Restoring Force Model of Precast Segmental Reinforced Concrete Piers after Seawater Freeze–Thaw Cycles
Abstract
:1. Introduction
2. Constitution of Concrete after Seawater Freeze–Thaw Cycles
2.1. The Overall Design of the Experiment
2.2. Materials and Connecting Devices
2.3. Design of Freeze–Thaw Segment and Base
2.4. Fabrication of Prefabricated Sections and Freeze–Thaw Cycles Test
2.5. Section Assembly and Secondary Casting
3. Low Cyclic Loading Test of the Specimens
3.1. Test Device
3.2. Experimental Phenomenon
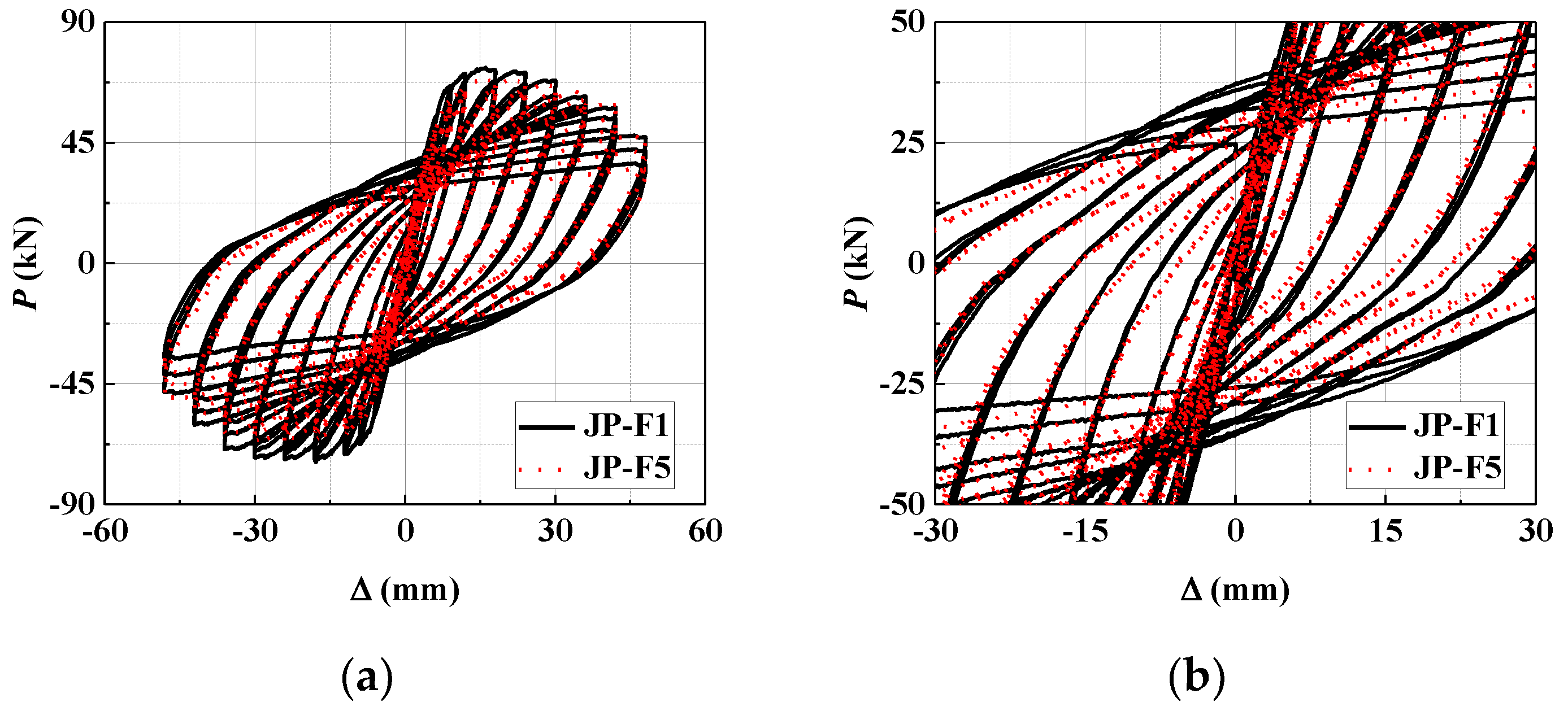
3.3. Hysteresis Characteristics
4. Restoring Force Model
4.1. Determination of Characteristic Points of the Skeleton Curve
- (1)
- Yield load and yield displacement
- (2)
- Peak load and peak displacement
- (3)
- Ultimate load and ultimate displacement
4.2. Determination of Unloading Stiffness
- (1)
- Unloading stiffness before yield
- (2)
- Post-yield unloading stiffness
4.3. Determination of Hysteresis Rules
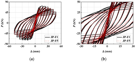
4.4. Model Verification
5. Discussion
6. Conclusions
Author Contributions
Funding
Institutional Review Board Statement
Informed Consent Statement
Data Availability Statement
Acknowledgments
Conflicts of Interest
References
- Shang, H.S.; Yi, T.H. Freeze-thaw durability of air-entrained concrete. Sci. World J. 2013, 2013, 650791. [Google Scholar] [CrossRef] [PubMed] [Green Version]
- Hadi Sahlabadi, S.; Bayat, M.; Mousivand, M.; Saadat, M. Freeze–thaw durability of cement-stabilized soil reinforced with polypropylene/basalt fibers. J. Mater. Civ. Eng. 2021, 33, 04021232. [Google Scholar] [CrossRef]
- Roustaei, M.; Hendry, M.; Aghaei, E.A.; Bayat, M. Shear modulus and damping ratio of clay soil under repeated freeze-thaw cycles. Acta Geodyn. Geomater. 2021, 18, 71–81. [Google Scholar] [CrossRef]
- Cui, F.K.; Zhang, H.; Ghosn, M.; Xu, Y. Seismic fragility analysis of deteriorating RC bridge substructures subject to marine chloride-induced corrosion. Eng. Struct. 2018, 15, 61–72. [Google Scholar] [CrossRef]
- Ou, Y.C.; Fan, H.D.; Nguyen, N.D. Long-term seismic performance of reinforced concrete bridges under steel reinforcement corrosion due to chloride attack. Earthq. Eng. Struct. Dyn. 2013, 42, 2113–2127. [Google Scholar] [CrossRef]
- Wu, L.J.; Zhou, Y.J.; Kou, X.J.; Jiang, M. Reliability-based service life prediction of existing concrete structures under marine environment. J. Cent. South Univ. 2015, 22, 3608–3614. [Google Scholar] [CrossRef]
