Abstract
In order to improve the high temperature oxidation and ablation resistance of C/C composites, ZrB2-ZrC-SiC ultra-high temperature composite ceramic coatings were prepared on C/C composites by laser cladding using Zr, B4C, and Si as raw materials. The microstructure of the coating was characterized by scanning electron microscopy (SEM) and X-ray diffraction (XRD). Air isothermal oxidation (1600 °C, 80 min) and oxyacetylene flame ablation (2400 kW/m2, 300 s) were used to evaluate the high-temperature oxidation and ablation properties of the coating, respectively. The results show that the microstructure of laser cladding coating is a totem of black and white. The white part is mainly the first solidified high melting point ZrB2 phase, and the black part is the latter solidified eutectic structure, which is mainly composed of ZrB2(ZrB12)-ZrC or ZrB2(ZrB12)-SiC two phases. After oxidation at 1600 °C and 80 min, the coating is mainly composed of ZrO2 and ZrSiO4 phases, and ZrSiO4 is basically distributed among ZrO2 particles. The high temperature oxidation and ablation properties of the coating are better than the C/C composite matrix, and the mass ablation rate of the coating is about 1/4 of the latter.
1. Introduction
Carbon/carbon (C/C) composites, namely carbon fiber or graphite fiber reinforced carbon matrix composites, are a new type of materials with unique properties in the field of composite materials. They can show excellent high-temperature mechanical properties in the environment with no oxygen or very low oxygen content, maintain their advantages in the environment with 3000 °C or rapid temperature change, and when the temperature exceeds 1500 °C, their mechanical strength will increase with the increase of temperature. The preparation of C/C composites is formed by the densification of carbon matrix in carbon fiber. Therefore, people design carbon fiber preforms with different dimensions and sizes to meet the different requirements of material properties in the production process [1]. In addition, C/C composites have the advantages of low density (1.3–2.5 g/cm3), high thermal conductivity (20–150 W/m.K), low thermal expansion coefficient (2 × 10−6/K), and excellent high temperature mechanical properties. It has a wide range of applications in aerospace, nuclear energy, and automotive. However, its weakness of easy oxidation above 500 °C limits its long-term use in aerobic atmosphere and high temperature environment [2]. In order to solve the problem of surface oxidation resistance of C/C composites, there are two main types of external oxidation resistance coating technologies, which can isolate the contact between oxygen and matrix, and internal matrix modification technology, which can improve the oxidation resistance of carbon fiber and matrix by additive [3,4,5,6]. In other words, by preparing anti-oxidation coatings on C/C composites or introducing refractory borides, carbides and nitride phases such as ZrB2, HfB2, ZrC, TaC, HfC, and HfN into C/C composites through matrix modification technology, the ultra-high temperature ablative performance of C/C composites can be improved.
Among them, the main preparation technologies for anti-oxidation coatings include pack cementation, chemical vapor deposition (CVD), plasma spraying, slurry painting, sol–gel, reactive infiltration, chemical vapor reaction (CVR), in situ formation, laser cladding, etc. [5,6,7,8,9,10,11,12]. The main matrix modification technologies include chemical vapor infiltration/deposition, precursor infiltration and pyrolysis, reactive melt infiltration method, slurry infiltration/impregnation, hot pressing method, etc. [3,4,5].
However, various coating preparation technologies have their own advantages and disadvantages [6]. For example, the coating prepared by CVD and plasma spraying has a weak binding force with the substrate and poor thermal shock resistance. The slurry painting and sol–gel method are easy to operate, but the compactness and thermal shock resistance of the coating are poor. Although the coating prepared by pack cementation and CVR has good bonding properties and thermal shock resistance, it is difficult to avoid the defects caused by preparation. At present, plasma spraying and laser cladding are the two main technologies that can achieve millimeter thickness coating. The former has the advantages of low requirements for coating materials, high deposition rate, simple operation, low preparation cost, controllable thickness, etc., but has the disadvantages of layered coating structure, high porosity in coating, weak interface bonding force between coating and substrate, etc. The latter has the advantages of fine microstructure of coating, metallurgical bonding between coating and substrate, controllable thickness, and easy automation. However, hypersonic weapons require a thickness of millimeter-level thermal protection coating for full-temperature long-term oxidation and ablative resistance [13]. Therefore, in this paper, the laser cladding technology was used to prepare the millimeter-thick ZrB2-ZrC-SiC ultra-high temperature ceramic composite coating with oxidation and ablative resistance.
