Single and Double Alkyl Chain Quaternary Ammonium Salts as Environment-Friendly Corrosion Inhibitors for a Q235 Steel in 0.5 mol/L H2SO4 Solution
Abstract
:1. Introduction
2. Experimental
2.1. Materials
2.2. Preparation of Self-Assembly Monolayers (SAMs)
2.3. Electrochemical Measurements
2.4. Surface Characterizations
3. Results and Discussion
3.1. Optimum Conditions for the Formation of the SAMs
3.1.1. Effect of Self-Assembly Time
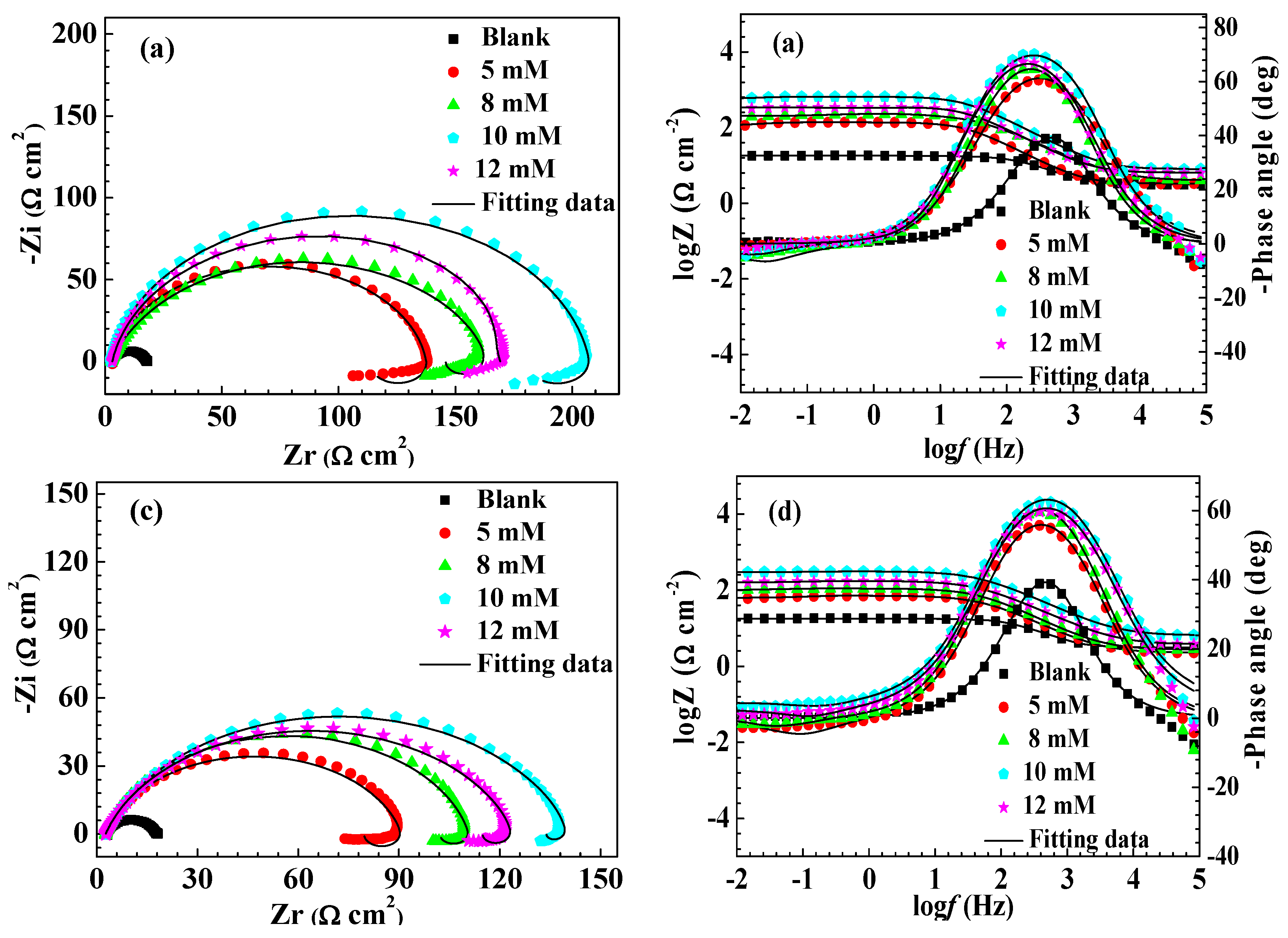
3.1.2. Effect of the Concentrations of the Inhibitor Solutions
3.2. Contact Angle Measurements
3.3. SEM Analysis
3.4. Adsorption Isotherm
4. Conclusions
- (1)
- OTAC and DDAC, as environmental-friendly inhibitors, have good corrosion inhibition effects on Q235 steel in a 0.5 mol/L H2SO4 solution. The two ionic liquids are considered to be mixed-type inhibitors whose cathodic reactions are significantly suppressed.
