Wear Mechanism and Life Map Construction of Nitride Coatings on Different Substrates
Abstract
:1. Introduction
2. Experimental Details
2.1. Sample Preparation
2.2. Coatings Characterization
2.3. Reciprocating Wear Test Process
3. Results and Discussion
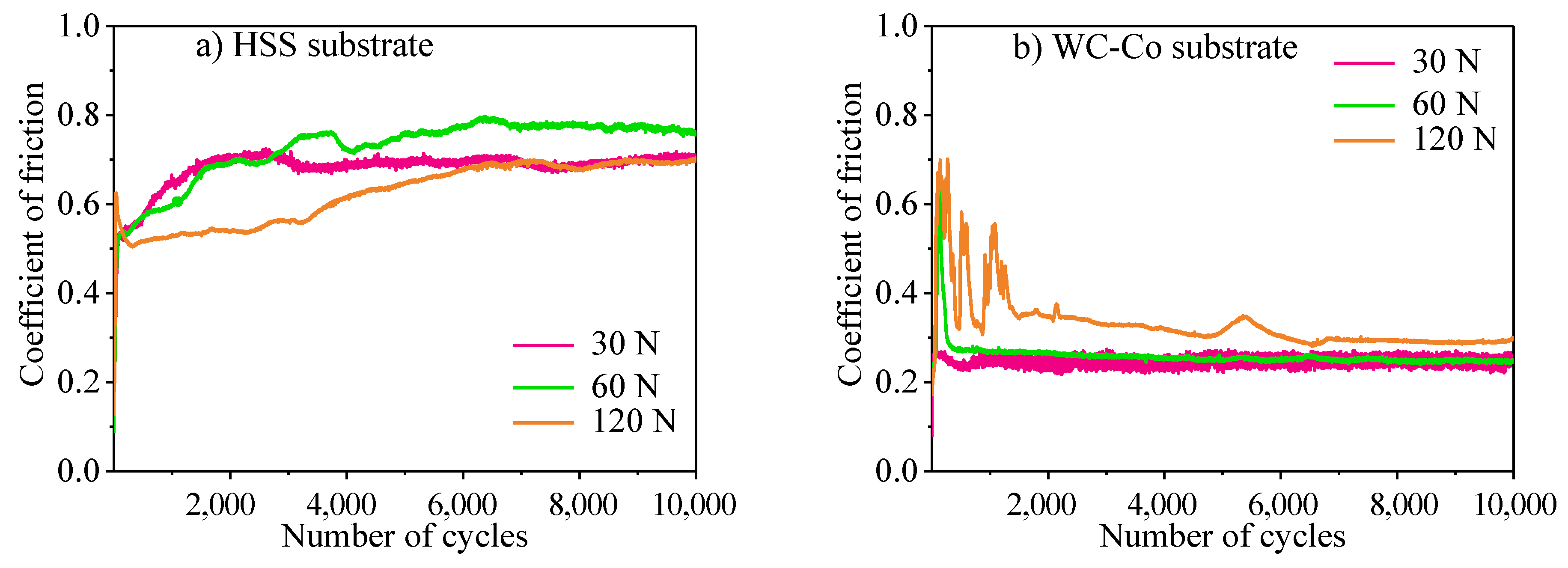
3.1. Coefficient of Friction
3.2. Wear Depth
3.3. Wear Scar Morphologies
3.3.1. HSS and WC-Co Substrates
3.3.2. CrN Coating on HSS Substrate
3.3.3. CrN Coating on WC-Co Substrate
3.3.4. AlTiN Coating on HSS Substrate
3.3.5. AlTiN Coating on WC-Co Substrate
3.4. Coating Service Life Mapping
4. Conclusions
- (1)
- The bonding strengths of the CrN and AlTiN coatings to the WC-Co substrate were larger than those to the HSS substrate. The CrN coating on WC-Co and HSS had better bonding strength than the AlTiN coating.
- (2)
- The CoFs of HSS was in the range of 0.7–0.8 and the CoFs of WC-Co was in the range of 0.2–0.3. For the coatings (CrN and AlTiN), the CoFs were close to those of the uncoated substrates after the coatings were removed.
- (3)
- The wear depths of uncoated HSS and WC-Co were higher than the coated ones. The wear depths were small when the coatings worked and increased with the number of cycles and normal forces. The wear depths increased obviously when the coatings were removed.