In fact, there are many literature reports on the high-temperature oxidation resistance modification of C/C composites [14] or the preparation of high-temperature oxidation resistance coating on its surface [15]. However, the preparation of ZrB2-ZrC-SiC ultra-high temperature composite ceramic coatings with resistance to 1600 °C on C/C composites based on laser cladding technology has not been reported in the literature [7,8,9,10,11,12]. Wang et al. [7] prepared the inner Si-SiC-MoSi2 and outer SiO2-Nd2O3 double layer coating on C/C composites using slurry-based laser cladding technology. The ablative properties of the coating under 300/500 W fiber laser with wavelength of 1060–1090 nm were studied. The results show that the ablative resistance of the coating is improved. Wang et al. [8] prepared the inner Si-SiC and outer SiO2-Nd2O3 double layer coating on C/C composites using slurry-based laser cladding technology. The ablative properties of 1–7 s with 300/500 W fiber laser with wavelength of 1060–1090 nm were studied. The results show that the ablative resistance of the coating is improved. Teng et al. [9] prepared Si-SiC coating on C/C composites using slurry-based laser cladding technique and studied the ablation properties of the coating under 300 W fiber laser with wavelength of 1060–1090 nm. The results show that the ablative resistance of the coating is improved. Wang et al. [10] prepared the inner Si-SiC and outer SiO2-B2O3-Al2O3-Sm2O3 double layer coating on C/C composites using slurry-based laser cladding technique. The properties of the double-layer coating oxidized at 1500 °C for 10 h were studied. The results show that the coating containing Sm2O3 has better oxidation resistance than the coating without Sm2O3. Wang et al. [11] prepared Si-SiC coating on C/C composites using slurry-based laser cladding technique and studied the oxidation properties of the coating at 1500 °C for 10 h. The results show that the oxidation resistance of the coating is improved. Eric et al. [12] used laser cladding technique to prepare NiCr alloy (78%Ni/19Cr), alumina ceramic (95%Al2O3 + 3%TiO2), and magnesium oxide/zirconia ceramic (76%ZrO2 + 22%MgO) coatings on C/C composites. However, only the alumina ceramic coating was successful, but its oxidation resistance was not tested.
In this paper, ZrB2-ZrC-SiC ultra-high temperature composite ceramic coatings were prepared on C/C composites using Zr powder, B4C powder, and Si powder as raw materials by laser cladding, and the microstructure characteristics, high temperature oxidation behavior at 1600 °C, and ablative behavior at 2400 kW/m2 heat flux of the coatings were studied.
2. Materials and Methods
The C/C composites were provided by Yixing Hengli Aviation Technology Co., Ltd., Jiangsu Province, China. The sample size used in the experiment was length × width × thickness = 100 mm × 50 mm × 10 mm. Figure 1a is the XRD pattern of C/C composites. It can be seen from the figure that the main phase of C/C composites is graphite (JSPDS 96-120-0018). Figure 1b shows the SEM morphology of C/C composites. The figure shows the carbon fiber woven together, and the size of the single carbon fiber is about 7 μm.
Figure 1.
XRD pattern and SEM morphology of C/C composites. (a) XRD pattern; (b) SEM morphology.
Zr powder, Si powder, and B4C powder are selected as raw materials for laser cladding. Among them, the purity of Zr powder is 99.5% and the particle size is 45 μm; the purity of Si powder is 99.8% and the particle size is 45 μm; the purity of B4C powder is 98.0% and the particle size is 4.5 μm. They are irregular shapes. The first two were provided by Beijing High-Tech New Material Technology Co., Ltd., Beijing, China. The latter one was provided by Longlai Import & Export Trading Co., Ltd., Zhenzhou, China.
The ZrB2-ZrC-SiC ultra-high temperature ceramic coating was prepared by laser cladding with 0.6 mm thick mixed powder layer on C/C composites. The binder used for pre-mixed powder layer was 4% PVA solution and the ratio of 4% PVA solution to powder mixture was approximately 1:10. The specific steps are as follows. First, according to the equation 2Zr + B4C + Si = 2ZrB2 + SiC, the required mass of Zr powder, Si powder, and B4C powder was calculated. Secondly, the corresponding Zr powder, Si powder, and B4C powder were weighed by SOP Quintix124 (Sartorius, Gottingen, Germany) balance (measuring accuracy was 0.1 mg). Then it was ground in the ball mill for 8 h. After being mixed evenly, it was prepared with 4% PVA solution in advance to make it sticky. Finally, the mixed powder layer of about 0.6 mm thick was prefabricated on C/C composites, which was to be used after natural air drying.
The laser cladding experiment was carried out on the complete set of laser cladding equipment of RSF-C6000 manufactured by Wuhan Rayco Fiber Laser Technology Co., LTD (Wuhan, China). In the process of laser cladding, in order to prevent the oxygen in the air from entering the laser molten pool, argon gas with 99.99% high purity was used as the protective gas. The preliminarily optimized laser cladding parameters were as follows: laser power P = 2.5 KW, laser scanning speed V = 15 mm/s, laser spot size D = 5 mm, laser spot overlapping rate f = 30%, and high purity argon flow rate is 15 L/min.