- Yu, B.; Ning, C.L.; Li, B. Probabilistic durability assessment of concrete structures in marine environments: Reliability and sensitivity analysis. China Ocean Eng. 2017, 31, 63–73. [Google Scholar] [CrossRef]
- Duan, A.; Li, Z.; Zhang, W.; Jin, W. Flexural behaviour of reinforced concrete beams under freeze-thaw cycles and sustained load. Struct. Infrastruct. Eng. 2017, 13, 1350–1358. [Google Scholar] [CrossRef]
- Zheng, Y.; Yang, L.; Guo, P.; Yang, P. Fatigue characteristics of prestressed concrete beam under freezing and thawing cycles. Adv. Civ. Eng. 2020, 2020, 8821132. [Google Scholar] [CrossRef]
- Xie, J.; Zhao, X.; Yan, J.B. Experimental and numerical studies on bonded prestressed concrete beams at low temperatures. Constr. Build. Mater. 2018, 188, 101–118. [Google Scholar] [CrossRef]
- Qin, X.; Meng, S.; Cao, D.; Tu, Y.; Sabourova, N.; Grip, N.; Ohlsson, U.; Blanksvärd, T.; Sas, G.; Elfgren, L. Evaluation of freeze-thaw damage on concrete material and prestressed concrete specimens. Constr. Build. Mater. 2016, 125, 892–904. [Google Scholar] [CrossRef]
- Qin, Q.; Zheng, S.; Li, L.; Dong, L.; Zhang, Y.; Ding, S. Experimental study and numerical simulation of seismic behavior for RC columns subjected to freeze-thaw cycles. Adv. Mater. Sci. Eng. 2017, 3, 7496345. [Google Scholar] [CrossRef] [Green Version]
- Qin, Q.; Zheng, S.; Dong, L.; Hou, P.; Wang, F. Considering Shear Behavior of Beam-Column Connections to Assess the Seismic Performance of RC Frames Subjected to Freeze-Thaw Cycles. J. Earthq. Eng. 2021, 25, 381–406. [Google Scholar] [CrossRef]
- Gong, F.; Maekawa, K. Multi-scale simulation of freeze-thaw damage to RC column and its restoring force characteristics. Eng. Struct. 2018, 156, 522–536. [Google Scholar] [CrossRef]
- Rong, X.-L.; Zheng, S.-S.; Zhang, Y.-X.; Zhang, X.-Y.; Dong, L.-G. Experimental study on the seismic behavior of RC shear walls after freeze-thaw damage. Eng. Struct. 2020, 206, 110101. [Google Scholar] [CrossRef]
- Yang, W.; Zheng, S.-S.; Zhang, D.-Y.; Sun, L.-F.; Gan, C.-L. Seismic behaviors of squat reinforced concrete shear walls under freeze-thaw cycles: A pilot experimental study. Eng. Struct. 2016, 124, 49–63. [Google Scholar] [CrossRef]
- Rong, X.-L.; Zheng, S.-S.; Zhang, Y.-X.; Dong, L.-G.; Liu, H.; Dai, K.-Y. Seismic behavior of frost-damaged squat RC shear walls under artificial climate environment: A further experimental research. Arch. Civ. Mech. Eng. 2020, 20, 106. [Google Scholar] [CrossRef]
