Next Article in Journal
Impact of Bulk and Nano Bismuth Oxide on the Attenuation Parameters of Bentonite Barite Composites
Next Article in Special Issue
Innovative Methodologies for the Conservation of Cultural Heritage against Biodeterioration: A Review
Previous Article in Journal
Study on the Ageing Characteristics of Silicone Rubber for Composite Insulators under Multi-Factor Coupling Effects
Previous Article in Special Issue
Proposal of New Natural Hydraulic Lime-Based Mortars for the Conservation of Historical Buildings
 
 
Font Type:
Arial Georgia Verdana
Font Size:
Aa Aa Aa
Line Spacing:
Column Width:
Background:
Article

Surface-Active Ionic-Liquid-Based Coatings as Anti-Biofilms for Stone: An Evaluation of Their Physical Properties

1
Department of Chemical, Biological, Pharmaceutical and Environmental Sciences, University of Messina, Viale F. Stagno d’Alcontres, 31, 98166 Messina, Italy
2
Department of Ecosustainable Marine Biotechnology (BLUBIO), Stazione Zoologica Anton Dohrn, Calabria Marine Centre, C.da Torre Spaccata, 87071 Amendolara, Italy
3
Department of Ecosustainable Marine Biotechnology (BLUBIO), Stazione Zoologica Anton Dohrn, Via Acton, 55, 80133 Naples, Italy
4
Department of Biology, Ecology and Earth Sciences, University of Calabria, Via P. Bucci Cubo 12 B, 87036 Arcavacata di Rende, Italy
*
Author to whom correspondence should be addressed.
Coatings 2023, 13(10), 1669; https://doi.org/10.3390/coatings13101669
Submission received: 24 August 2023 / Revised: 18 September 2023 / Accepted: 20 September 2023 / Published: 23 September 2023

Abstract

:
The biodeterioration of stone surfaces can be a threat to the conservation of built heritage. Much effort has been put into finding treatments and processes to mitigate biocolonization and its effects, both in terrestrial and underwater environments. Recently, the use of surfactant ionic liquids has been shown to have biocidal and antifouling effects on stone. However, little information is currently available on the morphological and physical properties of such coatings. In this paper, we report on the physical characterization of coatings based on an ionic liquid (IL) consisting of N-(2-hydroxyethyl)-N,N-dimethyl-1-do-decanaminium cation and a combination of bromide and dodecylbenzenesulfonate (DBS) anions in a molar ratio of 3:1, respectively. Nanosilica and tetraethyl orthosilicate were used as binders to promote the adhesion of the ionic liquid to the stone surface. The coatings were applied on Carrara marble samples and analyzed using Scanning Electronic Microscopy (SEM), static contact angles, colorimetric measurements and capillary water absorption. The resistance to UV radiation and seawater was also investigated. The results show that the IL behaves differently depending on the binder. The latter influences the arrangement of the IL and its wettability, which decreases in the case of NanoEstel, whereas this parameter increases in the case of Estel. In addition, the coatings show good resistance to the degradation agents.