- (2)
- Surface characterization results are consistent with electrochemical measurement results. The two ionic liquids adsorb on a metal surface to form self-assembly monolayers, which can prevent corrosive media from contacting Q235 steel.
- (3)
- OTAC has better anti-corrosion performance than DDAC because the steric hindrance effect of the double alkyl chain is not conducive to the adsorption of DDAC on the surface of steel electrodes.
Author Contributions
Funding
Institutional Review Board Statement
Informed Consent Statement
Data Availability Statement
Conflicts of Interest
References
- Wu, Y.D.; Guo, L.; Tan, B.C.; Li, W.P.; Zhang, F.; Zheng, X.W. 5-Mercapto-1-phenyltetrazole as a high-efficiency corrosion inhibitor for Q235 steel in acidic environment. J. Mol. Liq. 2021, 325, 115132. [Google Scholar] [CrossRef]
- Manh, T.D.; Hien, P.V.; Nguyen, Q.B.; Quyen, T.N.; Hinton, B.R.W.; Nam, N.D. Corrosion inhibition of steel in naturally-aerated chloride solution by rare-earth 4-hydroxycinnamate compound. J. Taiwan Inst. Chem. Eng. 2019, 103, 177–189. [Google Scholar] [CrossRef]
- Chen, S.J.; Zhao, H.J.; Chen, S.Y.; Wen, P.S.; Wang, H.; Li, W.P. Camphor leaves extract as a neoteric and environment-friendly inhibitor for Q235 steel in HCl medium: Combining experimental and theoretical researches. J. Mol. Liq. 2020, 312, 113433. [Google Scholar] [CrossRef]
- Liao, L.L.; Mo, S.; Luo, H.Q.; Li, N.B. Corrosion protection for mild steel by extract from the waste of lychee fruit in HCl solution: Experimental and theoretical studies. J. Colloid Interface Sci. 2018, 520, 41–49. [Google Scholar] [CrossRef] [PubMed]
- Zhang, J.; Li, W.P.; Zou, X.L.; Chen, Y.Y.; Luo, W.; Zhang, Y.; Fu, A.Q.; Tan, B.C.; Zhang, S.T. Combining experiment and theory researches to insight into anticorrosion nature of a novel thiazole derivatives. J. Taiwan Inst. Chem. Eng. 2021, 122, 190–200. [Google Scholar] [CrossRef]
- Feng, L.; Zhang, S.T.; Xu, Y.; Qiang, Y.J.; Chen, S.J. The electron donating effect of novel pyrazolo-pyrimidine inhibitors on anticorrosion of Q235 steel in picking solution. J. Mol. Liq. 2019, 286, 110893. [Google Scholar] [CrossRef]
- Liu, Y.; Guo, X.X.; Wang, B.Z.; Gong, P.X.; Liu, Y.P.; Li, H.J.; Wu, Y.C. Lentinan as an eco-friendly corrosion inhibitor for Q235 steel in acid medium: Experimental and theoretical studies. J. Mol. Liq. 2022, 360, 119513. [Google Scholar] [CrossRef]
- Zheng, T.Y.; Liu, J.Y.; Wang, M.H.; Liu, Q.; Wang, J.; Chong, Y.; Jia, G.X. Synergistic corrosion inhibition effects of quaternary ammonium salt cationic surfactants and thiourea on Q235 steel in sulfuric acid: Experimental and theoretical research. Corr. Sci. 2022, 199, 110199. [Google Scholar] [CrossRef]
