Electrochemical Properties of Carbon Nanobeads and Mesophase-Pitch-Based Graphite Fibers as Anodes for Rechargeable Lithium-Ion Batteries
Abstract
:1. Introduction
2. Materials and Methods
2.1. Materials
2.2. Method Characterizations and Electrochemical Evaluation
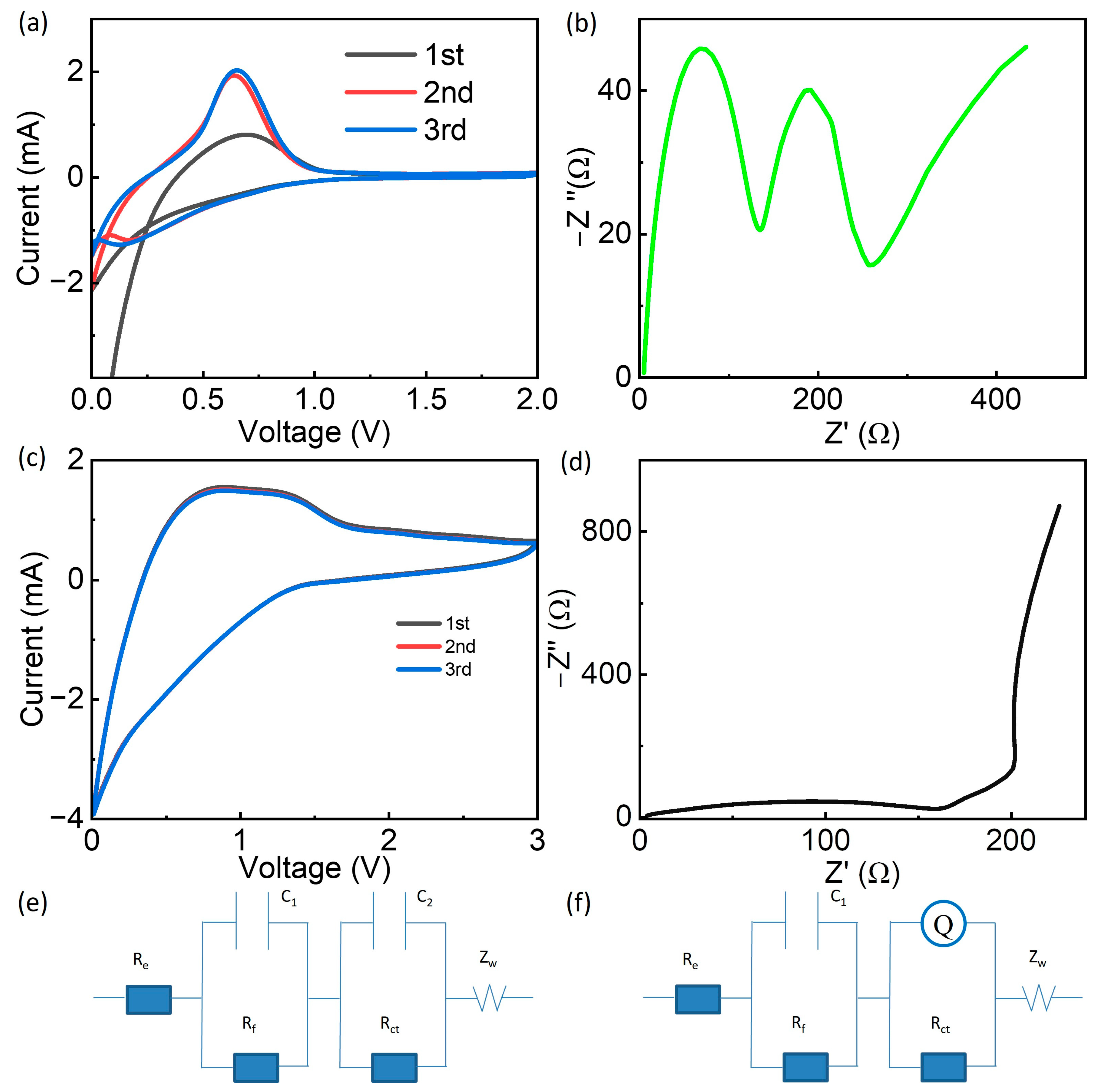
3. Results and Discussion
4. Conclusions
Author Contributions
Funding
Institutional Review Board Statement
Informed Consent Statement
Data Availability Statement
Conflicts of Interest
References
- Koroneos, C.; Spachos, T.; Moussiopoulos, N. Exergy analysis of renewable energy sources. Renew. Energy 2003, 28, 295–310. [Google Scholar] [CrossRef]
- Mahon, H.; O’Connor, D.; Friedrich, D.; Hughes, B. A review of thermal energy storage technologies for seasonal loops. Energy 2022, 239, 122207. [Google Scholar] [CrossRef]
- Khezri, R.; Mahmoudi, A.; Aki, H. Optimal planning of solar photovoltaic and battery storage systems for grid-connected residential sector: Review, challenges and new perspectives. Renew. Sustain. Energy Rev. 2022, 153, 111763. [Google Scholar] [CrossRef]
- Kant, K.; Biwole, P.H.; Shamseddine, I.; Tlaiji, G.; Pennec, F.; Fardoun, F. Recent advances in thermophysical properties enhancement of phase change materials for thermal energy storage. Sol. Energy Mater. Sol. Cells 2021, 231, 111309. [Google Scholar] [CrossRef]
- Service, R.F. Lithium-ion battery development takes Nobel. Science 2019, 366, 292. [Google Scholar] [CrossRef] [PubMed]
- Endo, M.; Kim, C.; Nishimura, K.; Fujino, T.; Miyashita, K. Recent development of carbon materials for Li ion batteries. Carbon 2000, 38, 183–197. [Google Scholar] [CrossRef]
- Cheng, H.; Shapter, J.G.; Li, Y.; Gao, G. Recent progress of advanced anode materials of lithium-ion batteries. J. Energy Chem. 2021, 57, 451–468. [Google Scholar] [CrossRef]
- Azam, M.A.; Safie, N.E.; Ahmad, A.S.; Yuza, N.A.; Zulkifli, N.S.A. Recent advances of silicon, carbon composites and tin oxide as new anode materials for lithium-ion battery: A comprehensive review. J. Energy Storage 2021, 33, 102096. [Google Scholar] [CrossRef]
- Liu, K.; Liu, Y.; Lin, D.; Pei, A.; Cui, Y. Materials for lithium-ion battery safety. Sci. Adv. 2018, 4, eaas9820. [Google Scholar] [CrossRef]
- Liu, X.-M.; Huang, Z.d.; Oh, S.w.; Zhang, B.; Ma, P.-C.; Yuen, M.M.F.; Kim, J.-K. Carbon nanotube (CNT)-based composites as electrode material for rechargeable Li-ion batteries: A review. Compos. Sci. Technol. 2012, 72, 121–144. [Google Scholar] [CrossRef]
- de las Casas, C.; Li, W. A review of application of carbon nanotubes for lithium ion battery anode material. J. Power Sources 2012, 208, 74–85. [Google Scholar] [CrossRef]
- Zhang, T.; Han, S.; Guo, W.; Hou, F.; Liu, J.; Yan, X.; Chen, S.; Liang, J. Continuous carbon nanotube composite fibers for flexible aqueous lithium-ion batteries. Sustain. Mater. Technol. 2019, 20, e00096. [Google Scholar] [CrossRef]