1. Introduction

The surface of an inorganic material exposed to air or in an underwater environment suffers the action of agents that cause its deterioration [1,2]. Air pollutants, micro-organisms and continuous climatic variations [3] produce physical and chemical phenomena such as breakdown, exfoliation, efflorescence, cracks and black crusts. Similarly, exposed stone surfaces in a submerged environment undergo different forms of degradation that depend on different and mutable exposure conditions [4]. Stone materials in contact with the aquatic environment behave as attachment substrates for a variety of micro-organisms that can modify the stone’s surface, resulting in alteration and deterioration processes [5]. When these processes damage our historical and artistic heritage, it becomes necessary to look for a way to prevent them [6,7].
The microbial biodeterioration of stone materials in subaerial environments is a well-documented process [8,9,10], but the knowledge of the impact of micro-organisms on archaeological artifacts in marine environments has large gaps. The process of bioerosion in the underwater environment is due to a process called “marine biofouling” that starts immediately after the exposure of a given surface in a water environment [11]. For this reason, the large historical and archaeological heritage submerged and/or recovered from underwater environments is sometimes threatened by degradation and unsuitable conservation strategies [12]. When an inorganic material comes into contact with the marine environment, it is quickly colonized by micro-organisms that produce microfouling [13,14]. Microbial biofilm in most cases offers a basis for the settlement of macrofoulers, with the consequent loss of the readability of the artefacts and of the material itself, or acts as a barrier against environmental stresses and further biofouler colonization [15].
Therefore, the development of methods to prevent the colonization of aerial and submerged cultural heritage must be based on strategies that, in addition to making the surface not available for microbial colonization, take into account the intrinsic properties of stone and of the environment, according to the mechanics of degradation processes and environmental factors [16,17].
Due to its characteristic of providing lasting protection, the preventive approach is the most in-demand and pursued one. Effective solutions, mainly deriving from bio- and nanotechnologies, have been proposed in this context [17,18,19]. These, to be considered innovative, have to be eco-sustainable. In short, they have to match “green restoration criteria”, recently suggested as “all the eco-sustainable practices to be used in the conservation and restoration of Cultural Heritage assets, alternatives to traditional products and methods which are often toxic and harmful for the users and the environment” [20]. In this scenario, concepts such as Safe by Design (SbF) structural–functional relationships, non-destructive reversible procedures, bioreceptivity materials and biodegradation have to be considered in the development of innovative products/processes [21]. Such premises make the design of true sustainable protocols difficult to realize. In fact, today, surface-active quaternary ammonium (QAC)-based formulations, which adopt more sustainable protocols, are being used the most.
Indeed, ionic liquids (ILs) were proposed as a class of materials potentially capable of fulfilling the “green criteria” [20]. These, in brief, are a class of low-melting-point organic salts, exhibiting a plethora of tunable properties spanning from physico-chemical [22,23] to biological [24], which have found application in many fields. Such a versatility arises from their ionic nature, which allows synthetic control of their properties using the right combination of cation/anion coupling. Due to their widespread use, ILs’ environmental impact, including toxicity and biodegradability, has been deeply investigated. This has led to the so-called “ILs of third generation” based on naturally occurring and or biodegradable ions (cholinium, morfolinium amino acids and drug anions) [25,26,27]. Interestingly, for stone conservation, the introduction of surfactant moieties inside the IL ion pair makes them intriguing, in terms of surface activity and, hence, bioactivity. Consistently, ILs fall into the class of Safe by Design (SbD) due to their antimicrobial features. Although few data are available in this context, the results appear promising [20,28,29,30].
De Leo and coworkers [28] reported on the antimicrobial/antifouling properties of a family of surfactant ILs designed by taking into account environmentally eco-sustainable criteria. These feature a series of mono- and di-cholinium cations bearing alkyl chains of different lengths and, as anions, conventional halides or surfactant dodecylbenzenesulfonate (DBS) in order to also ascertain the influence of the nature of anions on the overall bioactivity of the species. Minimum inhibitory concentration (MIC) and minimum bactericidal concentration (MBC) analyses and agar diffusion test vs. Gram (+) tests of yeasts and black fungi revealed that the biocide activity of these systems was firstly dependent on the nature of cations, in that only those bearing long alkyl chain lengths displayed antimicrobial activity. This confirms once more the lipophilicity–antimicrobial activity relationship as observed for QAC. Interestingly, from these studies, the tuning role played by the surfactant DBS anion on the bioactivity of ILs also emerged. Based on agar diffusion tests, it was established that the cholinium ionic liquid based on the N-(2-Hydroxyethyl)-N,N-dimethyl-1-dodecanaminium cation and a combination of bromide and dodecylbenzenesulfonate (DBS) anions in the molar ratio 3:1 (IL) was the most performant (Figure 1).
As part of a project aimed at evaluating the potential of IL in the development of antifouling coatings for stones, we report here on the physico-chemical investigations performed on silica@IL layers, deposited on Carrara marble specimens. A nanosilica suspension and tetraethyl orthosilicate as silica precursors were used to promote the adhesion of the IL on the stone surface, as well as act as stone consolidating agents. The physico-chemical behavior of the treated surfaces was tested in terms of micromorphology, colorimetric variations, wettability and water absorption capability. Furthermore, the effect of UV radiation and seawater on the features of the coatings, in order to assess their durability against the weathering agents, was also reported. In particular, the results obtained are consistent with the hydrophilic coatings exhibiting a good resistance to atmospheric agents, even if long-term trials are required.

2. Materials and Methods

2.1. IL Synthesis and Binders

All the chemicals, unless otherwise stated, were purchased from Sigma-Aldrich and used as supplied.
The ionic liquid (IL) under study here (Figure 1), featuring N-(2-Hydroxyethyl)-N,N-dimethyl-1-dodecanaminium as the cation and bromide and dodecylbenzenesulfonate (DBS) anions in the molar ratio 3:1, was obtained by following a procedure already adopted for the synthesis of analogous cholinium ILs [27].
In brief, a methanol suspension (30 mL) of NaDBS (0.82 g, 2.34 mmol) was added to a solution (170 mL) of the N-(2-Hydroxyethyl)-N,N-dimethyl-1-dodecanaminium bromide in the same solvent (3.17 g, 9.375 mmol). The resulting mixture was left under stirring for 12 h and then left to stand at 10 °C for 3 h. The IL containing “mother liquors” was pipetted off and then diluted to 250 mL to reach a concentration of ca. 0.0375 M in cholinium-based cation. Before using, a strong sonication of the IL mixture is highly recommended to avoid significant aggregation phenomena. Indeed, the IL methanol mixture appeared transparent at the naked eye. Nevertheless, DLS measurements revealed the presence of agglomerations even at a concentration of 0.4 mM (work in progress), consistent with the presence of surfactant species.
The IL Pyrene-1-sulfonate derivative (ILPyrS) was obtained as follows: 0.074 g (0.45 mmol) (ca. 6% by mol) of sodium Pyrene-1-sulfonate was added to a methanol mixture (200 mL) of IL (concentration 0.0375 M) and the resulting mixture was left under stirring overnight. The resulting light-yellow suspension was pipetted off and used without further work-up (IL-PyrS). ILPyrS was used to check the presence of IL on the surface, its distribution and its resistance to washout.
Regarding the binders, NanoEstel (CTS srl, Altavilla Vicentina, Italy), Estel 1000 (hereinafter named Estel) (CTS srl, Altavilla Vicentina, Italy) and pure tetraethyl orthosilicate (TEOS) were used. NanoEstel is a waterborne suspension of silica nanoparticles having a mean diameter of 30 nanometers and a concentration of silica 30% wt, while Estel is based on TEOS in white spirit (concentration 75% wt).