The laser cladding samples and C/C composites matrix were cut into 10 mm × 10 mm × 10 mm, 20 mm × 20 mm × 1 mm, and 20 mm × 20 mm × 10 mm by wire cutting method, respectively. The sample of 10 mm × 10 mm × 10 mm was used for XRD analysis and SEM observation, while the sample of 20 mm × 20 mm × 1 mm was used for high-temperature oxidation experiment, and the sample of 20 mm × 20 mm × 10 mm was used for ablation experiment. All samples after wire-cut were cleaned by washing powder, ultrasonic cleaning, and drying oven before being placed in a drying dish for use.
The high temperature oxidation performance of laser cladding coating and C/C composites substrate was evaluated according to Chinese aviation industry standard HB5258-2000 “Test method for determination of oxidation resistance in steel and high temperature alloys”. The 1600 °C isothermal oxidation experiment was carried out in KSL-1700X-A4 (Hefei Kejing Materials Technology Co., LTD, Hefei, China) type box furnace. The experimental process of isothermal oxidation was as follows. Firstly, the SOP Quintix124 electronic balance (accuracy is 0.1 mg) was used to weigh the total mass of the sample and crucible, and then the total mass of the sample and crucible after each oxidation period was weighed. In this paper, four oxidation periods of 20 min, 40 min, 60 min, and 80 min were set. Finally, the oxidation gain rate per unit area of the coated samples after oxidation in different time periods was calculated, and the relationship between the oxidation gain rate per unit area and the corresponding oxidation time was drawn, namely, the oxidation kinetics curve.
The oxyacetylene ablative performance of laser cladding coating and C/C composites substrate was evaluated according to Military standards of the People’s Republic of China GJB 323B-2018 “Test method for ablation of ablators “. The specific test steps of oxyacetylene ablative performance were as follows. The oxyacetylene ablative sample was first weighed using SOP Quintix124 balance (accuracy is 0.1 mg) and the weight m0 was recorded. It was weighed in the crucible and the weight was recorded. Finally, the oxyacetylene ablative performance was tested. Table 1 lists the oxyacetylene ablative parameters. Three samples were made for each data point at the same time and their average values were taken.
Table 1.
Oxyacetylene ablative parameters.
The mass ablation rate of the sample was calculated according to the following formula:
Rm is the sample mass ablation rate; is the mass of the crucible containing the sample before ablation; is the mass of the sample containing the crucible after ablation; t is the ablation time.
The phase identification of samples was done in the X ‘Pert PRO X-ray diffractometer produced by PANalytical B.V., Almelo, the Netherlands. The test parameters were Cu target with a wavelength λ of 0.15406 nm, tube pressure of 40 kV, tube flow of 30 mA, and 2θ scanning range of 20–90°. The sample morphology was analyzed by using Quanta 650 FEG scanning electron microscope produced by FEI Company, Hillsboro, USA. The composition and proportion of the corrosion solution used were HNO3:HCl = 1:3, and the corrosion time was 30 s.
3. Results and Discussion
3.1. Phase and Microstructure of the Coating
Figure 2 shows the XRD pattern of laser cladding coating. As can be seen from the figure, the laser cladding coating is mainly composed of four phases. They are hexagonal ZrB2 (JSPDS 96-151-0857), cubic SiC (JSPDS 96-101-1032), cubic ZrC (JSPDS 96-900-8778), and monoclinic ZrO2 (JSPDS 96-230-0297). Compared with the design of the coating (equation 2Zr + B4C + Si = 2ZrB2 + SiC), two phases ZrC and m-ZrO2 appear in addition to the coating design ZrB2 and SiC. Among them, the formation of m-ZrO2 phase may be related to the incomplete protection of laser molten pool by high purity argon during laser cladding, because there is a very active elemental metal Zr in the original mixed powder, which is easy to react with O2 in the air to produce ZrO2. The formation reasons of ZrB2, SiC, and ZrC phases are as follows:
Figure 2.
XRD pattern of laser cladding coating.
Three raw materials, Zr, Si, and B4C, were used in laser cladding, and the possible reactions were as follows:
B4C + Si = SiC + B
B4C + Zr = ZrC + 4B
B4C + 2Zr = 2ZrB2 + C
2B + Zr = ZrB2
ZrC + Si = SiC + Zr
C + Zr = ZrC
C + Si = SiC
B4C + 3Zr = 2ZrB2 + ZrC
B4C + 2ZrC + 3Si = 2ZrB2 + 3SiC
B4C + 2Zr + Si = 2ZrB2 + SiC
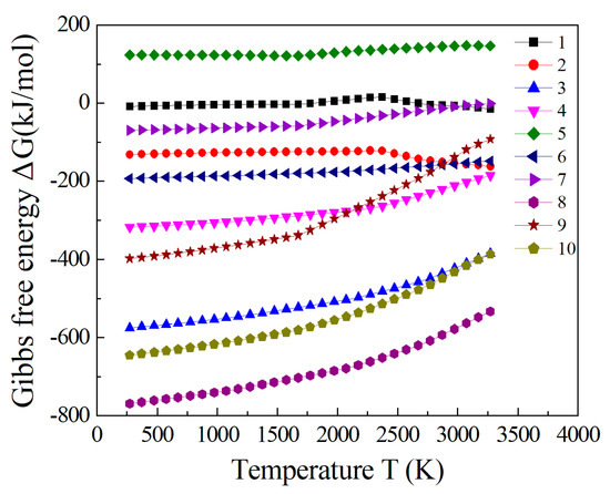
The Gibbs free energy ΔG at room temperature ~3000 K of the above equations was found by HSC6.0 software (V6.0, 2006, Outokumpu Technology, Outokumpu, Finland), and the Gibbs free energy ΔG at different temperatures T was calculated and plotted, as shown in Figure 3.