- (4)
- For the CrN coatings under small force conditions, an adhesion layer derived from the wear debris was formed on the coating surface to reduce the wear at the beginning of the test. The main failure mechanism was abrasive wear and delamination. Under large force conditions, the main failure mechanism was spallation. For the AlTiN coatings, the main failure mechanism was spallation on the HSS substrate: however, on the WC-Co substrate it was adhesive and abrasive wear.
- (5)
- The CrN and AlTiN coatings on WC-Co had longer service lives than on the HSS. The CrN on both substrates (HSS and WC-Co) had longer service life under smaller forces (30 N, 60 N) than AlTiN. The AlTiN coating on the HSS substrate had the smallest service life even under the smallest normal force. The CrN coating has better wear-resistance than the AlTiN coating, although the AlTiN coating has higher hardness. The service properties of the AlTiN coating on WC-Co was better than on HSS. The AlTiN coating on WC-Co had better force-resistance than the CrN coating on WC-Co. The AlTiN coating on WC-Co had poorer wear-resistance than the CrN coating on WC-Co.
Author Contributions
Funding
Institutional Review Board Statement
Informed Consent Statement
Data Availability Statement
Conflicts of Interest
References
- Inspektor, P.A. Salvador, Architecture of PVD coatings for metalcutting applications: A review. Surf. Coat. Technol. 2014, 257, 138–153. [Google Scholar] [CrossRef]
- Bouzakis, K.D.; Michailidis, N.; Skordaris, G.; Bouzakis, E.; Biermann, D.; M’Saoubi, R. Cutting with coated Tools: Coating technologies, characterization methods and performance optimization. CIRP Ann.-Manuf. Technol. 2012, 61, 703–723. [Google Scholar] [CrossRef]
- Jadam, T.; Datta, S.; Masanta, M. Influence of cutting tool material on machinability of Inconel 718 superalloy. Mach. Sci. Technol. 2020, 25, 349–397. [Google Scholar] [CrossRef]
- Troß, N.; Brimmers, J.; Bergs, T. Tool wear in dry gear hobbing of 20MnCr5 case-hardening steel, 42CrMo4 tempered steel and EN-GJS-700-2 cast iron. Wear 2021, 476, 203737. [Google Scholar] [CrossRef]
- Olander, P.; Heinrichs, J. Initiation and propagation of tool wear in turning of titanium alloys -Evaluated in successive sliding wear test. Wear 2019, 426–427, 1658–1666. [Google Scholar] [CrossRef]
- Uhlmann, E.; Hinzmann, D.; Kropidlowksi, K.; Meier, P.; Prasol, L.; Woydt, M. Substitution of commercially coated tungsten carbide tools in dry cylindrical turning process by HiPIMS coated niobium carbide cutting inserts. Surf. Coat. Technol. 2018, 354, 112–118. [Google Scholar] [CrossRef]
- Gong, M.F.; Chen, J.; Deng, X.; Wu, S.H. Sliding wear behavior of TiAlN and AlCrN coatings on a unique cemented carbide substrate. Int. J. Refract. Met. Hard Mater. 2017, 69, 209–214. [Google Scholar] [CrossRef]
- Kumar, T.S.; Jebaraj, A.V.; Shankar, E.; Tamiloli, N.; Sivakumar, K. Metallurgical and mechanical characterization of TiCN/TiAlN and TiAlN/TiCN bilayer nitride coatings. Surf. Interfaces 2019, 15, 256–264. [Google Scholar] [CrossRef]
- Bobzin, K. High-performance coatings for cutting tools. CIRP J. Manuf. Sci. Technol. 2017, 18, 1–9. [Google Scholar] [CrossRef]
- Elmkhah, H.; Mahboubi, F.; Abdollah-zadeh, A.; Rouhaghdam, A.R.S. A new approach to improve the surface properties of H13 steel for metal forming applications by applying the TiAlN multi-layer coating. J. Manuf. Process. 2018, 32, 873–877. [Google Scholar] [CrossRef]