2.2. Treatments

Carrara marble was used as the stone material in the experimentation. From a mineralogical point of view, it is constituted mainly of calcite and it has a low porosity (about 2%). It was widely used in the past, especially since the Roman epoch, and is still used nowadays. It has high homogeneity.
Several specimens were cut into two sizes: 5 × 5 × 2 cm and 2.7 × 2.7 × 1 cm. The choice of the total number of samples for the tests was made in relation to the number of treatments to be carried out, and to the different tests planned for the trials. All tests were performed in triplicate. Before treatment, all specimens were cleaned and washed in bidistilled water to remove any residual impurities and dried in the oven for 24 h at 80 °C. Then, each probe was properly signed and subjected to the corresponding treatment.
Three different treatments on specimens sized 5 × 5 × 2 cm were performed: (a) NanoEstel treatment and application of IL after the setting of the binder (bilayer treatment, NES + I); (b) a mixture of TEOS and IL applied together on the stone (monolayer treatment, ES + I); and (c) Estel treatment and application of IL after the setting of the binder (bilayer treatment, ES + I). All applications were performed using a brush.
In more detail, NanoEstel was used diluted 1:2 with bidistilled water, and the treated specimens were left to dry at room temperature for 4 days before IL application. Treatments with Estel were carried out by applying the product on stone without any further dilution, leaving it to dry and setting it at room temperature for 4 weeks before IL application. The treatment with TEOS and IL was carried out by adding 50 mL of absolute ethanol to 73 g (77.6 mmol) of TEOS, and the mixture was then added to 250 mL of IL mixture. This mixture was then applied on the stone surface. In order to evaluate the effect of the bare binders, treatments were also carried out without IL.
Some specimens (sized 2.7 × 2.7 × 2 cm) were treated following the procedures mentioned above, except, in these cases, IL-PyrS was used. This is due to the luminescence of the product, which can be checked using UV light, which represents a tag to check for the presence, distribution and persistence of the IL on the stone surface.
In Table 1, a summary of the treatments is reported.

2.3. Measurements

The micro-morphological features of the coatings were explored using scanning electron microscopy (SEM). For this reason, an ultra-high-resolution SEM (UHR-SEM) ZEISS CrossBeam 350 equipment, coupled with the spectrometer EDS-EDAX OCTANE, was used.
Colorimetric measurements of the stone samples were carried out with the ZL 310 colorimeter. The measures were carried out according to the guidelines given by 28. UNI EN ISO/CIE 11664-4:2019 [31]. The instrument provided data on L*, a* and b* coordinates, which were incorporated into the CIE system, obtaining information about the brightness and chromaticity of the materials’ surfaces. The chromatic variation in the treated surfaces was evaluated by calculating ΔE = (ΔL2 + Δa2 + Δb2)1/2. Five surface analysis points of similar aspect were selected for each stone specimen. Colorimetric analysis was performed on all specimens before respective treatment, after treatment and after UV-daylight weathering. This allowed for the characterization of the colorimetric properties of the stone surfaces of each sample without falling into random errors due to the original chromatic variations present on one sample’s surface. Next, the ΔE values of the samples treated with the same coating were averaged to obtain a single value and standard deviation.
The evaluation of the possible variation in the amount and speed of capillary water absorption on the treated surfaces was carried out according to UNI EN 15801:2010 [32]. This test was performed on specimens treated with the coatings containing the ionic liquids and on the same after UV-daylight weathering. A layer of absorbent paper about 1 cm thick was placed in the bottom of a container. Demineralized water was added to the container until the absorbent layer was saturated. The specimens were weighed and placed on the laying bed with the test surface in contact with the wet paper. The specimens were removed from the support and weighed after 10, 20, 30 and 60 min and after 4, 6, 24, 48, 72 and 96 h. After 5 days from the start of the trial, the test was stopped because the specimens showed a saturated state. The amount of water absorbed by the specimen as a function of time was expressed as Qi = [(mi − m0)/A], which is the difference between the mass of the specimen at time ti and the mass of the dry specimen in relation to the surface area in contact with water. Next, the Qi values of the equally treated samples were averaged to obtain a single value and standard deviation.
Using the contact angle test, the variations in the degree of hydrophilicity/hydrophobicity of the stone surfaces following treatment with coatings containing antifouling products were assessed. The measure of the contact angle was performed with an LSA LAUDA Scientific Surface Analyzer System. Static contact angle measurements [33] were conducted on all specimens before and after treatment and after UV-daylight aging. The results of the averages were in turn averaged to obtain a single value and standard deviation. The result was indicative of the type of interaction between water and the whole contact surface of one specimen.