- Chidiebere, M.A.; Oguzie, E.E.; Liu, L.; Li, Y.; Wang, F.H. Corrosion inhibition of Q235 mild steel in 0.5 mol/L H2SO4 solution by phytic acid and synergistic iodide additives. Ind. Eng. Chem. Res. 2014, 53, 7670–7679. [Google Scholar] [CrossRef]
- Lv, T.M.; Zhu, S.H.; Guo, L.; Zhang, S.T. Experimental and theoretical investigation of indole as a corrosion inhibitor for mild steel in sulfuric acid solution. Res. Chem. Intermediat. 2015, 41, 7073–7093. [Google Scholar] [CrossRef]
- Feng, Y.Y.; He, J.H.; Zhan, Y.L.; An, J.B.; Tan, B.C. Insight into the anti-corrosion mechanism Veratrum root extract as a green corrosion inhibitor. J. Mol. Liq. 2021, 334, 116110. [Google Scholar] [CrossRef]
- Zhang, Q.B.; Hua, Y.X. Corrosion inhibition of mild steel by alkylimidazolium ionic liquids in hydrochloric acid. Electrochim. Acta 2009, 54, 1881–1887. [Google Scholar] [CrossRef]
- Cao, S.Y.; Liu, D.; Ding, H.; Peng, K.; Yang, L.X.; Lu, H.; Gui, J.Z. Bronsted acid ionic liquid: Electrochemical passivation behavior to mild steel. J. Mol. Liq. 2016, 220, 63–70. [Google Scholar] [CrossRef]
- Zheng, X.W.; Zhang, S.T.; Li, W.P.; Gong, M.; Yin, L.L. Experimental and theoretical studies of two imidazolium-based ionic liquids as inhibitors for mild steel in sulfuric acid solution. Corros. Sci. 2015, 95, 168–179. [Google Scholar] [CrossRef]
- Sasikumar, Y.; Adekunle, A.S.; Olasunkanmi, L.O.; Bahadur, I.; Baskar, R.; Kabanda, M.M.; Obot, I.B.; Ebenso, E.E. Experimental, quantum chemical and Monte Carlo simulation studies on the corrosion inhibition of some alkyl imidazolium ionic liquids containing tetrafluoroborate anion on mild steel in acidic medium. J. Mol. Liq. 2015, 211, 105–118. [Google Scholar] [CrossRef]
- Latham, J.A.; Howlett, P.C.; MacFarlane, D.R.; Forsyth, M. Passive film formation in dilute ionic liquid solutions on magnesium alloy AZ31. Electrochem. Commun. 2012, 19, 90–92. [Google Scholar] [CrossRef]
- Efthimiadis, J.; Neil, W.C.; Bunter, A.; Howlett, P.C.; Hinton, B.R.W.; MacFarlane, D.R.; Forsyth, M. Potentiostatic control of ionic liquid surface film formation on ZE41 magnesium alloy. ACS Appl. Mater. Interfaces 2010, 2, 1317–1323. [Google Scholar] [CrossRef]
- Qiang, Y.J.; Zhang, S.T.; Guo, L.; Zheng, X.W.; Xiang, B.; Chen, S.J. Experimental and theoretical studies of four allyl imidazolium-based ionic liquids as green inhibitors for copper corrosion in sulfuric acid. Corros. Sci. 2017, 119, 68–78. [Google Scholar] [CrossRef]
- El-Katoria Emad, E.; Nessimb, M.I.; Deyabb, M.A.; Shalabic, K. Electrochemical, XPS and theoretical examination on the corrosion inhibition efficacy of stainless steel via novel imidazolium ionic liquids in acidic solution. J. Mol. Liq. 2021, 33, 116467. [Google Scholar] [CrossRef]
