Experimental Analysis of Bearing Capacity of Basalt Fiber Reinforced Concrete Short Columns under Axial Compression
Abstract
:1. Introduction
2. Materials
3. Construction Performance and Optimal Parameters of the BRFC
3.1. Construction Performance Test of the BRFC
3.2. Optimal Fiber Length and Fiber Volume Content
4. Axial Compression Test of the BRFC Short Columns
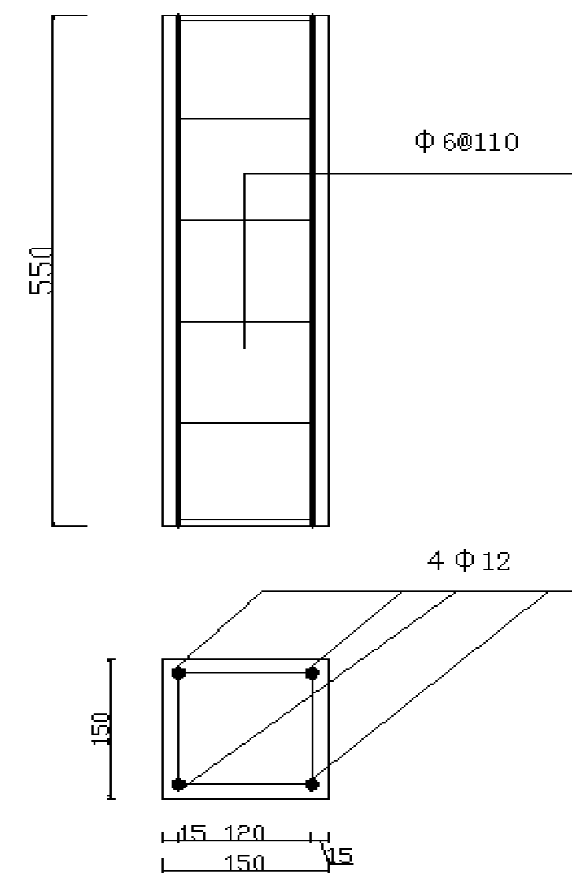
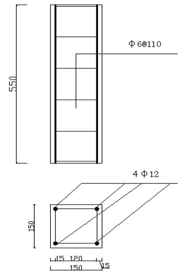
4.1. Specimen Design
4.2. Experimental Phenomenon
4.3. Results and Discussion
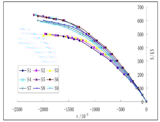
4.3.1. Ultimate Bearing Capacity
4.3.2. Load Strain Curve
4.3.3. Influence Mechanism of Basalt Fiber
5. Calculation Method of Ultimate Bearing Capacity of BRFC Short Column
6. Conclusions
- (1)
- The optimum fiber length is about 12–24 mm, and the fiber volume content is 0.15%. In this case, the concrete has better slump and expansion properties and higher compressive strength.
- (2)
- Adding appropriate basalt fiber can effectively improve the ultimate bearing capacity of the concrete short columns, and the maximum and average increases are 28% and 24%, respectively.
- (3)
- No matter which of the theoretical calculation methods and the finite element simulation methods is adopted, its calculation results are very consistent with the test results. Even considering the deviation caused by the loading mode, the maximum deviation between the calculated results and the measured values is no more than 5%.