2.4. UV-Daylight Weathering and Washout Tests

The samples were subjected to artificial daylight radiation using a SUNTEST XLS+ chamber to check variations in the properties of treated materials that would occur with exposure to solar radiation. The specimens were left for 507 h under the action of a daylight artificial fluorescent lamp combining visible and UV outputs (λ = 300–800 nm, irradiance = 500 W/m2) at a temperature of about 35 °C. To check for any forms of degradation of the newly designed coatings, such as brightening, yellowing or loss of durability, the aged specimens were subsequently resubjected to the tests described above.
Marble specimens treated with pyrene sulfonate-tagged coatings were subjected to washout tests to evaluate the durability of coatings containing IL in an underwater environment. Aging tests were carried out in contact with sterile seawater to evaluate possible forms of degradation of coatings not due to the presence of micro-organisms but to the action exerted by seawater. Untreated and treated marble probes were sterilized under UV light for 30 min upside down and for 2 h facing the test surface in contact with radiation to ensure that the whole probe surface was sterile. Then, each sample was placed inside a 120 mL screw-cap sterile container and 80 mL sterile seawater was added. The water was previously prepared via vacuum filtration in a Stericup system and subsequent sterilization in an autoclave at 121 °C for 20 min. The resulting systems were incubated for 15 days in a thermostatic shaker incubator with rotating speed 100 r/min. At the end of incubation, the samples were washed with bidistilled water and dried in the oven for 2 h at 40 °C. The treated specimens were weighed before and after the test to verify the complete removal of moisture.

3. Results and Discussions

3.1. Behavior of the Coatings and Effect of UV Aging

In Figure 2, SEM images of treated and untreated surfaces are reported. A comparison between the untreated surfaces and the surface treated with NanoEstel (NES and NES + I) reveals that this binder produces a very cracked surface. This may be ascribed to a poor penetration of the nanosilica particles into the stone and to the shrinking that takes place during the condensation of the particles. On the Estel-treated specimens (ES and ES + I), a coating with sporadic cracks is visible. TEOS treatments (TE and TE + I) led to surfaces that appeared similar to the untreated ones, suggesting that the product penetrated into the stone. In all cases, it seems that the addition of IL did not affect, significantly, the morphology of the coating.
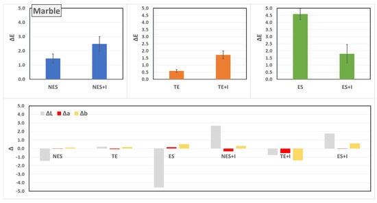
The colorimetric variations induced by binders and IL were also investigated. This information is useful for analyzing the features of the coatings from an aesthetic point of view. In Figure 3, the effect of treatment on bare marble is shown. For all the three treatments, the colorimetric variation was below 5, which is generally considered as a threshold above which the color variation is detectable by the naked eye and, thence, unacceptable in the field of cultural heritage conservation. In the cases of NanoEstel and TEOS used as binders, the sole binders induced a color variation below 2, while the addition of IL made the variation slightly higher. A different behavior was detected for Estel treatment. In this case, the bare binder induced a stronger color variation, of a magnitude of about 4.5. A deeper analysis that takes into account the single components (L*, a* and b*) reveals that the coordinate L* seems to be the most impactful parameter on the Delta E value. In particular, for Estel treatment, the L* values dropped by about 4 units, due to a wetting effect ascribable to the solvent of the consolidant that remains trapped in the stone as the ethyl silicate cures [34]. This is a transient effect, although it can last for several months after treatment.
The calculation of colorimetric variations between treated and aged specimens can provide information about the effects of UV-daylight radiation on the treated surface. The variations in terms of ΔE and of the single components (ΔL, Δa and Δb) are reported in Figure 4. For all treatments, a variation in ΔE below 3.5 has been detected. In all three cases, binders and IL suffered a higher variation with respect to the bare binder. The color induced by TE + I treatment suffered less from UV radiation; this is probably due to the fact that the IL was not applied on the surface in a two-step process, as it was present in bulk due to being all applied at once. Looking at the single components, even in this case the L* coordinate is the most variable. It is worth noting that for NES + I and ES + I the L* coordinate goes in the opposite direction with respect to treated–untreated variation (Figure 3), as a consequence of the coating equilibrium processes induced by UV-daylight radiation.
Capillary absorption tests were carried out on untreated, treated and aged marble specimens (Figure 5). Using this assessment, it is possible to understand the effect of binders and IL on water uptake. It should be pointed out that, although marble has a low porosity and, therefore, a low water uptake, our findings show that the effect of the treatments is not negligible. A significant variation in water uptake can be due either to a lowering of the porosity, as pores are filled with the consolidant, or to the hydrophobicity of the surface.
The behavior of the TEOS- and NanoEstel-treated specimens is quite similar to that of the untreated ones. This means that there is not a significant decrease in the porosity induced by the consolidant, nor in the hydrophobicity. On the contrary, Estel treatment induces a significant decrease in water absorption. This result may be attributable to a transient hydrophobicity, caused by the entrapment of solvent in the coating during the curing process, and is consistent with the colorimetric data detected for the same treatment. The comparison between the absorption curves of treated samples with and without IL suggests that the addition of IL exerts a slight effect on the Estel binder, leading to a faster water uptake, even if the final absorption value is lower than that recorded for the sample treated with only Estel.
The same trend of speeding up the water uptake for Estel is detected for the aged samples. This can be due to a “desiccant effect” of the UV-daylight radiation.
The contact angle measurements are reported in Figure 6. The untreated marble specimen shows a contact angle of about 40°. NES treatment leads to a hydrophilic surface since the measured contact angle is 0. This is due to nanosilica, which, once cured, leaves a negative charge on its surface due OH groups [28]. This effect can also be enhanced by the cracking on the surface observed via SEM (Figure 2). An interesting behavior is observed after IL application, as the NES + I treatment shows a similar wettability to the untreated sample.
Considering the ionic nature of IL, it is reasonable to assume that it interacts with the negatively charged stone silica surface via electrostatic bonds, with the surfactant cation playing the main role. In this light, an arrangement, in which the positive head is oriented towards the stone surface and the non-polar tail upward, is conceivable and explains the contact angle increasing [35].
TEOS treatment does not significantly change the wettability of the surface; moreover, IL addition does not affect its behavior. For Estel treatment, a great increase in the contact angle is detected. Again, this behavior is ascribable to the residue solvent in the coating. The application of the IL leads to a dropdown in the contact angle. Here, the dynamics can be the opposite with respect to those observed for NES + I. In this case, the coating is mostly nonpolar, and when IL is applied, the anion and cation are preferably oriented with tails downward and polar heads upward; this arrangement leads to a higher wettability of the surface, and then to a low/null contact angle. Aging can exert just a physical effect related to the evaporation of the solvent, which is the primary cause of the whole dynamics. This result is consistent with the colorimetric measurements, in which the color variation after aging is compatible with sample drying and capillary absorption, and occurs slightly faster for the aged sample as well as for IL application.

