan, M.; Liu, W.-D.; Shi, X.-L.; Sun, Q.; Chen, Z.-G. Minimization of the electrical contact resistance in thin-film thermoelectric device. Appl. Phys. Rev. 2023, 10, 021404. [Google Scholar] [CrossRef]
- Lan, M.; Sun, S.; Liu, S.; Li, G.; Wang, Z.; Wang, Q. Controlling the shape of hexagonal structure by growth condition improves the thermoelectric properties of p-type Bi-Te films. J. Eur. Ceram. Soc. 2023, 43, 7493–7498. [Google Scholar] [CrossRef]
- Moshtaghi, F.; Yousefpour, M.; Habibolahzadeh, A. Electrodeposition and characterization of poly-aniline-Bi-Te-Se-Sb thin films with thermoelectric properties. Mater. Sci. Eng. B 2023, 296, 116712. [Google Scholar] [CrossRef]
- Rawther, A.N.; Rout, U.; Kumar, P.; Ramanathan, R.; Mallik, R.C. Thermoelectric properties of sputter deposited Bi2Te3–PbTe multilayer thin films. Phys. B Condens. Matter 2024, 673, 415467. [Google Scholar] [CrossRef]
- Feng, J.; Zhu, W.; Zhang, Z.; Cao, L.; Yu, Y.; Deng, Y. Enhanced Electrical Transport Properties via Defect Control for Screen-Printed Bi2Te3 Films over a Wide Temperature Range. ACS Appl. Mater. Interfaces 2020, 12, 16630–16638. [Google Scholar] [CrossRef]
- Lan, M.; Sun, S.; Liu, S.; Li, G.; Guo, H.; Wang, Q. Improved thermoelectric properties of C-doped Bi2Te3 films following short-range atomic diffusion induced by pulsed electric field treatment. Ceram. Int. 2022, 48, 26865–26873. [Google Scholar] [CrossRef]
- Chen, Y.-X.; Zhang, J.-Z.; Nisar, M.; Abbas, A.; Li, F.; Liang, G.-X.; Fan, P.; Zheng, Z.-H. Realizing high thermoelectric performance in n-type Bi2Te3 based thin films via post-selenization diffusion. J. Mater. 2023, 9, 618–625. [Google Scholar] [CrossRef]
- Yabuki, H.; Yonezawa, S.; Eguchi, R.; Takashiri, M. Flexible thermoelectric films formed using integrated nanocomposites with single-wall carbon nanotubes and Bi2Te3 nanoplates via solvothermal synthesis. Sci. Rep. 2020, 10, 17031. [Google Scholar] [CrossRef] [PubMed]
- Liu, W.-D.; Yin, L.-C.; Li, L.; Yang, Q.; Wang, D.-Z.; Li, M.; Shi, X.-L.; Liu, Q.; Bai, Y.; Gentle, I.; et al. Grain boundary re-crystallization and sub-nano regions leading to high plateau figure of merit for Bi2Te3 nanoflakes. Energy Environ. Sci. 2023, 16, 5123–5135. [Google Scholar] [CrossRef]
- Varghese, T.; Hollar, C.; Richardson, J.; Kempf, N.; Han, C.; Gamarachchi, P.; Estrada, D.; Mehta, R.J.; Zhang, Y. High-performance and flexible thermoelectric films by screen printing solution-processed nanoplate crystals. Sci. Rep. 2016, 6, 33135. [Google Scholar] [CrossRef] [PubMed]
- Rani, K.; Gupta, V.; Ranjeet; Pandey, A. Improved thermoelectric performance of Se-doped n-type nanostructured Bi2Te3. J. Mater. Sci. Mater. Electron. 2023, 34, 1074. [Google Scholar] [CrossRef]
- He, Z.; Chen, Y.-X.; Zheng, Z.; Li, F.; Liang, G.; Luo, J.; Fan, P. Enhancement of thermoelectric performance of N-type Bi2Te3 based thin films via in situ annealing during magnetron sputtering. Ceram. Int. 2020, 46, 13365–13371. [Google Scholar] [CrossRef]
- Joo, S.-J.; Kim, B.S.; Min, B.-K.; Oh, M.W.; Lee, J.-E.; Ryu, B.K.; Lee, H.W.; Park, S.D. Deposition of n-Type Bi2Te3 Thin Films on Polyimide by Using RF Magnetron Co-Sputtering Method. J. Nanosci. Nanotechnol. 2015, 15, 8299–8304. [Google Scholar] [CrossRef]
- Ao, D.W.; Liu, W.D.; Chen, Y.X.; Wei, M.; Jabar, B.; Li, F.; Shi, X.L.; Zheng, Z.H.; Liang, G.X.; Zhang, X.H.; et al. Novel Thermal Diffusion Temperature Engineering Leading to High Thermoelectric Performance in Bi2Te3-Based Flexible Thin-Films. Adv. Sci. 2021, 9, 2103547. [Google Scholar] [CrossRef]
- Ao, D.; Liu, W.-D.; Ma, F.; Bao, W.; Chen, Y. Post-Electric Current Treatment Approaching High-Performance Flexible n-Type Bi2Te3 Thin Films. Micromachines 2022, 13, 1544. [Google Scholar] [CrossRef]




Disclaimer/Publisher’s Note: The statements, opinions and data contained in all publications are solely those of the individual author(s) and contributor(s) and not of MDPI and/or the editor(s). MDPI and/or the editor(s) disclaim responsibility for any injury to people or property resulting from any ideas, methods, instructions or products referred to in the content. |
© 2023 by the authors. Licensee MDPI, Basel, Switzerland. This article is an open access article distributed under the terms and conditions of the Creative Commons Attribution (CC BY) license (https://creativecommons.org/licenses/by/4.0/).
Share and Cite
Chen, N.; Ao, D.; Guo, J.; Bao, W.; Chen, Y.; Zheng, Z. In Situ Synthesis of High Thermoelectric Performance Bi2Te3 Flexible Thin Films through Thermal Diffusion Engineering. Coatings 2023, 13, 2018. https://doi.org/10.3390/coatings13122018
Chen N, Ao D, Guo J, Bao W, Chen Y, Zheng Z. In Situ Synthesis of High Thermoelectric Performance Bi2Te3 Flexible Thin Films through Thermal Diffusion Engineering. Coatings. 2023; 13(12):2018. https://doi.org/10.3390/coatings13122018
Chicago/Turabian StyleChen, Ning, Dongwei Ao, Junji Guo, Wenke Bao, Yuexing Chen, and Zhuanghao Zheng. 2023. "In Situ Synthesis of High Thermoelectric Performance Bi2Te3 Flexible Thin Films through Thermal Diffusion Engineering" Coatings 13, no. 12: 2018. https://doi.org/10.3390/coatings13122018
APA StyleChen, N., Ao, D., Guo, J., Bao, W., Chen, Y., & Zheng, Z. (2023). In Situ Synthesis of High Thermoelectric Performance Bi2Te3 Flexible Thin Films through Thermal Diffusion Engineering. Coatings, 13(12), 2018. https://doi.org/10.3390/coatings13122018