Figure 3.
Gibbs free energy ΔG values at different temperatures for different reactions.
As can be seen from Figure 3, ΔG value of reaction (8) is the lowest at the same temperature, so from a thermodynamic point of view, reaction (8) will take precedence, resulting in the formation of ultra-high temperature ceramics ZrB2 and ZrC phases. The Si in the original powder mixture will react with the generated part of ZrC and the remaining B4C according to reaction (9) to form ZrB2 and SiC phases. Therefore, the laser cladding coating will eventually get ZrB2, ZrC, and SiC phases. This step-reaction mechanism has been reported in literature [16].
In addition, it can be seen from Figure 2 that the laser cladding coating contains four ultra-high temperature ceramic phases, ZrB2, ZrC, SiC, and m-ZrO2, but the relative intensity of diffraction peaks of each phase is significantly different, which indicates that the contents of the four phases are different in the laser cladding coating. In order to estimate their contents, the XRD-K value method reported in [17] was used in this paper. We calculated the mass fraction of different i and j phases in the coating according to the following formula:
where wi and wj represent the mass fraction of two phases i and j in the coating, respectively; and represent the mass fraction of phase i and phase j after adding the standard substance c, respectively; wc represents the mass fraction of the added standard substance (such as α-Al2O3); Ii and Ij represent the intensity of the diffraction line of 2θ value corresponding to the strongest diffraction peak of the two phases i and j; and represent the reference intensity values (RIR values) of the i and j phases, respectively.
The strongest diffraction peaks of ZrB2, SiC, ZrC, and m-ZrO2 are (011), (111), (111), and (), respectively. The corresponding 2θ values of the above four phases are 41.732°, 35.655°, 33.106°, and 28.179°, respectively. The corresponding RIR values of the above four phases are 9.25, 3.77, 9.80, and 4.98, respectively. According to Figure 2 and the above formula, the mass fractions of ZrB2, SiC, ZrC, and m-ZrO2 phases are 31.16%, 28.84%, 11.73%, and 28.27%, respectively. Obviously, the different proportions of ZrB2-SiC-ZrC ultra-high temperature composite coating will affect its high temperature oxidation and ablation properties.
Figure 4 is the SEM image of the cross section of the laser cladding coating. As can be seen from the figure, the maximum thickness of the laser cladding coating is about 1.97 mm (Figure 4a). The laser cladding layer on the upper part of the coating is dense, but there are porosity defects of different scales in the lower part of the coating near the substrate (Figure 4a). There is local cracking at the interface of the coating and C/C composite matrix (Figure 4a). The internal microstructure of the coating presents a totem shape of black and white (Figure 4b–e). Among them, the pores in the coating with different sizes may be related to the H2O and CO2 formed by the decomposition of binder PVA during the laser cladding preset powder layer. Because the solidification rate of the laser cladding melt pool is very fast, a large number of gases cannot escape in time, resulting in the remaining pores in the coating, which has also been reported in the literature [18]. The local cracking at the interface of coating and C/C composite matrix should be caused by the difference of thermal expansion coefficient between coating containing ZrB2, ZrC, SiC, ZrO2, and C/C composite matrix. The thermal expansion coefficients of ZrB2, ZrC, SiC, ZrO2, and C at room temperature are 6.88 × 10−6 k−1, 6.7 × 10−6 k−1, 4.5 × 10−6 k−1, 10.5 ×10−6 k−1, and (0.5–1.5) × 10−6 k−1 [19].

Figure 4.
SEM image of cross section of laser cladding coating. (a) Whole SEM image of the coating; (b) Locally amplified SEM image at area A in (a); (c) Locally amplified SEM image at area A1 in (b); (d) Locally amplified SEM image at area B1 in (b); (e) Locally amplified SEM image at area C1 in (b). A, A1, B1, C1 represent different regions in the coating, while 1,2,3,4,5,6 represent different position points.
Table 2 shows the EDS results of the five positions in Figure 4c. According to the XRD calibration results in Figure 2 and Table 2, the off-white positions 1 and 5 in the coating should be mainly large chunks of ZrB2. Totemic black position 2 contains SiC. ZrB12 and ZrC were found in both the lying black patch site 3 and the erect off-white patch site 4.
Table 2.
EDS results of five positions in Figure 4c.