3.2. Washout Test

Another feature explored is the resistance of the coatings, in terms of composition and surface microstructure, toward seawater. This can simply leach the IL away, since the bond between the IL and the binder may exhibit a reversible nature. The seawater can also have an effect on the microstructure by rearranging the IL orientation.
In Figure 7, the photos taken with UV radiation are presented, highlighting the luminescence of I—PyrS. The difference between the blank sample and treated samples before the washout test is evident; the former is completely devoid of luminesce, while the latter shows a very visible luminesce. After the washout test, all samples show a similar luminescence to the unwashed ones, suggesting that the IL has a resistance toward seawater, although a quantitative assessment would need more complex experimentation.
In addition, the measurement of the contact angle on washed-out samples (Figure 8) was repeated. Seawater seems to have no effect on surfaces treated with TEOS, while for the NES- and NES + I-treated samples a slight increase in wettability is detected, attributable to an increase in OH groups on the surface. A more complex pattern is observed for TEOS treatment. Samples treated with the bare consolidant show a decrease in the contact angle, analogously to that observed after UV aging (Figure 6), while for those treated with TEOS and IL, a slight increase is detected.

4. Conclusions

In this paper, an ionic liquid (IL), consisting of N-(2-hydroxyethyl)-N,N-dimethyl-1-do-decanaminium cation and a mixture of bromide and dodecylbenzenesulfonate (DBS) anions in a molar ratio of 3:1, was applied on marble specimens together with the consolidants/binders NanoEstel, TEOS and Estel, used as adhesion promoters. The results suggest that the coatings are resistant to seawater and UV-daylight radiation. Moreover, IL seems to have a negligible effect on the micromorphology of the coating, but it has a significant effect on the wettability. In particular, it decreases the wettability in the case of NanoEstel, while this parameter increases for Estel with IL. This was attributed to the hydrophilicity induced by NanoEstel and hydrophobicity induced by Estel. When IL is applied, the arrangement of their ions compensates for the previous hydrophilicity/hydrophobicity of the surface. Further work has been planned in order to explore how the different IL dispositions influence the biocidal activity, as well as how longer-term exposure to weathering agents affects the coatings’ features.
Obtaining hydrophilic surfaces bodes well for the antifouling activity of products in an aquatic environment. Water molecules on hydrophilic surfaces may generate a hydration layer, which, in turn, prevents the colonization process of micro-organisms on the surface [36]. All the silica@IL coatings studied herein displayed hydrophilic behavior. This result suggests that surfactant ionic liquids and, more generally, IL technology may significantly contribute to the development of novel antifouling/hydrophilic coatings for stone conservation, even in a submerged environment.

Author Contributions

Conceptualization, F.D.L., S.L.S., C.U. and S.A.R.; methodology, S.L.S., M.L., M.R. and D.D.P.; investigation, M.L., S.L.S., S.A.R., C.G. and N.R.; data curation, S.A.R., M.L. and M.R.; writing—original draft preparation, M.L., S.L.S. and S.A.R.; writing—review and editing, M.R., M.F.L.R., C.G. and N.R.; supervision, M.F.L.R., C.U. and D.D.P.; funding acquisition, N.R., D.D.P. and M.F.L.R. All authors have read and agreed to the published version of the manuscript.

Funding

This research was funded by the UNALTERABLE project, funding program CRIMAC-Centro Ricerche ed Infrastrutture Marine Avanzate in Calabria—Fondo FSC 2014–2020—Piano Stralcio «Ricerca e Innovazione 2015–2017»—Programma Nazionale Infrastrutture di Ricerca (PNIR), linea d’azione 1.

Institutional Review Board Statement

Not applicable.

Informed Consent Statement

Not applicable.

Data Availability Statement

Not applicable.

Conflicts of Interest

The authors declare no conflict of interest.