- Chen, K.; Wang, Q.; Niu, Z.; Chen, J. Graphene-based materials for flexible energy storage devices. J. Energy Chem. 2018, 27, 12–24. [Google Scholar] [CrossRef]
- Dong, Y.; Wu, Z.-S.; Ren, W.; Cheng, H.-M.; Bao, X. Graphene: A promising 2D material for electrochemical energy storage. Sci. Bull. 2017, 62, 724–740. [Google Scholar] [CrossRef] [PubMed]
- Cao, L.; Wang, C.; Huang, Y. Structure optimization of graphene aerogel-based composites and applications in batteries and supercapacitors. Chem. Eng. J. 2023, 454, 140094. [Google Scholar] [CrossRef]
- Wen, Y.; Liu, H.; Jiang, X. Preparation of graphene by exfoliation and its application in lithium-ion batteries. J. Alloys Compd. 2023, 961, 170885. [Google Scholar] [CrossRef]
- Zhang, H.; Yang, Y.; Ren, D.; Wang, L.; He, X. Graphite as anode materials: Fundamental mechanism, recent progress and advances. Energy Storage Mater. 2021, 36, 147–170. [Google Scholar] [CrossRef]
- Natarajan, S.; Divya, M.L.; Aravindan, V. Should we recycle the graphite from spent lithium-ion batteries? The untold story of graphite with the importance of recycling. J. Energy Chem. 2022, 71, 351–369. [Google Scholar] [CrossRef]
- Niu, B.; Xiao, J.; Xu, Z. Advances and challenges in anode graphite recycling from spent lithium-ion batteries. J. Hazard. Mater. 2022, 439, 129678. [Google Scholar] [CrossRef]
- Zhu, X.; Chen, Y.; Xiao, J.; Xu, F.; Su, F.; Yao, Z.; Zhang, Z.; Tang, L.; Zhong, Q. The strategy for comprehensive recovery and utilization of the graphite anode materials from the end-of-life lithium-ion batteries: Urgent status and policies. J. Energy Storage 2023, 68, 107798. [Google Scholar] [CrossRef]
- Yao, N.; Liu, F.; Zou, Y.; Wang, H.; Zhang, M.; Tang, X.; Wang, Z.; Bai, M.; Liu, T.; Zhao, W.; et al. Resuscitation of spent graphite anodes towards layer-stacked, mechanical-flexible, fast-charging electrodes. Energy Storage Mater. 2023, 55, 417–425. [Google Scholar] [CrossRef]
- Sun, L.; Liu, Y.; Shao, R.; Wu, J.; Jiang, R.; Jin, Z. Recent progress and future perspective on practical silicon anode-based lithium ion batteries. Energy Storage Mater. 2022, 46, 482–502. [Google Scholar] [CrossRef]
- Li, Y.; Arnold, S.; Husmann, S.; Presser, V. Recycling and second life of MXene electrodes for lithium-ion batteries and sodium-ion batteries. J. Energy Storage 2023, 60, 106625. [Google Scholar] [CrossRef]
- Wang, Q.; Wu, X.; You, H.; Min, H.; Xu, X.; Hao, J.; Liu, X.; Yang, H. Template-directed Prussian blue nanocubes supported on Ni foam as the binder-free anode of lithium-ion batteries. Appl. Surf. Sci. 2022, 571, 151194. [Google Scholar] [CrossRef]
- Wang, C.-Y.; Liu, T.; Yang, X.-G.; Ge, S.; Stanley, N.V.; Rountree, E.S.; Leng, Y.; McCarthy, B.D. Fast charging of energy-dense lithium-ion batteries. Nature 2022, 611, 485–490. [Google Scholar] [CrossRef] [PubMed]