Author Contributions
Funding
Institutional Review Board Statement
Informed Consent Statement
Data Availability Statement
Acknowledgments
Conflicts of Interest
References
- Iqbal, S.; Ali, A.; Holschemacher, K.; Bier, T.A. Mechanical properties of steel fiber reinforced high strength lightweight self-compacting concrete (SHLSCC). Constr. Build. Mater. 2015, 98, 325–333. [Google Scholar] [CrossRef]
- Xin, H.; Liu, Y.; Mosallam, A.S.; He, J.; Du, A. Evaluation on material behaviors of pultruded glass fiber reinforced polymer (GFRP) laminates. Compos. Struct. 2017, 182, 283–300. [Google Scholar] [CrossRef] [Green Version]
- Shaikh, F.U.A. Review of mechanical properties of short fibre reinforced geopolymer composites. Constr. Build. Mater. 2013, 43, 37–49. [Google Scholar] [CrossRef] [Green Version]
- Hannawi, K.; Bian, H.; Prince-Agbodjan, W.; Raghavan, B. Effect of different types of fibers on the microstructure and the mechanical behavior of ultra-high performance fiber reinforced concretes. Compos. Part B Eng. 2016, 86, 214–220. [Google Scholar] [CrossRef] [Green Version]
- Santarelli, M.L.; Sbardella, F.; Zuena, M.; Tirillo, J.; Sarasini, F. Basalt fiber reinforced natural hydraulic lime mortars: A potential bio-based material for restoration. Mater. Des. 2014, 63, 398–406. [Google Scholar] [CrossRef]
- Bai, Y.; Nguyen, T.C.; Zhao, X.L.; Al-Mahaidi, R. Environment-assisted degradation of the bond between steel and carbon-fiber-reinforced polymer. J. Mater. Civ. Eng. 2014, 26, 04014054. [Google Scholar] [CrossRef]
- Alabduljabbar, H.; Alyousef, R.; Mohammadhosseini, H.; Topper, T. Bond behavior of cleaned corroded lap spliced beams repaired with carbon fiber reinforced polymer sheets and partial depth repairs. Crystals 2020, 10, 1014. [Google Scholar] [CrossRef]
- Meyyappan, P.L.; Carmichael, M.J. Studies on strength properties of basalt fiber reinforced concrete. Mater. Today Proc. 2021, 43, 2105–2108. [Google Scholar] [CrossRef]
- Ramesh, B.; Eswari, S. Mechanical behaviour of basalt fibre reinforced concrete: An experimental study. Mater. Today Proc. 2021, 43, 2317–2322. [Google Scholar] [CrossRef]
- Alaskar, A.; Albidah, A.; Alqarni, A.S.; Alyousef, R.; Mohammadhosseini, H. Performance evaluation of high-strength concrete reinforced with basalt fibers exposed to elevated temperatures. J. Build. Eng. 2021, 35, 102108. [Google Scholar] [CrossRef]
- Branston, J.; Das, S.; Kenno, S.Y.; Taylor, C. Mechanical behaviour of basalt fibre reinforced concrete. Constr. Build. Mater. 2016, 124, 878–886. [Google Scholar] [CrossRef]
- Wang, X.Z.; He, J.; Mosallam, A.S.; Li, C.; Xin, H. Effects of fiber length and volume on material properties and crack resistance of basalt fiber reinforced concrete (BFRC). Adv. Mater. Sci. Eng. 2019, 4, 7520549. [Google Scholar] [CrossRef] [Green Version]
- Li, J.J.; Niu, J.G.; Wan, C.J.; Ling, X.Q.; Jin, Z.Y. Comparison of flexural property between high performance polypropylene fiber reinforced lightweight aggregate concrete and steel fiber reinforced lightweight aggregate concrete. Constr. Build. Mater. 2017, 157, 729–736. [Google Scholar] [CrossRef]