- Zheng, J.; Dong, L.G.; Qin, Q. Experimental study on seismic behavior of reinforced concrete frame beam-column joints under freeze-thaw cycle. J. Build. Struct. 2016, 37, 73–81. (In Chinese) [Google Scholar]
- Hamze, Y. Concrete durability in harsh environmental conditions exposed to freeze-thaw cycles. Phys. Procedia 2014, 55, 265–270. [Google Scholar] [CrossRef] [Green Version]
- JTG/T B02-1-2008; Guidelines for Seismic Design of Highway Bridges. China National Standardization Management Committee: Beijing, China, 2008.
- GB 50010-2010; Code for Design of Concrete Structures. China National Standardization Management Committee: Beijing, China, 2010.
- Qiu, W.L.; Teng, F.; Pan, S.S. Damage constitutive model of concrete under repeated load after seawater freeze-thaw cycles. Constr. Build. Mater. 2020, 236, 117560. [Google Scholar] [CrossRef]
- JTG 3362-2018; Specifications for Design of Highway Reinforced Concrete and Prestressed Concrete Bridges and Culverts. China National Standardization Management Committee: Beijing, China, 2018.
- GB/T 50152-2012; Standard for Test Method of Concrete Structures. China National Standardization Management Committee: Beijing, China, 2012.
- JGJ/T 101-2015; Specification for Seismic Test of Buildings. China National Standardization Management Committee: Beijing, China, 2015.
- Liu, K.; Yan, J.; Zou, C. A pilot experimental study on seismic behavior of recycled aggregate concrete columns after freeze-thaw cycles. Constr. Build. Mater. 2018, 164, 497–507. [Google Scholar] [CrossRef]
- Wang, B.; Huang, W.; Zheng, S. Study on restoring force performance of corrosion damage steel frame beams under acid atmosphere. Appl. Sci. 2018, 9, 103. [Google Scholar]




























| No. | N | λ | ds | ls |
|---|---|---|---|---|
| JP-F0 | 0 | 0.15 | 14 | 75 |
| JP-F1 | 25 | 0.15 | 14 | 75 |
| JP-F2 | 50 | 0.15 | 14 | 75 |
| JP-F3 | 75 | 0.15 | 14 | 75 |
| JP-F4 | 100 | 0.15 | 14 | 75 |
| JP-F5 | 125 | 0.15 | 14 | 75 |
| JP-A0.225 | 125 | 0.225 | 14 | 75 |
| JP-A0.3 | 125 | 0.3 | 14 | 75 |
| JP-L12 | 125 | 0.15 | 12 | 75 |
| JP-L16 | 125 | 0.15 | 16 | 75 |
| JP-S50 | 125 | 0.15 | 14 | 50 |
| Parameter | Grouting | Sealing | |
|---|---|---|---|
| Type | CGMJM-VI | JM-Z | |
| Initial fluidity (mm) | ≥300 | ≥380 | |
| 60 min fluidity (mm) | ≥260 | -- | |