- Feng, L.; Zhang, S.T.; Qiang, Y.J.; Xu, S.Y.; Tan, B.C.; Chen, S.J. The synergistic corrosion inhibition study of different chain lengths ionic liquids as green inhibitors for X70 steel in acidic medium. Mater. Chem. Phys. 2018, 215, 229–241. [Google Scholar] [CrossRef]
- Duarte, T.; Meyer, Y.A.; Osório, W.R. The holes of Zn phosphate and hot dip galvanizing on electrochemical behaviors of multi-coatings on steel substrates. Metals 2022, 12, 863. [Google Scholar] [CrossRef]
- Zhang, X.L.; Jiang, Z.H.; Yao, Z.P.; Song, Y.; Wu, Z.D. Effects of scan rate on the potentiodynamic polarization curve obtained to determine the Tafel slopes and corrosion current density. Corros. Sci. 2009, 51, 581–587. [Google Scholar] [CrossRef]
- McCafferty, E. Validation of corrosion rates measured by Tafel extrapolation method. Corros. Sci. 2005, 47, 3202–3215. [Google Scholar] [CrossRef]
- Chen, H.; Bettayeb, M.; Maurice, V.; Klein, L.H.; Lapeire, L.; Verbeken, K.; Terryn, H.; Marecus, P. Local passivation of metals at grain boundaries: In situ scanning tunneling microscopy study on copper. Corros. Sci. 2016, 111, 659–666. [Google Scholar] [CrossRef]
- Guo, W.J.; Chen, S.H.; Ma, H.Y. A study of the inhibiton of copper corrosion by triethyl phosphate and triphenyl phosphate self-assembly monolayers. J. Serb. Chem. Soc. 2006, 71, 167–175. [Google Scholar] [CrossRef]
- Huang, H.J.; Wang, Z.Q.; Gong, Y.L.; Gao, F.; Luo, Z.P.; Zhang, S.T.; Li, H.R. Water soluble corrosion inhibitors for copper in 3.5 wt% sodium chloride solution. Corros. Sci. 2017, 123, 339–350. [Google Scholar] [CrossRef]
- Tan, B.C.; Zhang, S.T.; Liu, H.Y.; Guo, Y.W.; Qiang, Y.J.; Li, W.P.; Guo, L.; Xu, C.L.; Chen, S.J. Corrosion inhibition of X65 steel in sulfuric acid by two food flavorants 2-isobutylthiazole and 1-(1,3-Thiazol-2-yl) ethanone as the green environmental corrosion inhibitors: Combination of experimental and theoretical researches. J. Colloid Interface Sci. 2019, 538, 519–529. [Google Scholar] [CrossRef] [PubMed]
- Nam, N.D.; Thang, V.Q.; Hoai, N.T.; Hien, P.V. Yttrium 3-(4-nitrophenyl)-2-propenoate used as inhibitor against copper alloy corrosion in 0.1 M NaCl solution. Corros. Sci. 2016, 112, 451–461. [Google Scholar] [CrossRef]
- Wang, Z.Q.; Gong, Y.L.; Jing, C.; Huang, H.J.; Li, H.R.; Zhang, S.T.; Gao, F. Synthesis of dibenzotriazole derivatives bearing alkylene linkers as corrosion inhibitors for copper in sodium chloride solution: A new thought for the design of organic inhibitors. Corros. Sci. 2016, 113, 64–77. [Google Scholar] [CrossRef]