- Vereschaka, A.; Aksenenko, A.; Sitnikov, N.; Migranov, M.; Shevchenko, S.; Sotova, C.; Batako, A.; Andreev, N. Effect of adhesion and tribological properties of modified composite nanostructured multi-layer nitride coatings on WC-Co tools life. Tribol. Int. 2018, 128, 313–327. [Google Scholar] [CrossRef]
- Zhou, X.K.; Wang, K.; Li, C.S.; Wang, Q.; Wu, S.; Liu, J.X. Effect of ultrafine gradient cemented carbides substrate on the performance of coating tools for titanium alloy high speed cutting. Int. J. Refract. Met. Hard Mater. 2019, 84, 105024. [Google Scholar] [CrossRef]
- Hong, D.; Niu, Y.R.; Li, H.; Zhong, X.; Tu, W.H.; Zheng, X.B.; Sun, J.L. Comparison of microstructure and tribological properties of plasma-sprayed TiN, TiC and TiB2 coatings. Surf. Coat. Technol. 2019, 374, 181–188. [Google Scholar] [CrossRef]
- Xu, X.; Su, F.H.; Li, Z.J. Tribological properties of nanostructured TiAlN/W2N multilayer coating produced by PVD. Wear 2019, 430–431, 67–75. [Google Scholar] [CrossRef]
- Chen, Y.J.; Wang, S.H.; Hao, Y.; Pu, J.B.; Jiang, X.; Huang, L.F.; Wang, L.P. Friction and Wear Behavior of CrN Coating on 316L Stainless Steel in Liquid Sodium at Elevated Temperature. Tribol. Int. 2020, 143, 106079. [Google Scholar] [CrossRef]
- Zhang, W.H.; Hsieh, J.H. Tribological behavior of TiN and CrN coatings sliding against an epoxy molding compound. Surf. Coat. Technol. 2000, 130, 240–247. [Google Scholar] [CrossRef]
- Ding, X.Z.; Zeng, X.T.; Liu, Y.C.; Fang, F.Z.; Lim, G.C. Cr1−xAlxN coatings deposited by lateral rotating cathode arc for high speed machining applications. Thin Solid Film. 2008, 516, 1710–1715. [Google Scholar] [CrossRef]
- Mei, F.S.; Chen, Y.; Zhang, H.D.; Lin, X.L.; Gao, J.X.; Yuan, T.H.; Cao, X.X. Greater improvement of carbon and boron co-doping on the mechanical properties, wear-resistance and cutting performance of AlTiN coating than that of doping alone. Surf. Coat. Technol. 2021, 406, 126738. [Google Scholar] [CrossRef]
- Mo, J.L.; Zhu, M.H. Sliding tribological behaviors of PVD CrN and AlCrN coatings against Si3N4 ceramic and pure titanium. Wear 2009, 267, 874–881. [Google Scholar] [CrossRef]
- Zhou, F.; Suh, C.M.; Kim, S.S. Ri-ichi Murakami, Sliding-wear behavior of TiN- and CrN-coated 2024 aluminum alloy against an Al2O3 ball. Tribol. Lett. 2002, 13, 173–178. [Google Scholar] [CrossRef]
- Birol, Y. Sliding wear of CrN, AlCrN and AlTiN coated AISI H13 hot work tool steels in aluminium extrusion. Tribol. Int. 2013, 57, 101–106. [Google Scholar] [CrossRef]
- Tillmann, W.; Grisales, D.; Stangier, D. Effects of AISI H11 surface integrity on the residual stresses and adhesion of TiAlN/substrate compounds. Surf. Coat. Technol. 2019, 357, 466–472. [Google Scholar] [CrossRef]
- Geng, Z.; Shi, G.L.; Shao, T.M.; Liu, Y.; Duan, D.L.; Reddyhof, T. Tribological behavior of patterned TiAlN coatings at elevated temperatures. Surf. Coat. Technol. 2019, 364, 99–114. [Google Scholar] [CrossRef]
- Madah, F.; Dehghanian, C.; Amadeh, A.A. Investigations on the wear mechanisms of electroless Ni–B coating during dry sliding and endurance life of the worn surfaces. Surf. Coat. Technol. 2015, 282, 6–15. [Google Scholar] [CrossRef]
- Wang, Q.Q.; Jin, Z.J.; Zhao, Y.; Niu, L.; Guo, J. A comparative study on tool life and wear of uncoated and coated cutting tools in turning of tungsten heavy alloys. Wear 2021, 482–483, 203929. [Google Scholar] [CrossRef]