References

  1. Patil, S.M.; Kasthurba, A.K.; Patil, M.V. Characterization and assessment of stone deterioration on Heritage Buildings. Case Stud. Constr. Mater. 2021, 15, e00696. [Google Scholar] [CrossRef]
  2. Doehne, E.; Price, C.A. Stone Conservation: An Overview of Current Research; Getty Conservation Institute: Los Angeles, CA, USA, 2010. [Google Scholar]
  3. Camuffo, D. Microclimate for Cultural Heritage: Measurement, Risk Assessment, Conservation, Restoration, and Maintenance of Indoor and Outdoor Monuments, 3rd ed.; Elsevier: Amsterdam, The Netherlands, 2019; pp. 1–552. [Google Scholar]
  4. Sacco Perasso, C.; Antonelli, F.; Calcinai, B.; Casoli, E.; Gravina, M.F.; Ricci, S. The Bioerosion of Submerged Archeological Artifacts in the Mediterranean Sea: An Overview. Front. Mar. Sci. 2022, 9, 888731. [Google Scholar] [CrossRef]
  5. Flemming, H.S.; Wingender, J.; Szwqzyk, U.; Steinberg, P.; Rice, S.A.; Kjelleberg, S. Biofilms: An emergent form of bacterial life. Nat. Rev. Microbiol. 2016, 14, 563–575. [Google Scholar] [CrossRef] [PubMed]
  6. Bruno, F.; Muzzupappa, M.; Barbieri, L.; Gallo, A.; Ritacco, G.; Lagudi, A.; La Russa, M.F.; Ruffolo, S.A.; Crisci, G.M.; Ricca, M.; et al. The CoMAS project: New materials and tools for improving the in situ documentation, restoration, and conservation of underwater archaeological remains. Mar. Technol. Soc. J. 2016, 50, 108–118. [Google Scholar] [CrossRef]
  7. La Russa, M.F.; Ruffolo, S.A.; de Buergo, M.Á.; Ricca, M.; Belfiore, C.M.; Pezzino, A.; Crisci, G.M. The behaviour of consolidated Neapolitan yellow Tuff against salt weathering. Bull. Eng. Geol. Environ. 2017, 76, 115–124. [Google Scholar] [CrossRef]
  8. Gaylarde, C.C.; Morton, L.H.G. Deteriogenic biofilms on buildings and their control: A review. Biofouling 1999, 14, 59–74. [Google Scholar] [CrossRef]
  9. De Leo, F.; Marchetta, A.; Urzì, C. Black Fungi on Stone-Built Heritage: Current Knowledge and Future Outlook. Appl. Sci. 2022, 12, 3969. [Google Scholar] [CrossRef]
  10. Urzi, C. Microbial deterioration of rocks and marble monuments of the Mediterranean basin: A review. Corros. Rev. 2004, 22, 441–457. [Google Scholar] [CrossRef]
  11. Ricca, M.; La Russa, M.F. Challenges for the protection of underwater cultural heritage (Uch), from waterlogged and weathered stone materials to conservation strategies: An overview. Heritage 2020, 3, 402–411. [Google Scholar] [CrossRef]
  12. Aloise, P.; Ricca, M.; La Russa, M.F.; Ruffolo, S.A.; Belfiore, C.M.; Padeletti, G.; Crisci, G.M. Diagnostic analysis of stone materials from underwater excavations: The case study of the Roman archaeological site of Baia (Naples, Italy). Appl. Phys. A Mater. Sci. Process. 2014, 114, 655–662. [Google Scholar] [CrossRef]
  13. Callow, M.E.; Callow, J.A. Marińe biofouling: A sticky problem. Biologist 2002, 49, 10–14. [Google Scholar] [PubMed]
  14. Bromley, R.G. A stratigraphy of marine bioerosion. Geol. Soc. Spec. Public 2004, 228, 455–479. [Google Scholar] [CrossRef]
  15. Flemming, H.-C.; Wingender, J. The biofilm matrix. Nat. Rev. Microbiol. 2010, 8, 623–633. [Google Scholar] [CrossRef] [PubMed]
  16. Bruno, L.; Casieri, C.; Gabriele, F.; Ranaldi, R.; Rugnini, L.; Spreti, N. In situ application of alginate hydrogels containing oxidant or natural biocides on Fortunato Depero’s mosaic (Rome, Italy). Int. Biodeterior. Biodegrad. 2023, 183, 105641. [Google Scholar] [CrossRef]
  17. La Russa, M.F.; Macchia, A.; Ruffolo, S.A.; De Leo, F.; Barberio, M.; Barone, P.; Crisci, G.M.; Urzi, C. Testing the antibacterial activity of doped TiO2 for preventing biodeterioration of cultural heritage building materials. Int. Biodeter. Biodegr. 2014, 96, 87–96. [Google Scholar] [CrossRef]
  18. Bergamonti, L.; Alfieri, I.; Lorenzi, A.; Montenero, A.; Predieri, G.; Barone, G.; Lottici, P.P. Nanocrystalline TiO2 by sol–gel: Characterisation and photocatalytic activity on Modica and Comiso stones. Appl. Surf. Sci. 2013, 282, 165–173. [Google Scholar] [CrossRef]
  19. Palla, F.; Bruno, M.; Mercurio, F.; Tantillo, A.; Rotolo, V. Essential Oils as Natural Biocides in Conservation of Cultural Heritage. Molecules 2020, 25, 730. [Google Scholar] [CrossRef]
  20. Lo Schiavo, S.; De Leo, F.; Urzì, C. Present and Future Perspectives for Biocides and Antifouling Products for Stone-Built Cultural Heritage: Ionic Liquids as a Challenging Alternative. Appl. Sci. 2020, 10, 6568. [Google Scholar] [CrossRef]
  21. Semenzin, E.; Giubilato, E.; Badetti, E.; Picone, M.; Volpi Ghirardini, A.; Hristozov, D.; Brunelli, A.; Marcomini, A. Guiding the development of sustainable nano-enabled products for the conservation of works of art: Proposal for a framework implementing the safe by design concept. Environ. Sci. Pollut. Res. 2019, 26, 26146–26158. [Google Scholar] [CrossRef] [PubMed]
  22. Xin, B.; Hao, J. Imidazolium-based ionic liquids grafted on solid surfaces. Chem. Soc. Rev. 2014, 43, 7171. [Google Scholar] [CrossRef]
  23. Cardiano, P.; Fazio, E.; Lazzara, G.; Manickam, S.; Milioto, S.; Neri, F.; Mineo, P.G.; Piperno, A.; Lo Schiavo, S. Highly untangled multiwalled carbon nanotube@polyhedral oligomeric silsesquioxane ionic hybrids: Synthesis, characterization and nonlinear optical properties. Carbon 2015, 86, 325–337. [Google Scholar] [CrossRef]
  24. Pendleton, J.N.; Gilmore, B.F. The antimicrobial potential of ionic liquids: A source of chemical diversity for infection and biofilm control. Int. J. Antimicrob. Agents 2015, 46, 131–139. [Google Scholar] [CrossRef] [PubMed]
  25. Ferraz, R.; Branco, L.C.; Prudencio, C.; Noronha, J.P.; Petrovski, Z. Ionic Liquids as active pharmaceutical ingredients. ChemMedChem 2011, 6, 975–985. [Google Scholar] [CrossRef]