- Satapathy, A.K.; Gunasekaran, G.; Sahoo, S.C.; Amit, K.; Rodrigues, P.V. Corrosion inhibition by Justicia gendarussa plant extract in hydrochloric acid solution. Corros. Sci. 2009, 51, 2848–2856. [Google Scholar] [CrossRef]
- Popova, A.; Christov, M.; Raicheva, S.; Sokolova, E. Adsorption and inhibitive properties of benzimidazole derivatives in acid mild steel corrosion. Corros. Sci. 2004, 46, 1333–1350. [Google Scholar] [CrossRef]
- Tan, B.C.; Zhang, S.T.; Qiang, Y.J.; Guo, L.; Feng, L.; Liao, C.H.; Xu, Y.; Chen, S.J. A combined experimental and theoretical study of the inhibition effect of three disulfide-based flavouring agents for copper corrosion in 0.5 M sulfuric acid. J. Colloid Interface Sci. 2018, 526, 268–280. [Google Scholar] [CrossRef] [PubMed]
- Guo, L.; Zhang, R.L.; Tan, B.C.; Li, W.P.; Liu, H.Y.; Wu, S.Z. Locust Bean Gum as a green and novel corrosion inhibitor for Q235 steel in 0.5 M H2SO4 medium. J. Mol. Liq. 2020, 310, 113239. [Google Scholar] [CrossRef]
- Meyer, Y.A.; Menezes, I.; Bonatti, R.S.; Bortolozo, A.D.; Osório, W.R. EIS investigation of the corrosion behavior of steel bars embedded into modified concretes with eggshell contents. Metals 2022, 12, 417. [Google Scholar] [CrossRef]
- Tasic, Z.Z.; Antonijevic, M.M.; Petrovic Mihajlovic, M.B.; Radovanovic, M.B. The influence of synergistic effects of 5-methyl-1H-benzotriazole and potassium sorbate as well as 5-methyl-1H-benzotriazole and gelatin on the copper corrosion in sulphuric acid solution. J. Mol. Liq. 2016, 219, 463–473. [Google Scholar] [CrossRef]
- Umoren, S.A.; Solomon, M.M.; Obot, I.B.; Suleiman, R.K. A critical review on the recent studies on plant biomaterials as corrosion inhibitors for industrial metals. J. Ind. Eng. Chem. 2019, 76, 91–115. [Google Scholar] [CrossRef]
- Tan, B.C.; Zhang, S.T.; He, J.H.; Li, W.P.; Qiang, Y.J.; Wang, Q.H.; Xu, C.L.; Chen, S.J. Insight into anti-corrosion mechanism of tetrazole derivatives for X80 steel in 0.5 M H2SO4 medium: Combined experimental and theoretical researches. J. Mol. Liq. 2021, 321, 114464. [Google Scholar] [CrossRef]
- Wang, P.; Zhang, D.; Lu, Z. Advantage of super-hydrophobic surface as a barrier against atmospheric corrosion induced by salt deliquescence. Corros. Sci. 2015, 90, 23–32. [Google Scholar] [CrossRef]
- Deng, S.D.; Li, X.H.; Du, G.B. Two ditetrazole derivatives as effective inhibitors for the corrosion of steel in CH3COOH solution. J. Mater. Res. Technol. 2019, 8, 1389–1399. [Google Scholar] [CrossRef]
- Gerengi, H.; Mielniczek, M.; Gece, G.; Solomon, M.M. Experimental and quantum chemical evaluation of 8-hydroxyquinoline as a corrosion inhibitor for copper in 0.1 M HCl. Ind. Eng. Chem. Res. 2016, 55, 9614–9624. [Google Scholar] [CrossRef]