| Vertical expansion rate (%) | 0.02–0.5 | -- | |
| Bleeding rate (%) | 0 | -- | |
| Compressive strength (MPa) | 1 day | ≥35 | -- |
| 3 days | ≥60 | -- | |
| 28 days | ≥85 | ≥50 | |
| Chlorine ion content (%) | ≤0.03 | -- | |
| Amount of contraction (mm) | -- | 0 | |
| Parameter | Value |
|---|---|
| Material | Carbon steel |
| Thread spacing (mm) | 2 |
| Vertebral angle (°) | 60 |
| Length of thread (mm) | 50 |
| Type of inner thread | M12 / 14 / 16 |
| Parameter | Longitudinal Reinforcement | Stirrup |
|---|---|---|
| Reinforcement type | HRB400 | HPB300 |
| Physical quality | Ribbed | Plain |
| Diameter (mm) | 12, 14, or 16 | 8 |
| Yield strength (MPa) | 422 | 450 |
| Ultimate strength (MPa) | 605 | 550 |
| Cement | Fine Aggregate | Coarse Aggregate | Water | Fly Ash | Water Reducer |
|---|---|---|---|---|---|
| 373 | 873 | 838 | 180 | 66 | 8.8 |
| Py (kN) | Δy (mm) | Pm (kN) | Δm (mm) | Pu (kN) | Δu (mm) | |
|---|---|---|---|---|---|---|
| JP–F0 | 55.8 | 7.9 | 74.2 | 18.0 | 63.1 | 41.4 |
| JP–F1 | 54.9 | 7.8 | 73.0 | 18.0 | 62.1 | 39.8 |
| JP–F3 | 52.0 | 8.0 | 69.7 | 24.0 | 59.0 | 39.4 |
| JP–F5 | 49.3 | 8.3 | 66.4 | 30.0 | 56.1 | 41.6 |
| JP–A0.225 | 53.4 | 7.0 | 71.8 | 18.0 | 60.7 | 38.9 |
| JP–A0.3 | 59.5 | 7.6 | 78.0 | 18.0 | 67.7 | 32.8 |
| JP–L12 | 42.3 | 6.4 | 57.0 | 18.0 | 48.2 | 38.6 |
| JP–L16 | 57.9 | 8.1 | 77.8 | 30.0 | 65.8 | 44.5 |
| JP–J100 | 50.3 | 8.6 | 67.7 | 18.0 | 57.2 | 37.7 |
| JP–J50 | 50.1 | 8.3 | 67.4 | 30.0 | 57.0 | 45.4 |
| No. | Py | Pm | Pu | ||||||
|---|---|---|---|---|---|---|---|---|---|
| Test (kN) | Model (kN) | Deviation (%) | Test (kN) | Model (kN) | Deviation (%) | Test (kN) | Model (kN) | Deviation (%) | |
| JP-F0 | 55.8 | 53.0 | 5.1 | 74.2 | 70.6 | 4.9 | 63.1 | 60.0 | 4.9 |
| JP-F1 | 54.9 | 51.9 | 5.4 | 73.0 | 69.2 | 5.2 | 62.1 | 58.6 | 5.6 |
| JP-F3 | 52.0 | 50.9 | 2.1 | 69.7 | 67.9 | 2.6 | 59.0 | 57.7 | 2.2 |
| JP-F5 | 49.3 | 48.1 | 2.4 | 66.4 | 64.1 | 3.5 | 56.1 | 54.5 | 2.9 |
| JP-A0.225 | 53.4 | 52.5 | 1.6 | 71.8 | 70.0 | 2.5 | 60.7 | 59.5 | 2.0 |
| JP-A0.3 | 59.5 | 56.5 | 5.1 | 78.0 | 75.3 | 3.5 | 67.7 | 63.3 | 6.5 |
| JP-L12 | 42.3 | 41.9 | 1.1 | 57.0 | 55.8 | 2.1 | 48.2 | 47.5 | 1.5 |
| JP-L16 | 57.9 | 61.0 | −5.3 | 77.8 | 81.3 | −4.5 | 65.8 | 69.1 | −5.0 |
| JP-J100 | 50.3 | 48.9 | 2.8 | 67.7 | 65.2 | 3.6 | 57.2 | 55.5 | 3.0 |
| JP-J50 | 50.1 | 52.7 | −5.1 | 67.4 | 70.2 | −4.2 | 57.0 | 59.7 | −4.7 |
| No. | Δy | Δm | Δu | ||||||