  26. Santos, J.I.; Gonçalves, A.M.M.; Pereira, J.L.; Figueiredo, B.F.H.T.; Silva, F.A.; Coutinho, J.A.P.; Ventura, S.P.M.; Gonçalves, F. Environmental safety of cholinium-based ionic liquids: Assessing structure–ecotoxicity relationships. Green Chem. 2015, 17, 4657–4668. [Google Scholar] [CrossRef]
  27. Petkovic, M.; Seddon, K.R.; Rebelo, L.P.N.; Pereira, C.S. Ionic liquids: A pathway to environmental acceptability. Chem. Soc. Rev. 2011, 40, 1383–1403. [Google Scholar] [CrossRef] [PubMed]
  28. De Leo, F.; Marchetta, A.; Capillo, G.; Germanà, A.; Primerano, P.; Lo Schiavo, S.; Urzì, C. Surface Active Ionic Liquids Based Coatings as Subaerial Anti-Biofilms for Stone Built Cultural Heritage. Coatings 2021, 11, 26. [Google Scholar] [CrossRef]
  29. Eyssautier-Chuine, S.; Franco-Castillo, I.; Misra, A.; Hubert, J.; Vaillant-Gaveau, N.; Streb, C.; Mitchell, S.G. Evaluating the durability and performance of polyoxometalate-ionic liquid coatings on calcareous stones: Preventing biocolonisation in outdoor environments. Sci. Total Environ. 2023, 884, 163739. [Google Scholar] [CrossRef] [PubMed]
  30. De Leo, F.; Cardiano, P.; De Carlo, G.; Lo Schiavo, S.; Urzì, C. Testing the antimicrobial properties of an upcoming “environmental-friendly” family of ionic liquids. J. Mol. Liq. 2017, 248, 81–85. [Google Scholar] [CrossRef]
  31. ISO/CIE 11664-4:2019; Colorimetria-Parte 4: Spazio colore L* a* b* CIE 1976. Ente Nazionale Italiano di Unificazione: Milano, Italy, 2019.
  32. ISO/CIE 15801:2010; Conservazione dei beni Culturali-Metodi di Prova-Determinazione Dell’assorbimento Dell’acqua per Capillarità. Ente Nazionale Italiano di Unificazione: Milano, Italy, 2010.
  33. ISO/CIE 15802:2010; Conservazione dei beni Culturali-Metodi di Prova-Determinazione Dell’angolo di Contatto Statico. Ente Nazionale Italiano di Unificazione: Milano, Italy, 2010.
  34. Manoudis, P.N.; Karapanagiotis, I.; Tsakalof, A.; Zuburtikudis, I.; Kolinkeová, B.; Panayiotou, C. Superhydrophobic films for the protection of outdoor cultural heritage assets. Appl. Phys. A Mater. Sci. Proc. 2009, 97, 351–360. [Google Scholar] [CrossRef]
  35. Wang, Y.; Li, L. Uncovering the Underlying Mechanisms Governing the Solidlike Layering of Ionic Liquids (ILs) on Mica. Langmuir 2020, 36, 2743–2756. [Google Scholar] [CrossRef]
  36. Donnelly, B.; Sammut, K.; Tang, Y. Materials Selection for Antifouling Systems in Marine Structures. Molecules 2022, 27, 3408. [Google Scholar] [CrossRef] [PubMed]
Figure 1. Chemical structure of the used ionic liquid (IL).
Figure 1. Chemical structure of the used ionic liquid (IL).
Coatings 13 01669 g001
Figure 2. SEM images of untreated and treated marble surfaces.
Figure 2. SEM images of untreated and treated marble surfaces.
Coatings 13 01669 g002
Figure 3. Colorimetric differences between untreated and treated specimens. For each treatment, the ΔE value with its components (ΔL, Δa, Δb) is reported.
Figure 3. Colorimetric differences between untreated and treated specimens. For each treatment, the ΔE value with its components (ΔL, Δa, Δb) is reported.
Coatings 13 01669 g003
Figure 4. Colorimetric differences between aged and treated specimens. For each treatment, the ΔE value with its components (ΔL, Δa, Δb) is reported.
Figure 4. Colorimetric differences between aged and treated specimens. For each treatment, the ΔE value with its components (ΔL, Δa, Δb) is reported.
Coatings 13 01669 g004
Figure 5. Capillary absorption of untreated, treated and aged samples.
Figure 5. Capillary absorption of untreated, treated and aged samples.
Coatings 13 01669 g005
Figure 6. Contact angle measured for untreated, treated and aged samples (in blue it has been highlighted the treatments with nanosilica binder, in orange those with TEOS, in green those with ESTEL).
Figure 6. Contact angle measured for untreated, treated and aged samples (in blue it has been highlighted the treatments with nanosilica binder, in orange those with TEOS, in green those with ESTEL).
Coatings 13 01669 g006
Figure 7. Images of untreated and treated/washed-out samples taken under UV light.
Figure 7. Images of untreated and treated/washed-out samples taken under UV light.
Coatings 13 01669 g007
Figure 8. Contact angle measurements for treated and washed-out samples (in blue it has been highlighted the treatments with nanosilica binder, in orange those with TEOS, in green those with ESTEL).
Figure 8. Contact angle measurements for treated and washed-out samples (in blue it has been highlighted the treatments with nanosilica binder, in orange those with TEOS, in green those with ESTEL).
Coatings 13 01669 g008
Table 1. Summary of treatments with IL (N-(2-Hydroxyethyl)-N,N-dimethyl-1-dodecanaminium Br:DBS 3:1) and IL-PyrS (IL-Pyrene-1-sulfonate).
Table 1. Summary of treatments with IL (N-(2-Hydroxyethyl)-N,N-dimethyl-1-dodecanaminium Br:DBS 3:1) and IL-PyrS (IL-Pyrene-1-sulfonate).
IDBinderIL/IL-PyrS
ProductAmount (g/m2)ApplicationAmount (mmol/m2)
ProductActive Matter
Untreated-----
NESNanoEstel8012--
NES + I/ILPyrSNanoEstel8012Top layer0.57
TETEOS8024--
TE + I/IL-PyrSTEOS8024Mixed with binder0.57
ESEstel 10008060--
ES + I/IL-PyrSEstel 10008060Top layer0.57
Disclaimer/Publisher’s Note: The statements, opinions and data contained in all publications are solely those of the individual author(s) and contributor(s) and not of MDPI and/or the editor(s). MDPI and/or the editor(s) disclaim responsibility for any injury to people or property resulting from any ideas, methods, instructions or products referred to in the content.