Table 3 shows the EDS results of the six positions in Figure 4d. According to the XRD calibration results in Figure 2 and Table 3, the gray position 2 in the coating should be mainly large block ZrB2. ZrB12 and ZrC were found at locations 1, 4, and 6. The dimpled black position 3 contains ZrB12 and SiC. The totemic black position 5 contains ZrB12 and ZrC.
Table 3.
EDS results of six positions in Figure 4d.
Table 4 shows the EDS results of the three positions in Figure 4e. According to the XRD calibration results in Figure 2 and Table 4, the totemic black position 1 in the coating contains ZrB12 and SiC. The grey and white position 2 should be mainly large block ZrB2. The long black position 3 contains ZrB12 and ZrC.
Table 4.
EDS results of three positions in Figure 4e.
It should be pointed out that in addition to the four phases of ZrB2, ZrC, SiC, and ZrO2 calibrated by XRD, ZrB12 phase also appears in the coating, which may be related to the fast solidification of laser cladding pool. According to the B-Zr binary phase diagram (Figure 4 in Ref. [20]), we know that under the slow solidification balance condition and low Zr content area, the peritectic reaction of L + ZrB2→ZrB12 can happen at 2092 °C. The eutectic reaction L→ZrB12 + β-B can happen at 2026 °C. The eutectoid transformation of ZrB12→ZrB2 + β-B can happen at 1695 °C. Therefore, under the condition of equilibrium, cooling to room temperature should obtain ZrB2 and β-B. However, it is well-known that the solidification rate of laser cladding pool is very fast, which is much higher than the equilibrium solidification rate. Therefore, the above eutectoid transformation may not be complete at room temperature, and ZrB12 phase can be obtained at room temperature. In addition, when Zr content is low and B content is high, this is consistent with the low Zr and high B in Table 2, Table 3 and Table 4.
To sum up, the microstructure of the coating is basically a totem of black and white, in which the white part is mainly the high melting point ZrB2 phase solidified first, and the black part is mainly the eutectic reaction region solidified after, which is mainly composed of ZrB2 (ZrB12)-ZrC or ZrB2 (ZrB12)-SiC phases.
3.2. High Temperature Oxidation Properties of the Coating
Figure 5 shows the weight gain curves of C/C composite matrix and laser cladding coating after oxidation at 1600 °C and for 20 min, 40 min, 60 min, and 80 min. As can be seen from the figure: (1) The laser cladding coating is in the state of weight gain before 40 min, and the coating is in the state of weight loss after 40 min, which indicates that before 40 min, the weight gain rate of the oxidation products ZrO2 and SiO2 of the ultra-high temperature ceramic phase ZrB2, ZrC, and SiC in the coating is greater than the weight loss rate of the gas phase B2O3, SiO, and CO in the oxidation products (because at 1600 °C, the oxidation of SiC changes from inert oxidation to active oxidation, that is, from 2SiC(s) + 3O2(g) = 2SiO2(s) + 2CO(g) to SiC(s) + O2(g) = SiO(g) + CO(g) [21]; the melting point and boiling point of B2O3 are 450 °C and 1500 °C, respectively; the melting and boiling points of ZrO2 are 2680 °C and 4300 °C, respectively; the melting point and boiling point of SiO2 are 1713 °C and 2230 °C, respectively). After the oxidation time exceeds 40 min, the content of ultra-high temperature ceramic phases ZrB2, ZrC, and SiC in laser cladding coatings decreases, the weight gain rate of oxidation products ZrO2 and SiO2 is lower than the weight loss rate of gas phase B2O3, SiO, and CO in the oxidation products, and the result is a weight loss phenomenon. (2) At 40 min, the oxidation weight gain rate of laser cladding coating is 0.51 g/cm2, while the oxidation weight loss rate of C/C composite is 2.0 g/cm2, the former is about ¼ of the latter. (3) The C/C composite matrix was in a state of weight reduction before 40 min, and after 40 min, all of them were oxidized into CO2 gas. (4) At 1600 °C, the laser cladding coating can protect the C/C composite matrix for 80 min.
Figure 5.
Weight gain curves of C/C matrix and laser cladding coating after oxidation at 1600 °C and at different time.
Figure 6 shows the XRD pattern of the laser cladding coating after oxidation at 1600 °C and 80 min. As can be seen from the figure, the oxidized products of laser cladding coating are composed of m-ZrO2 (JSPDS 00-007-0343) and ZrSiO4(JSPDS 01-071-0991) phases. This indicates that the ZrB2, ZrC, and SiC phases in the laser cladding coating are completely oxidized after oxidation at 1600 °C and 80 min. That is, 2ZrB2(s) + 5O2(g) = 2ZrO2(s) + 2B2O3(g), 2ZrC(s) + 3O2(g) = 2ZrO2(s) + 2CO(g), 2SiC(s) + 3O2(g) = 2SiO2(s) + 2CO(g) or SiC(s) + O2(g) = SiO(g) + CO(g), 2SiO(g) + O2(g) = 2SiO2(s) [20]. According to the ZrO2-SiO2 phase diagram (Figure 2 in Ref. [22]), the ZrSiO4 phase can be generated by the peritectoid reaction (ZrO2 + SiO2 = ZrSiO4) at 1676 °C.