| Samples | t (h) | icorr (μA/cm2) | Ecorr (V/SCE) | −βc (mV/dec) | βa (mV/dec) | ηp (%) | SD a |
|---|---|---|---|---|---|---|---|
| Blank | - | 1804 ± 18 | 0.446 | 150 | 120 | - | - |
| OTAC | 0.5 | 226 ± 16 | 0.455 | 119 | 73 | 87.47 | 0.0064 |
| 1 | 165 ± 20 | 0.460 | 116 | 75 | 90.85 | 0.0088 | |
| 2 | 96 ± 2 | 0.471 | 118 | 60 | 94.67 | 0.0006 | |
| 3 | 113 ± 27 | 0.468 | 117 | 63 | 93.73 | 0.0090 | |
| DDAC | 0.5 | 501 ± 21 | 0.451 | 122 | 101 | 72.22 | 0.0094 |
| 1 | 236 ± 23 | 0.456 | 136 | 83 | 86.91 | 0.0100 | |
| 2 | 171 ± 1 | 0.467 | 132 | 74 | 90.52 | 0.0004 | |
| 3 | 188 ± 26 | 0.462 | 134 | 79 | 89.57 | 0.0110 |
| Samples | t (h) | Rs (Ω cm2) | Y0 × 10−6 (Ω cm2) | n | Cdl (μF cm−2) | Rct (Ω cm2) | L (Ω cm2) | RL (Ω cm2) | ηE (%) | SD a |
|---|---|---|---|---|---|---|---|---|---|---|
| Blank | - | 3.09 | 118.60 ± 6.96 | 0.91 | 108.46 ± 0.41 | 14.85 ± 0.97 | 183 | 268 ± 23 | - | - |
| OTAC | 0.5 | 2.37 | 65.09 ± 6.78 | 0.90 | 47.38 ± 9.56 | 98.89 ± 1.19 | 1743 | 442 ± 8 | 87.84 | 0.0150 |
| 1 | 2.76 | 68.29 ± 5.32 | 0.91 | 48.22 ± 4.33 | 129.50 ± 0.91 | 5379 | 755 ± 22 | 90.44 | 0.0008 | |
| 2 | 2.52 | 53.61 ± 4.88 | 0.91 | 35.12 ± 1.17 | 205.01 ± 8.56 | 1494 | 1333 ± 50 | 92.76 | 0.0031 | |
| 3 | 3.00 | 60.38 ± 5.98 | 0.91 | 41.38 ± 5.16 | 175.50 ± 5.88 | 1297 | 1424 ± 63 | 92.40 | 0.0029 | |
| DDAC | 0.5 | 2.90 | 91.36 ± 0.72 | 0.80 | 55.07 ± 7.05 | 51.69 ± 1.33 | 2310 | 413 ± 34 | 71.40 | 0.0070 |
| 1 | 2.85 | 85.14 ± 2.24 | 0.86 | 57.28 ± 8.05 | 100.40 ± 3.33 | 3416 | 1154 ± 22 | 85.30 | 0.0045 | |
| 2 | 2.88 | 69.40 ± 9.25 | 0.82 | 40.65 ± 4.90 | 138.31 ± 1.84 | 2113 | 2510 ± 24 | 89.26 | 0.0014 | |
| 3 | 2.77 | 81.61 ± 7.23 | 0.82 | 48.13 ± 6.94 | 119.80 ± 3.51 | 1425 | 1425 ± 17 | 87.60 | 0.0036 |
| Samples | C (mM) | icorr (μA/cm2) | Ecorr (V/SCE) | −βc (mV/dec) | βa (mV/dec) | ηp (%) | SD a |
|---|---|---|---|---|---|---|---|
| Blank | - | 1804 ± 18 | 0.446 | 150 | 120 | - | - |
| OTAC | 5 | 198 ± 1 | 0.457 | 119 | 79 | 89.02 | 0.0006 |
| 8 | 141 ± 5 | 0.463 | 116 | 67 | 92.18 | 0.0016 | |
| 10 | 96 ± 2 | 0.471 | 115 | 60 | 94.67 | 0.0006 | |
| 12 | 127 ± 8 | 0.466 | 118 | 72 | 92.96 | 0.0032 | |
| DDAC | 5 | 303 ± 13 | 0.452 | 136 | 84 | 83.20 | 0.0057 |
| 8 | 215 ± 16 | 0.456 | 134 | 78 | 88.08 | 0.0056 | |
| 10 | 171 ± 1 | 0.467 | 130 | 73 | 90.52 | 0.0004 | |
| 12 | 197 ± 2 | 0.461 | 131 | 74 | 89.07 | 0.0007 |
| Samples | C (mM) | Rs (Ω cm2) | Y0 × 10−6 (Ω cm2) | n | Cdl (μF cm−2) | Rct (Ω cm2) | L (Ω cm2) | RL (Ω cm2) | ηE (%) | SD a |
|---|---|---|---|---|---|---|---|---|---|---|
| Blank | - | 3.01 | 118.60 ± 6.97 | 0.91 | 108.46 ± 0.4 | 14.85 ± 0.97 | 183 | 268 ± 23 | - | - |