- Ayub, T.; Shafifiq, N.; Khan, S.U. Compressive stress-strain behavior of HSFRC reinforced with basalt fibers. J. Mater. Civ. Eng. 2015, 28, 06015014. [Google Scholar] [CrossRef]
- Wang, H.L.; Yuan, L.; Song, H. Experimental study on mechanical property of chopped basalt fiber reinforced concrete. Build. Struct. 2013, 43, 562–564. [Google Scholar]
- Monaldo, E.; Nerilli, F.; Vairo, G. Basalt-based fiber-reinforced materials and structural applications in civil engineering. Compos. Struct. 2019, 214, 246–263. [Google Scholar] [CrossRef]
- Sun, X.J.; Gao, Z.; Cao, P.; Zhou, C.J. Mechanical properties tests and multiscale numerical simulations for basalt fiber reinforced concrete. Constr. Build. Mater. 2019, 202, 58–72. [Google Scholar] [CrossRef]
- Tumadhir, M. Thermal and mechanical properties of basalt fibre reinforced concrete. Int. J. Civ. Environ. Eng. 2013, 7, 334–337. [Google Scholar]
- Zhang, Y. Research on Basic Mechanical Properties of Chopped Basalt Fiber Reinforced Concrete; Northeast Forestry University: Harbin, China, 2011. [Google Scholar]
- Wang, J.; Luan, Y.; Ye, H.J. Experimental research on crack and deformation of basalt fiber reinforced concrete beams. J. Archit. Civ. Eng. 2016, 33, 76–81. [Google Scholar]
- Alnahhal, W.; Aljidda, O. Flexural behavior of basalt fiber reinforced concrete beams with recycled concrete coarse aggregates. Constr. Build. Mater. 2018, 169, 165–178. [Google Scholar] [CrossRef]
- Zhu, C.R. Experimental Study on Fatigue of Basalt Fiber Reinforced Concrete Beams; Inner Mongolia University of Technology: Hohhot, China, 2013. [Google Scholar]
- GB/T 50080-2016; Standard for Test Method of Performance on Ordinary Fresh Concrete. MOHURD: Beijing, China, 2016.
- GB/T 50081-2002; Standard for Test Method of Mechanical Properties on Ordinary Concrete. MOHURD: Beijing, China, 2002.
- GT/B288.1-2010; Metallic Materials-Tensile Testing—Part 1, Method of Test at Room Temperature. National Technical Committee for Steel Standardization: Beijing, China, 2010.
- Abirami, R.; Sangeetha, S.P. Study on fiber reinforced concrete beam-column connection—A review. Mater. Today Proc. 2020, 33, 415–419. [Google Scholar] [CrossRef]
- Yoo, D.Y.; Banthia, N. Mechanical properties of ultra-high-performance fiber-reinforced concrete: A review. Cem. Concr. Comp. 2016, 73, 267–280. [Google Scholar] [CrossRef]
- JTG 3362-2018; Specifications for Design of Highway Reinforced Concrete and Prestressed Concrete Bridges and Culverts. MOT: Beijing, China, 2018.
- Shao, X.D.; Fan, W.; Huang, Z.Y. Application of ultra-high-performance concrete in engineering structures. China Civ. Eng, J. 2021, 54, 1–13. [Google Scholar]











| Target Intensity | Water Cement Ratio | Sand Ratio/% | Cement (kg/m3) | Water (kg/m3) | Sand (kg/m3) | Crushed Stone (kg/m3) |
|---|---|---|---|---|---|---|
| C30 | 0.55 | 34 | 355 | 195 | 703 | 1147 |
| Index | Diameter (μm) | Length (mm) | Density (kg/m3) | Tensile Strength (MPa) | Modulus of Elasticity (GPa) |
|---|---|---|---|---|---|
| Parameter | 0.55 | 12/18/24/30/36 | 2650 | 3000 | 703 |