- Nuhu, B.A.; Bamisile, O.; Adun, H.; Abu, U.O.; Cai, D. Effects of transition metals for silicon-based lithium-ion battery anodes: A comparative study in electrochemical applications. J. Alloys Compd. 2023, 933, 167737. [Google Scholar] [CrossRef]
- Ping, W.; Yang, C.; Bao, Y.; Wang, C.; Xie, H.; Hitz, E.; Cheng, J.; Li, T.; Hu, L. A silicon anode for garnet-based all-solid-state batteries: Interfaces and nanomechanics. Energy Storage Mater. 2019, 21, 246–252. [Google Scholar] [CrossRef]
- Gou, L.; Jing, W.; Li, Y.; Wang, M.; Hu, S.; Wang, H.; He, Y.-B. Lattice-Coupled Si/MXene Confined by Hard Carbon for Fast Sodium-Ion Conduction. ACS Appl. Energy Mater. 2021, 4, 7268–7277. [Google Scholar] [CrossRef]
- Zhu, J.; Gladden, C.; Liu, N.; Cui, Y.; Zhang, X. Nanoporous silicon networks as anodes for lithium ion batteries. Phys. Chem. Chem. Phys. PCCP 2013, 15, 440–443. [Google Scholar] [CrossRef]
- Li, Y.; Yan, K.; Lee, H.-W.; Lu, Z.; Liu, N.; Cui, Y. Growth of conformal graphene cages on micrometre-sized silicon particles as stable battery anodes. Nat. Energy 2016, 1, 15029. [Google Scholar] [CrossRef]
- Song, T.; Jeon, Y.; Samal, M.; Han, H.; Park, H.; Ha, J.; Yi, D.K.; Choi, J.-M.; Chang, H.; Choi, Y.-M.; et al. A Ge inverse opal with porous walls as an anode for lithium ion batteries. Energy Environ. Sci. 2012, 5, 9028–9033. [Google Scholar] [CrossRef]
- Bogart, T.D.; Chockla, A.M.; Korgel, B.A. High capacity lithium ion battery anodes of silicon and germanium. Curr. Opin. Chem. Eng. 2013, 2, 286–293. [Google Scholar] [CrossRef]
- Liang, S.; Cheng, Y.-J.; Zhu, J.; Xia, Y.; Müller-Buschbaum, P. A Chronicle Review of Nonsilicon (Sn, Sb, Ge)-Based Lithium/Sodium-Ion Battery Alloying Anodes. Small Methods 2020, 4, 2000218. [Google Scholar] [CrossRef]
- Fugattini, S.; Gulzar, U.; Andreoli, A.; Carbone, L.; Boschetti, M.; Bernardoni, P.; Gjestila, M.; Mangherini, G.; Camattari, R.; Li, T.; et al. Binder-free nanostructured germanium anode for high resilience lithium-ion battery. Electrochim. Acta 2022, 411, 139832. [Google Scholar] [CrossRef]
- Wu, S.; Wu, H.; Zou, M.; Shi, X.; Yuan, Y.; Bai, W.; Cao, A. Short-range ordered graphitized-carbon nanotubes with large cavity as high-performance lithium-ion battery anodes. Carbon 2020, 158, 642–650. [Google Scholar] [CrossRef]
- Zhu, G.; Tang, C.; Jiang, M.; Du, A.; Zhang, H.; Yang, J. Regulating the interfacial behavior of carbon nanotubes for fast lithium storage. Electrochim. Acta 2021, 388, 138591. [Google Scholar] [CrossRef]
- Qiu, T.-C.; Shao, Z.-G.; Wang, C.-L.; Yang, L. QPHT graphene as a high-performance lithium ion battery anode materials with low diffusion barrier and high capacity. Phys. Lett. A 2022, 456, 128549. [Google Scholar] [CrossRef]