- Zhao, J.F.; Liu, Z.Q.; Wang, B.; Hu, J.R.; Wan, Y. Tool coating effects on cutting temperature during metal cutting processes: Comprehensive review and future research directions. Mech. Syst. Sign. Process. 2021, 150, 107302. [Google Scholar] [CrossRef]
- Tebaldo, V.; Kilpi, L.; Ronkainen, H.; Faga, M.G. Tribological properties of AlTIN coating in sliding contact with Ti6Al4V: A helpful tool for disentangling the phenomena complexity during real turning operations. Tribol. Int. 2018, 123, 71–80. [Google Scholar] [CrossRef]
- Zhang, Q.; Xu, Y.X.; Zhang, T.F. Tribological properties, oxidation resistance and turning performance of AlTiN/AlCrSiN multilayer coatings by arc ion plating. Surf. Coat. Technol. 2018, 356, 1–10. [Google Scholar] [CrossRef]
- Zheng, G.M.; Zhao, G.Y.; Cheng, X.; Xu, R.F.; Zhao, J.; Zhang, H.Q. Frictional and wear performance of TiAlN/TiN coated tool against high strength steel. Ceram. Int. 2018, 44, 6878–6885. [Google Scholar] [CrossRef]
- Heinrichs, J.; Mikado, H.; Wiklund, U.; Jacobson, S. Wear of uncoated and PVD coated cemented carbide tools for processing of copper based materials part II: Exploring the sliding contact with pure copper. Wear 2021, 466–467, 203589. [Google Scholar] [CrossRef]
- Azhaarudeen, S.; Faruck, A.A.M.; Nevosad, A. Tribological behaviour and wear mechanisms of manganese phosphate coatings under dry reciprocating sliding contact conditions. Tribol. Int. 2018, 122, 189–199. [Google Scholar] [CrossRef]
- Vera, E.E.; Vite, M.; Lewis, R.; Gallardo, E.A.; Laguna-Camacho, J.R. A study of the wear performance of TiN, CrN and WC/C coatings on different steel substrates. Wear 2011, 271, 2116–2124. [Google Scholar] [CrossRef]
- Xian, G.; Xiong, J.; Zhao, H.B.; Fan, H.Y.; Li, Z.X.; Du, H. Evaluation of the structure and properties of the hard TiAlN-(TiAlN/CrAlSiN)-TiAlN multiple coatings deposited on diverse substrate materials. Int. J. Refract. Met. Hard Mater. 2019, 85, 105056. [Google Scholar] [CrossRef]
- Łępicka, M.; Grądzka-Dahlke, M.; Pieniak, D.; Pasierbiewicz, K.; Kryńska, K.; Niewczas, A. Tribological performance of titanium nitride coatings: A comparative study on TiN-coated stainless steel and titanium alloy. Wear 2019, 422–423, 68–80. [Google Scholar] [CrossRef]
- Zhou, Y.F.; Ma, W.D.; Geng, J.; Wang, Q.; Rao, L.X.; Qian, Z.Y.; Xing, X.L.; Yang, Q.X. Exploring long-run reciprocating Wear of diamond-like carbon coatings: Microstructural, morphological and tribological evolution. Surf. Coat. Technol. 2021, 405, 126581. [Google Scholar] [CrossRef]
- Ding, H.H.; Fridrici, V.; Geringer, J.; Fontaine, J.; Kapsa, P. Influence of diamond-like carbon coatings and roughness on fretting behaviors of Ti-6Al-4V for neck adapter-femoral stem contact. Wear 2018, 406–407, 53–67. [Google Scholar] [CrossRef]
- Ding, H.H.; Fridrici, V.; Bouvard, G.; Geringer, J.; Fontaine, J.; Kapsa, P. Influence of Deposition Positions on Fretting Behaviors of DLC Coating on Ti-6Al-4V. Tribol. Trans. 2019, 62, 1155–1172. [Google Scholar] [CrossRef]
- Ding, H.H.; Fridrici, V.; Bouvard, G.; Geringer, J.; Kapsa, P. Influence of Calf Serum on Fretting Behaviors of Ti-6Al-4V and Diamond-Like Carbon Coating for Neck Adapter–Femoral Stem Contact. Tribol. Lett. 2018, 66, 110. [Google Scholar] [CrossRef]
- León-Patiño, C.A.; Braulio-Sánchez, M.; Aguilar-Reyes, E.A.; Bedolla-Becerril, E.; Bedolla-Jacuinde, A. Dry sliding wear behavior of infiltrated particulate reinforced Ni/TiC composites. Wear 2019, 426–427, 989–995. [Google Scholar] [CrossRef]