| Group of Specimen | Fiber Length (mm) | Slump (mm) | Expansion (mm) | Relative Value of Slump (%) | Relative Value of Expansion (%) |
|---|---|---|---|---|---|
| ST1 | 0 | 30.4 | 61.5 | 100.0 | 100.0 |
| ST2 | 12 | 27.8 | 53.4 | 91.4 | 86.8 |
| ST3 | 18 | 25.7 | 48.6 | 84.5 | 79.0 |
| ST4 | 24 | 23.2 | 43.2 | 76.3 | 70.2 |
| ST5 | 30 | 24.7 | 47.1 | 81.2 | 76.6 |
| ST6 | 36 | 26.8 | 49.4 | 85.1 | 80.3 |
| Group of Specimen | Fiber Volume Content (%) | Slump (mm) | Expansion (mm) | Relative Value of Slump (%) | Relative Value of Expansion (%) |
|---|---|---|---|---|---|
| ST1 | 0 | 30.4 | 61.5 | 100.0 | 100.0 |
| ST7 | 0.075 | 28.2 | 56.3 | 92.8 | 91.5 |
| ST8 | 0.10 | 27.8 | 54.2 | 91.4 | 88.1 |
| ST9 | 0.15 | 25.4 | 52.1 | 83.6 | 84.7 |
| ST10 | 0.20 | 23.1 | 43.4 | 76.0 | 70.6 |
| ST11 | 0.25 | 20.2 | 38.3 | 66.4 | 62.3 |
| ST12 | 0.30 | 18.3 | 32.4 | 60.2 | 52.7 |
| ST13 | 0.40 | 15.8 | 30.1 | 52.0 | 48.9 |
| Specimen Number | Fiber Volume Content (%) | Fiber Length (mm) | Nu (kN) |
|---|---|---|---|
| S1 | 0 | / | 500 |
| S2 | 0 | / | 500 |
| S3 | 0 | / | 490 |
| S4 | 0.15 | 12 | 640 |
| S5 | 0.15 | 12 | 640 |
| S6 | 0.15 | 12 | 630 |
| S7 | 0.15 | 18 | 600 |
| S8 | 0.15 | 18 | 590 |
| S9 | 0.15 | 18 | 600 |
| Specimen Number | Test Value (kN) | Calculation Value Based on Equation (1) (kN) | Calculation Value Based on Finite Element Analysis Method (kN) | η1 | η2 |
|---|---|---|---|---|---|
| S1 | 500 | 502 | 497 | 1.00 | 1.01 |
| S2 | 500 | 502 | 497 | 1.00 | 1.01 |
| S3 | 490 | 502 | 497 | 0.98 | 0.99 |
| S4 | 640 | 630 | 637 | 1.02 | 1.00 |
| S5 | 640 | 630 | 637 | 1.02 | 1.00 |
| S6 | 630 | 630 | 637 | 1.00 | 0.99 |
| S7 | 600 | 598 | 597 | 1.00 | 1.01 |
| S8 | 590 | 598 | 597 | 0.99 | 0.99 |
| S9 | 600 | 598 | 597 | 1.00 | 1.01 |
Publisher’s Note: MDPI stays neutral with regard to jurisdictional claims in published maps and institutional affiliations. |
© 2022 by the authors. Licensee MDPI, Basel, Switzerland. This article is an open access article distributed under the terms and conditions of the Creative Commons Attribution (CC BY) license (https://creativecommons.org/licenses/by/4.0/).
Share and Cite
Wang, X.; Yang, Y.; Yang, R.; Liu, P. Experimental Analysis of Bearing Capacity of Basalt Fiber Reinforced Concrete Short Columns under Axial Compression. Coatings 2022, 12, 654. https://doi.org/10.3390/coatings12050654
Wang X, Yang Y, Yang R, Liu P. Experimental Analysis of Bearing Capacity of Basalt Fiber Reinforced Concrete Short Columns under Axial Compression. Coatings. 2022; 12(5):654. https://doi.org/10.3390/coatings12050654
Chicago/Turabian StyleWang, Xinzhong, Yiming Yang, Rihua Yang, and Peng Liu. 2022. "Experimental Analysis of Bearing Capacity of Basalt Fiber Reinforced Concrete Short Columns under Axial Compression" Coatings 12, no. 5: 654. https://doi.org/10.3390/coatings12050654
APA StyleWang, X., Yang, Y., Yang, R., & Liu, P. (2022). Experimental Analysis of Bearing Capacity of Basalt Fiber Reinforced Concrete Short Columns under Axial Compression. Coatings, 12(5), 654. https://doi.org/10.3390/coatings12050654