- Wang, B.; Ruan, T.; Chen, Y.; Jin, F.; Peng, L.; Zhou, Y.; Wang, D.; Dou, S. Graphene-based composites for electrochemical energy storage. Energy Storage Mater. 2020, 24, 22–51. [Google Scholar] [CrossRef]
- Du, J.; Zhang, Y.; Deng, S.; Xu, N.; Xiao, Z.; She, J.; Wu, Z.; Cheng, H. Correlation between topographic structures and local field emission characteristics of graphene-sheet films. Carbon 2013, 61, 507–514. [Google Scholar] [CrossRef]
- Fan, Z.; Yan, J.; Ning, G.; Wei, T.; Zhi, L.; Wei, F. Porous graphene networks as high performance anode materials for lithium ion batteries. Carbon 2013, 60, 558–561. [Google Scholar] [CrossRef]
- Zeferino González, I.; Chiu, H.-C.; Gauvin, R.; Demopoulos, G.P.; Miki-Yoshida, M.; Valenzuela-Muñiz, A.M.; Verde-Gómez, Y. Graphene nanobuds as a novel anode design paradigm with superior Li-ion storage capacity and rate capability. Carbon 2022, 199, 486–496. [Google Scholar] [CrossRef]
- Meng, C.; Yuan, M.; Cao, B.; Lin, X.; Zhang, J.; Li, A.; Chen, X.; Jia, M.; Song, H. Laser-modified graphitic onion-like carbon as anode for lithium/potassium-ion batteries. Carbon 2022, 192, 347–355. [Google Scholar] [CrossRef]
- Khosla, N.; Narayan, J.; Narayan, R.; Sun, X.-G.; Paranthaman, M.P. Microstructure and defect engineering of graphite anodes by pulsed laser annealing for enhanced performance of lithium-ion batteries. Carbon 2023, 205, 214–225. [Google Scholar] [CrossRef]
- Zhou, Y.-Q.; Dong, X.-L.; Li, W.-C.; Hao, G.-P.; Yan, D.; Lu, A.-H. Millimeter-sized few-layer graphene sheets with aligned channels for fast lithium-ion charging kinetics. J. Energy Chem. 2021, 55, 62–69. [Google Scholar] [CrossRef]
- Li, R.; Huang, J.; Ren, J.; Cao, L.; Li, J.; Li, W.; Lu, G.; Yu, A. A sandwich-like porous hard carbon/graphene hybrid derived from rapeseed shuck for high-performance lithium-ion batteries. J. Alloys Compd. 2020, 818, 152849. [Google Scholar] [CrossRef]
- Ning, G.; Xu, C.; Cao, Y.; Zhu, X.; Jiang, Z.; Fan, Z.; Qian, W.; Wei, F.; Gao, J. Chemical vapor deposition derived flexible graphene paper and its application as high performance anodes for lithium rechargeable batteries. J. Mater. Chem. A 2013, 1, 408. [Google Scholar] [CrossRef]
- Chen, S.; Bao, P.; Xiao, L.; Wang, G. Large-scale and low cost synthesis of graphene as high capacity anode materials for lithium-ion batteries. Carbon 2013, 64, 158–169. [Google Scholar] [CrossRef]
- Liu, C.; Xiao, N.; Wang, Y.; Li, H.; Wang, G.; Dong, Q.; Bai, J.; Xiao, J.; Qiu, J. Carbon clusters decorated hard carbon nanofibers as high-rate anode material for lithium-ion batteries. Fuel Process. Technol. 2018, 180, 173–179. [Google Scholar] [CrossRef]
- Ma, C.; Zhao, Y.; Li, J.; Song, Y.; Shi, J.; Guo, Q.; Liu, L. Synthesis and electrochemical properties of artificial graphite as an anode for high-performance lithium-ion batteries. Carbon 2013, 64, 553–556. [Google Scholar] [CrossRef]