Figure 6.
XRD pattern of laser cladding coating after oxidation at 1600 °C and 80 min.
Figure 7 shows the SEM image of the laser cladding cross section coating after oxidation at 1600 °C and 80 min. As shown in Figure 7 and Table 5, the coating appears hollow after oxidation at 1600 °C and for 80 min, and the maximum thickness of the coating after oxidation is about 1.162 mm. After the coating is oxidized, ZrSiO4 phase mainly appears between ZrOx oxides, among which ZrOx oxides include both fully oxidized and coarse ZrO2 phase and may also include incomplete oxidized ZrO and Zr2O phases, which have been reported in the literature [23,24,25].
Figure 7.
SEM image of the cross section of the coating after oxidation. (a) Whole SEM image; (b) Locally amplified SEM image at area A in (a); (c) Locally amplified SEM image at area B in (b). A, B represent different regions in the coating, while 1,2,3,4,5 represent different position points.
Table 5.
EDS results at different parts of the cross section of the coating after oxidation.
3.3. Ablative Properties of the Coating
Figure 8 is a comparison of mass ablation rates of laser cladding coating and C/C composite matrix after 300 s ablation with oxyacetylene flame with a heat flux of 2400 kW/m2. As can be seen from the figure, the mass ablation rate of the coating (0.504 mg/s) is much lower than that of the C/C composite matrix (2.045 mg/s), about 1/4 of the latter. This indicates that the laser cladding coating has a strong ability to resist the flame ablation of oxyacetylene. This should be due to the existence of ultra-high temperature ceramic phases ZrB2, ZrC, and SiC in the laser cladding coating (Figure 2).
Figure 8.
Comparison of oxyacetylene ablation rate between C/C composite matrix and laser cladding coating.
Figure 9 shows the XRD pattern of the C/C composite matrix after 300 s ablation with oxyacetylene flame with a heat flux of 2400 kW/m2. It can be seen from the figure that the surface of C/C composite matrix is still graphite phase (JSPDS 96-120-0018) after being ablated by oxyacetylene flame. Figure 10 is the XRD pattern of the laser cladding coating surface after 300 s ablation with oxyacetylene flame with a heat flux of 2400 kW/m2. It can be seen from the figure that the surface of laser cladding coating is mainly composed of hexagonal α-quartz (JSPDS 96-900-5032), monoclinic β-cristobalite (JSPDS 96-901-5393), and tetragonal ZrSiO4 (JSPDS 96-900-0687) phases.
Figure 9.
XRD pattern of oxyacetylene ablated surface of C/C composite matrix.
Figure 10.
XRD pattern of oxyacetylene ablated surface of laser cladding coating.
In this paper, the heat flux of oxyacetylene flame ablation is 2400 kW/m2, according to a report in the literature [26], the corresponding ablation temperature is 2000 ± 200 °C. The melting and boiling points of B2O3 are 450 °C and 1500 °C, respectively. The melting and boiling points of ZrO2 are 2680 °C and 4300 °C, respectively. The melting and boiling points of SiO2 are 1713 °C and 2230 °C, respectively. Therefore, in the process of ablation, the following five kinds of reaction may occur and generate α-SiO2, β-SiO2, and ZrSiO4 phases. Among them, the phase of high temperature α-cristobalite (1470–1713 °C) can exist in the form phase of low temperature β-cristobalite (<180–270 °C). Its main reason is that the molten pool cooling rate of laser cladding is very fast.
2ZrB2(s) + 5O2(g) = 2ZrO2(s) + 2B2O3(g)
2ZrC(s) + 3O2(g) = 2ZrO2(s) + 2CO(g)
2SiC(s) + 3O2(g) = 2SiO2(l) + 2CO(g)
SiC(s) + O2(g) = SiO(g) + CO(g)
2SiO(g) + 2ZrO2(s) + O2(g) = 2ZrSiO4(s)
Figure 11 shows the macroscopic morphology of C/C composite matrix and laser cladding coating after 300 s ablation by oxyacetylene flame with a heat flux of 2400 kW/m2. As can be seen from the figure, obvious ablative rings and pits appear after the ablation of C/C composite matrix, indicating that the C/C composite matrix is subjected to the obvious ablation of oxyacetylene flame and the scouring force of oxyacetylene flame. Obvious white material appears on the surface of laser cladding coating after ablation. Combined with Figure 10, these white materials should be SiO2.
Figure 11.
Macroscopic morphology of C/C composite matrix and laser cladding coating after ablation. (a) C/C composite matrix; (b) laser cladding coating.
Figure 12 shows the SEM image of the center of the C/C composite matrix after ablation, as shown in Figure 12 and EDS results (10.17 at.% O + 89.83 at.% C) for area S. The surface of C/C composite matrix after ablation is mainly composed of two elements, C and O, which may be C-COx after the ablation of the C/C composite matrix.