|---|---|---|---|---|---|---|---|---|---|
| Test (mm) | Model (mm) | Deviation (%) | Test (mm) | Model (mm) | Deviation (%) | Test (mm) | Model (mm) | Deviation (%) | |
| JP-F0 | 7.9 | 8.6 | −8.9 | 18.0 | 18.8 | −4.4 | 41.4 | 42.2 | −1.9 |
| JP-F1 | 7.8 | 8.7 | −11.5 | 18.0 | 17.5 | 2.8 | 39.8 | 40.2 | −1.0 |
| JP-F3 | 8.0 | 7.5 | 6.3 | 24.0 | 22.3 | 7.1 | 39.4 | 38.2 | 3.0 |
| JP-F5 | 8.3 | 8.0 | 3.6 | 30.0 | 26.6 | 11.3 | 41.6 | 40.2 | 3.4 |
| JP-A0.225 | 7.0 | 6.5 | 7.1 | 18.0 | 21.3 | −18.3 | 38.9 | 40.32 | −3.7 |
| JP-A0.3 | 7.6 | 6.8 | 10.5 | 18.0 | 19.8 | −10.0 | 32.8 | 36.1 | −10.1 |
| JP-L12 | 6.4 | 6.5 | −1.6 | 18.0 | 19.3 | −7.2 | 38.6 | 40.3 | −4.4 |
| JP-L16 | 8.1 | 8.1 | 0.0 | 30.0 | 26.3 | 12.3 | 44.5 | 40.3 | 9.4 |
| JP-J100 | 8.6 | 8.0 | 7.0 | 18.0 | 20.4 | −13.3 | 37.7 | 36.2 | 4.0 |
| JP-J50 | 8.3 | 8.0 | 3.6 | 30.0 | 32.1 | −7.0 | 45.4 | 43.2 | 4.8 |
Disclaimer/Publisher’s Note: The statements, opinions and data contained in all publications are solely those of the individual author(s) and contributor(s) and not of MDPI and/or the editor(s). MDPI and/or the editor(s) disclaim responsibility for any injury to people or property resulting from any ideas, methods, instructions or products referred to in the content. |
© 2022 by the authors. Licensee MDPI, Basel, Switzerland. This article is an open access article distributed under the terms and conditions of the Creative Commons Attribution (CC BY) license (https://creativecommons.org/licenses/by/4.0/).
Share and Cite
Teng, F.; Zhang, Y.; Yan, W.; Wang, X.; Zhang, K. Restoring Force Model of Precast Segmental Reinforced Concrete Piers after Seawater Freeze–Thaw Cycles. Coatings 2023, 13, 16. https://doi.org/10.3390/coatings13010016
Teng F, Zhang Y, Yan W, Wang X, Zhang K. Restoring Force Model of Precast Segmental Reinforced Concrete Piers after Seawater Freeze–Thaw Cycles. Coatings. 2023; 13(1):16. https://doi.org/10.3390/coatings13010016
Chicago/Turabian StyleTeng, Fei, Yueying Zhang, Weidong Yan, Xiaolei Wang, and Kexin Zhang. 2023. "Restoring Force Model of Precast Segmental Reinforced Concrete Piers after Seawater Freeze–Thaw Cycles" Coatings 13, no. 1: 16. https://doi.org/10.3390/coatings13010016
APA StyleTeng, F., Zhang, Y., Yan, W., Wang, X., & Zhang, K. (2023). Restoring Force Model of Precast Segmental Reinforced Concrete Piers after Seawater Freeze–Thaw Cycles. Coatings, 13(1), 16. https://doi.org/10.3390/coatings13010016