- Mo, J.L.; Zhu, M.H.; Leyland, A.; Matthews, A. Impact wear and abrasion resistance of CrN, AlCrN and AlTiN PVD coatings. Surf. Coat. Technol. 2013, 215, 170–177. [Google Scholar] [CrossRef]
- Zhang, K.; Deng, J.; Guo, X.; Sun, L.; Lei, S. Study on the adhesion and tribological behavior of PVD TiAlN coatings with a multi-scale textured substrate surface. Int. J. Refract. Met. Hard Mater. 2018, 72, 292–305. [Google Scholar] [CrossRef]
- De Oliveira Junior, M.M.; Costa, H.L.; Junior, W.M.S.; de Mello, J.D.B. Effect of iron oxide debris on the reciprocating sliding wear of tool steels. Wear 2019, 426–427, 1065–1075. [Google Scholar] [CrossRef]

















| Coatings | Cathode Targets | Temperature (°C) | Current (A) | Bias (V) | Deposition Time (min) |
|---|---|---|---|---|---|
| CrN | Cr | 380 | 120 | −60 | 40 |
| AlTiN | AlTi | 400 | 160 | −50 | 40 |
| Sample | Hardness (HV0.5) | Nanoindentation Hardness (GPa) | Young’s Modulus (GPa) | Poisson’s Ratio | Roughness Ra (μm) |
|---|---|---|---|---|---|
| HSS substrate | 680 ± 25 | - | 210 | 0.27 | 0.095 ± 0.015 |
| WC-Co substrate | 1300 ± 20 | - | 510 | 0.22 | 0.07 ± 0.025 |
| CrN coating | - | 23.4 ± 5.5 | 473.2 ± 90 | 0.25 | 0.15 ± 0.03 |
| AlTiN coating | - | 31.8 ± 6.6 | 359.9 ± 40 | 0.25 | 0.10 ± 0.05 |
| Elements (Wt %) | C | N | O | Al | Ti | Cr | Fe | Co | W |
|---|---|---|---|---|---|---|---|---|---|
| HSS | 12.92 | 7.26 | 79.82 | ||||||
| WC-Co | 15.94 | 1.68 | 8.06 | 74.32 | |||||
| CrN coating | 2.78 | 68.28 | 28.94 | ||||||
| AlTiN coating | 2.13 | 41.59 | 27.47 | 28.81 |
| Samples | CrN Coating on HSS | CrN Coating on WC-Co | AlTiN Coating on HSS | AlTiN Coating on WC-Co |
|---|---|---|---|---|
| Critical load (N) | 48.2 ± 5.4 | 92.8 ± 3.3 | 42.3 ± 4.4 | 78.0 ± 3.5 |
| Samples Type | Normal Force (N) | Number of Cycles |
|---|---|---|
| HSS, CrN on HSS, AlTiN on HSS, WC-Co, CrN on WC-Co, AlTiN on WC-Co | 30, 60, 90, 120 | 10–50,000 (depending on the failure process of coating) |
| Elements (Wt.%) | C | N | O | Cr | Fe | Co | W |
|---|---|---|---|---|---|---|---|
| A | 5.81 | 22.98 | 4.58 | 64.70 | 0.38 | 0.24 | 1.31 |
| B | 8.36 | 12.29 | 4.54 | 16.30 | 56.31 | - | 1.71 |
Publisher’s Note: MDPI stays neutral with regard to jurisdictional claims in published maps and institutional affiliations. |
© 2022 by the authors. Licensee MDPI, Basel, Switzerland. This article is an open access article distributed under the terms and conditions of the Creative Commons Attribution (CC BY) license (https://creativecommons.org/licenses/by/4.0/).
Share and Cite
Xu, Z.; Luo, Y.; Huang, Z. Wear Mechanism and Life Map Construction of Nitride Coatings on Different Substrates. Coatings 2022, 12, 1082. https://doi.org/10.3390/coatings12081082
Xu Z, Luo Y, Huang Z. Wear Mechanism and Life Map Construction of Nitride Coatings on Different Substrates. Coatings. 2022; 12(8):1082. https://doi.org/10.3390/coatings12081082
Chicago/Turabian StyleXu, Zhiyang, Yi Luo, and Zhengshu Huang. 2022. "Wear Mechanism and Life Map Construction of Nitride Coatings on Different Substrates" Coatings 12, no. 8: 1082. https://doi.org/10.3390/coatings12081082
APA StyleXu, Z., Luo, Y., & Huang, Z. (2022). Wear Mechanism and Life Map Construction of Nitride Coatings on Different Substrates. Coatings, 12(8), 1082. https://doi.org/10.3390/coatings12081082