Share and Cite

MDPI and ACS Style

Luci, M.; De Leo, F.; De Pascale, D.; Galasso, C.; La Russa, M.F.; Lo Schiavo, S.; Ricca, M.; Ruffolo, S.A.; Ruocco, N.; Urzì, C. Surface-Active Ionic-Liquid-Based Coatings as Anti-Biofilms for Stone: An Evaluation of Their Physical Properties. Coatings 2023, 13, 1669. https://doi.org/10.3390/coatings13101669

AMA Style

Luci M, De Leo F, De Pascale D, Galasso C, La Russa MF, Lo Schiavo S, Ricca M, Ruffolo SA, Ruocco N, Urzì C. Surface-Active Ionic-Liquid-Based Coatings as Anti-Biofilms for Stone: An Evaluation of Their Physical Properties. Coatings. 2023; 13(10):1669. https://doi.org/10.3390/coatings13101669

Chicago/Turabian Style

Luci, Marika, Filomena De Leo, Donatella De Pascale, Christian Galasso, Mauro Francesco La Russa, Sandra Lo Schiavo, Michela Ricca, Silvestro Antonio Ruffolo, Nadia Ruocco, and Clara Urzì. 2023. "Surface-Active Ionic-Liquid-Based Coatings as Anti-Biofilms for Stone: An Evaluation of Their Physical Properties" Coatings 13, no. 10: 1669. https://doi.org/10.3390/coatings13101669

APA Style

Luci, M., De Leo, F., De Pascale, D., Galasso, C., La Russa, M. F., Lo Schiavo, S., Ricca, M., Ruffolo, S. A., Ruocco, N., & Urzì, C. (2023). Surface-Active Ionic-Liquid-Based Coatings as Anti-Biofilms for Stone: An Evaluation of Their Physical Properties. Coatings, 13(10), 1669. https://doi.org/10.3390/coatings13101669

Note that from the first issue of 2016, this journal uses article numbers instead of page numbers. See further details here.

Article Metrics

Back to TopTop