Figure 12.
SEM image of the center of the C/C composite matrix after ablation. S represents region in the C/C composite matrix after ablation.
Figure 13 shows the SEM image of the center of the coating after ablation. As can be seen from Figure 10, Figure 13, and Table 6, after 300 s ablation by oxyacetylene flame with a heat flux of 2400 kW/m2, the ZrB2-ZrC-SiC ultra-high temperature composite ceramic coating on the C/C composite matrix basically ablated, forming ZrSiO4 and SiO2.
Figure 13.
SEM image of the center of the coating after ablation. 1,2,3,4 represent different position points.
Table 6.
EDS results of the center of the coating after ablation.
4. Conclusions
Using Zr powder, B4C powder, and Si powder as raw materials, ZrB2-ZrC-SiC ultra-high temperature composite ceramic coating was successfully prepared on C/C composites by laser cladding. The coating can protect the C/C composites matrix at 1600 °C for 80 min, and the oxidation weight gain rate at 1600 °C and 40 min is 0.51 g/cm2. In addition, the ablation rate of the coating after 300 s ablation by oxyacetylene flame with a heat flux of 2400 kW/m2 is about 1/4 of that of C/C composite matrix. These results indicate that ZrB2-ZrC-SiC ultra-high temperature composite ceramic coating prepared by laser cladding has strong oxidation resistance at 1600 °C and oxyacetylene flame ablation resistance at 2400 kW/m2. This provides an alternative technical approach for surface modification of C/C composites.
Author Contributions
Investigation—K.H., Y.X. and A.W.; writing—original draft preparation, Y.X.; writing—review and editing, K.H. All authors have read and agreed to the published version of the manuscript.
Funding
This work was supported by the Open Project Program (No. 2022-KF-19) of the State Key Laboratory of Advanced Technology for Materials Synthesis and Processing, Wuhan University of Technology.
Institutional Review Board Statement
Not applicable.
Informed Consent Statement
Not applicable.
Data Availability Statement
The data of this study are available from the corresponding author upon reasonable request.
Acknowledgments
The authors are also grateful to the Analytical and Testing Center of Huazhong University of Science and Technology.
Conflicts of Interest
The authors declare no conflict of interest.
References
- Devi, G.R.; Rao, K.R. Carbon-carbon composites—An overview. Def. Sci. J. 1993, 43, 369–383. [Google Scholar] [CrossRef]
- Windhorst, T.; Blount, G. Carbon-carbon composites: A summary of recent developments and applications. Mater. Des. 1997, 18, 11–15. [Google Scholar] [CrossRef]
- Li, J.; Yang, X.; Liu, H.W.; Huang, Q.Z.; Su, Z.A. Research process of ultra-high temperature ceramics modified carbon/carbon composites for ablation resistance. Chin. J. Nonferrous Met. 2015, 25, 1731–1743. [Google Scholar]
- Fu, Q.G.; Li, H.J.; Shen, X.T.; Li, K.Z. Domestic research process of matrix modification for carbon/carbon composites. Mater. China 2011, 30, 6–12. [Google Scholar]
- Jin, X.C.; Fan, X.L.; Lu, C.S.; Wang, T.J. Advances in oxidation and ablation resistance of high and ultra-high temperature ceramics modified or coated carbon/carbon composites. J. Eur. Ceram. Soc. 2018, 38, 1–28. [Google Scholar] [CrossRef]
- Yang, X.; Huang, Q.Z.; Su, Z.A.; Chang, X. Review of recent progress on oxidation protection for C/C composites at high temperature. Aerosp. Mater. Tech. 2014, 44, 1–15. [Google Scholar]
- Wang, H.H.; Kong, J.A.; Xu, M.; Zhang, P.F.; Yang, L.; Shi, X.H.; Li, H.J. Laser ablation behavior of SiO2-Nd2O3/Si-SiC-MoSi2 coated C/C composites repaired by laser cladding. Corros. Sci. 2022, 198, 110132. [Google Scholar] [CrossRef]
- Wang, H.H.; Kong, J.A.; Ge, J.; Teng, L.; Shi, X.H.; Li, H.J. Effects of reflectivity on laser-ablation resistance of the laser-cladding repaired Nd2O3 modified SiO2 coatings on C/C composites. J. Eur. Ceram. Soc. 2021, 41, 6548–6588. [Google Scholar] [CrossRef]