- Ma, C.; Zhao, Y.; Li, J.; Song, Y.; Shi, J.; Guo, Q.; Liu, L. The electrochemical performance of pitch coke anodes containing hollow carbon nanostructures and nickel nanoparticles for high-power lithium ion batteries. Electrochim. Acta 2013, 112, 394–402. [Google Scholar] [CrossRef]
- Li, L.; Zhang, D.; Deng, J.; Gou, Y.; Fang, J.; Cui, H.; Zhao, Y.; Cao, M. Carbon-based materials for fast charging lithium-ion batteries. Carbon 2021, 183, 721–734. [Google Scholar] [CrossRef]






| Number | Anode Material | Current Density (A/g) | Cycle Number | Capacity (mAh g−1) | Reference |
|---|---|---|---|---|---|
| 1 | Porous graphene | 2 | 1200 | 142 | [44] |
| 2 | Graphitized CNTs | 0.1 | 150 | 527 | [35] |
| 3 | Hard-carbon/graphene | 0.1 | 500 | 623 | [45] |
| 4 | graphene nanomeshes | 0.05 | 100 | 1221 | [46] |
| 5 | Graphene sheets | 0.0744 | 200 | 730 | [47] |
| 6 | Graphitic onion-like carbon | 1 | 300 | 312 | [42] |
| 7 | Carbon nanofibers | 1 | 1000 | 323 | [48] |
| 8 | CNBs | 0.2 | 256 | 596.2 | This work |
Disclaimer/Publisher’s Note: The statements, opinions and data contained in all publications are solely those of the individual author(s) and contributor(s) and not of MDPI and/or the editor(s). MDPI and/or the editor(s) disclaim responsibility for any injury to people or property resulting from any ideas, methods, instructions or products referred to in the content. |
© 2023 by the authors. Licensee MDPI, Basel, Switzerland. This article is an open access article distributed under the terms and conditions of the Creative Commons Attribution (CC BY) license (https://creativecommons.org/licenses/by/4.0/).
Share and Cite
Wang, L.; Liu, T.; Ji, S.; Yang, S.; Wang, H.; Yang, J. Electrochemical Properties of Carbon Nanobeads and Mesophase-Pitch-Based Graphite Fibers as Anodes for Rechargeable Lithium-Ion Batteries. Coatings 2023, 13, 1671. https://doi.org/10.3390/coatings13101671
Wang L, Liu T, Ji S, Yang S, Wang H, Yang J. Electrochemical Properties of Carbon Nanobeads and Mesophase-Pitch-Based Graphite Fibers as Anodes for Rechargeable Lithium-Ion Batteries. Coatings. 2023; 13(10):1671. https://doi.org/10.3390/coatings13101671
Chicago/Turabian StyleWang, Liyong, Tiantian Liu, Shengsheng Ji, Shiwen Yang, Huiqi Wang, and Jinhua Yang. 2023. "Electrochemical Properties of Carbon Nanobeads and Mesophase-Pitch-Based Graphite Fibers as Anodes for Rechargeable Lithium-Ion Batteries" Coatings 13, no. 10: 1671. https://doi.org/10.3390/coatings13101671
APA StyleWang, L., Liu, T., Ji, S., Yang, S., Wang, H., & Yang, J. (2023). Electrochemical Properties of Carbon Nanobeads and Mesophase-Pitch-Based Graphite Fibers as Anodes for Rechargeable Lithium-Ion Batteries. Coatings, 13(10), 1671. https://doi.org/10.3390/coatings13101671