| OTAC | 5 | 3.28 | 91.48 ± 8.7 | 0.92 | 67.08 ± 1.61 | 134.60 ± 1.71 | 598 | 605 ± 34 | 88.97 | 0.0014 |
| 8 | 2.83 | 80.61 ± 6.21 | 0.81 | 43.25 ± 4.21 | 162.90 ± 1.67 | 874 | 1178 ± 23 | 90.88 | 0.0009 | |
| 10 | 2.52 | 53.61 ± 2.98 | 0.91 | 35.44 ± 2.77 | 205.00 ± 5.82 | 1494 | 1333 ± 46 | 92.76 | 0.0020 | |
| 12 | 3.19 | 64.82 ± 7.61 | 0.90 | 44.22 ± 6.68 | 180.00 ± 3.00 | 701 | 1213 ± 30 | 91.75 | 0.0013 | |
| DDAC | 5 | 2.85 | 88.68 ± 17.82 | 0.84 | 57.57 ± 2.95 | 88.19 ± 1.75 | 1054 | 591 ± 18 | 83.16 | 0.0032 |
| 8 | 2.75 | 86.92 ± 6.04 | 0.86 | 57.44 ± 0.43 | 108.20 ± 4.10 | 1410 | 1212 ± 404 | 86.27 | 0.0056 | |
| 10 | 2.88 | 69.40 ± 14.16 | 0.82 | 40.65 ± 5.54 | 138.30 ± 3.02 | 2113 | 2510 ± 186 | 89.26 | 0.0022 | |
| 12 | 2.65 | 79.95 ± 2.60 | 0.82 | 46.85 ± 4.86 | 121.80 ± 1.93 | 1831 | 1429 ± 47 | 87.81 | 0.0020 |
| Inhibitor | T (K) | Kads (L·mol) | (kJ/mol) |
|---|---|---|---|
| OTAC | 298 | 14.84 | 23.80 |
| DDAC | 298 | 4.64 | 20.92 |
Disclaimer/Publisher’s Note: The statements, opinions and data contained in all publications are solely those of the individual author(s) and contributor(s) and not of MDPI and/or the editor(s). MDPI and/or the editor(s) disclaim responsibility for any injury to people or property resulting from any ideas, methods, instructions or products referred to in the content. |
© 2023 by the authors. Licensee MDPI, Basel, Switzerland. This article is an open access article distributed under the terms and conditions of the Creative Commons Attribution (CC BY) license (https://creativecommons.org/licenses/by/4.0/).
Share and Cite
Feng, Y.; Feng, Y.; Zhou, X.; Wang, Q.; Cao, Y. Single and Double Alkyl Chain Quaternary Ammonium Salts as Environment-Friendly Corrosion Inhibitors for a Q235 Steel in 0.5 mol/L H2SO4 Solution. Coatings 2023, 13, 1847. https://doi.org/10.3390/coatings13111847
Feng Y, Feng Y, Zhou X, Wang Q, Cao Y. Single and Double Alkyl Chain Quaternary Ammonium Salts as Environment-Friendly Corrosion Inhibitors for a Q235 Steel in 0.5 mol/L H2SO4 Solution. Coatings. 2023; 13(11):1847. https://doi.org/10.3390/coatings13111847
Chicago/Turabian StyleFeng, Yangyang, Yunxiao Feng, Xiaojie Zhou, Qihui Wang, and Yunli Cao. 2023. "Single and Double Alkyl Chain Quaternary Ammonium Salts as Environment-Friendly Corrosion Inhibitors for a Q235 Steel in 0.5 mol/L H2SO4 Solution" Coatings 13, no. 11: 1847. https://doi.org/10.3390/coatings13111847
APA StyleFeng, Y., Feng, Y., Zhou, X., Wang, Q., & Cao, Y. (2023). Single and Double Alkyl Chain Quaternary Ammonium Salts as Environment-Friendly Corrosion Inhibitors for a Q235 Steel in 0.5 mol/L H2SO4 Solution. Coatings, 13(11), 1847. https://doi.org/10.3390/coatings13111847