- Teng, L.; Shi, X.H.; Wang, H.H.; Li, W.; Yin, X.M.; Li, H.J. A new method to improve the laser-ablation resistance of Si-SiC coating on C/C composites: Laser cladding. J. Eur. Ceram. Soc. 2022, 42, 6425–6434. [Google Scholar] [CrossRef]
- Wang, H.H.; Teng, L.; Kong, J.A.; Liu, X.S.; Shi, X.H.; Li, H.J. Enhancing anti-oxidation and thermal-radiation performance of the repaired borosilicate glass coating on C/C composites by Sm-doping. J. Materiomics 2022, 8, 417–426. [Google Scholar] [CrossRef]
- Wang, H.H.; Li, H.J.; Shi, X.H.; Liu, X.S.; Kong, J.A.; Zhou, H. Repair of SiC coating on carbon/carbon composites by laser cladding technique. Ceram. Int. 2020, 46, 19537–19544. [Google Scholar] [CrossRef]
- Eric, J.J.; Hull, R.J. Laser cladding of oxidation protection coatings on carbon-carbon composites. In Proceedings of the Laser Materials Processing Conference (ICALEO(R) 2000), Dearborn, MI, USA, 2–5 October 2000. [Google Scholar]
- Wu, Q.; Ji, X.J.; Peng, H.R.; Shen, J.; Ren, X.J. Study on compound modified ZrB2 based ultrahigh temperature oxidation resistant coatings. China Ceram. 2016, 52, 6–11. [Google Scholar]
- Lin, H.J.; Li, H.J.; Shen, Q.L.; Shi, X.H.; Feng, T.; Guo, L.J. 3C-SiC nanowires in-situ modified carbon/carbon composites and their effect on mechanical and thermal properties. Nanomaterials 2018, 8, 894. [Google Scholar] [CrossRef] [PubMed]
- Chu, Y.H.; Fu, Q.G.; Li, H.J.; Li, K.Z. Advancement of high temperature oxidation resistant ceramic coatings for Carbon/ Carbon composites. Mater. Eng. 2010, 11, 86–91. [Google Scholar]
- Wu, W.W.; Zhang, G.J.; Kan, Y.M.; Wang, P.L. Reactive hot pressing of ZrB2-SiC-ZrC ultra high-temperature ceramics at 1800 °C. J. Am. Ceram. Soc. 2006, 89, 2967–2969. [Google Scholar]
- Zheng, Q.; Wang, X.H.; Xing, J.J.; Gu, H.; Zhang, G.J. Quantitative analysis for phase compositions of ZrB2-SiC-ZrC ultra-high temperature ceramic composites. J. Inorg. Mater. 2013, 28, 358–362. [Google Scholar] [CrossRef]
- Yang, Z.H. The Synthesis In-Situ of Metal-Ceramic Coatings Containing ZrB2 by PTA. Master Dissertation, Tianjin University, Tianjin, China, 2009. [Google Scholar]
- Liu, Y.M. Study of Preparation and Oxidation Resistance of ZrB2 Based Ceramic Coatings for C/C Composites. Master Dissertation, Dalian University of Technology, Dalian, China, 2021. [Google Scholar]
- Okamoto, H. Supplemental literature review of binary phase diagrams: Ag-Ca, Al-Yb, As-Fe, B-Zr, Co-U, Cu-Se, Cu-Th, La-Mo, Mg-Sn, Mo-Th, Sn-Ta, and Te-Ti. J. Phase Equilib. Diff. 2017, 38, 929–941. [Google Scholar] [CrossRef]
- Ping, H.; Wang, G.L.; Zhi, W. Oxidation mechanism and resistance of ZrB2-SiC composites. Corros. Sci. 2009, 51, 2724–2732. [Google Scholar]
- Kaiser, A.; Lobert, M.; Telle, R. Thermal stability of zircon (ZrSiO4). J. Eur. Ceram. Soc. 2008, 28, 2199–2211. [Google Scholar] [CrossRef]
- Arroyave, R.; Kaufman, L.; Eagar, T.W. Thermodynamic modeling of the Zr-O system. Calphad 2002, 26, 95–118. [Google Scholar] [CrossRef]
- Puchala, B.; Ven Van der, A. Thermodynamics of the Zr-O system from first-principles calculations. Phys. Rev. B 2013, 88, 094108. [Google Scholar] [CrossRef]
- Chen, M.H.; Puchala, B.; Ven Van der, A. High-temperature stability of δ‘-ZrO. Calphad 2015, 51, 292–298. [Google Scholar] [CrossRef]
- Li, H.J.; Yao, X.Y.; Zhang, Y.L.; Li, K.Z.; Guo, L.J.; Liu, L. Effect of heat flux on ablation behaviour and mechanism of C/C–ZrB2–SiC composite under oxyacetylene torch flame. Corros. Sci. 2013, 74, 265–270. [Google Scholar] [CrossRef]
Disclaimer/Publisher’s Note: The statements, opinions and data contained in all publications are solely those of the individual author(s) and contributor(s) and not of MDPI and/or the editor(s). MDPI and/or the editor(s) disclaim responsibility for any injury to people or property resulting from any ideas, methods, instructions or products referred to in the content. |
© 2023 by the authors. Licensee MDPI, Basel, Switzerland. This article is an open access article distributed under the terms and conditions of the Creative Commons Attribution (CC BY) license (https://creativecommons.org/licenses/by/4.0/).