Hydrothermal In-Situ Synthesis and Anti-Corrosion Performance of Zinc Oxide Hydroxyapatite Nanocomposite Anti-Corrosive Pigment
Abstract
:1. Introduction
2. Materials and Methods
2.1. Materials
2.2. Fabrication of HAP Pigment
2.3. Fabrication of ZnO-HAP Nanocomposites Pigment
2.4. Preparation of Anti-Corrosive Coatings
2.5. Characterizations
3. Results and Discussion
3.1. Characterization of Pigments
3.2. Microstructural Analysis
3.3. Mechanical Property Analysis
3.4. Hydrophobic and Anti-Corrosion Property of Pigments
3.4.1. Measurement of the Contact Angle
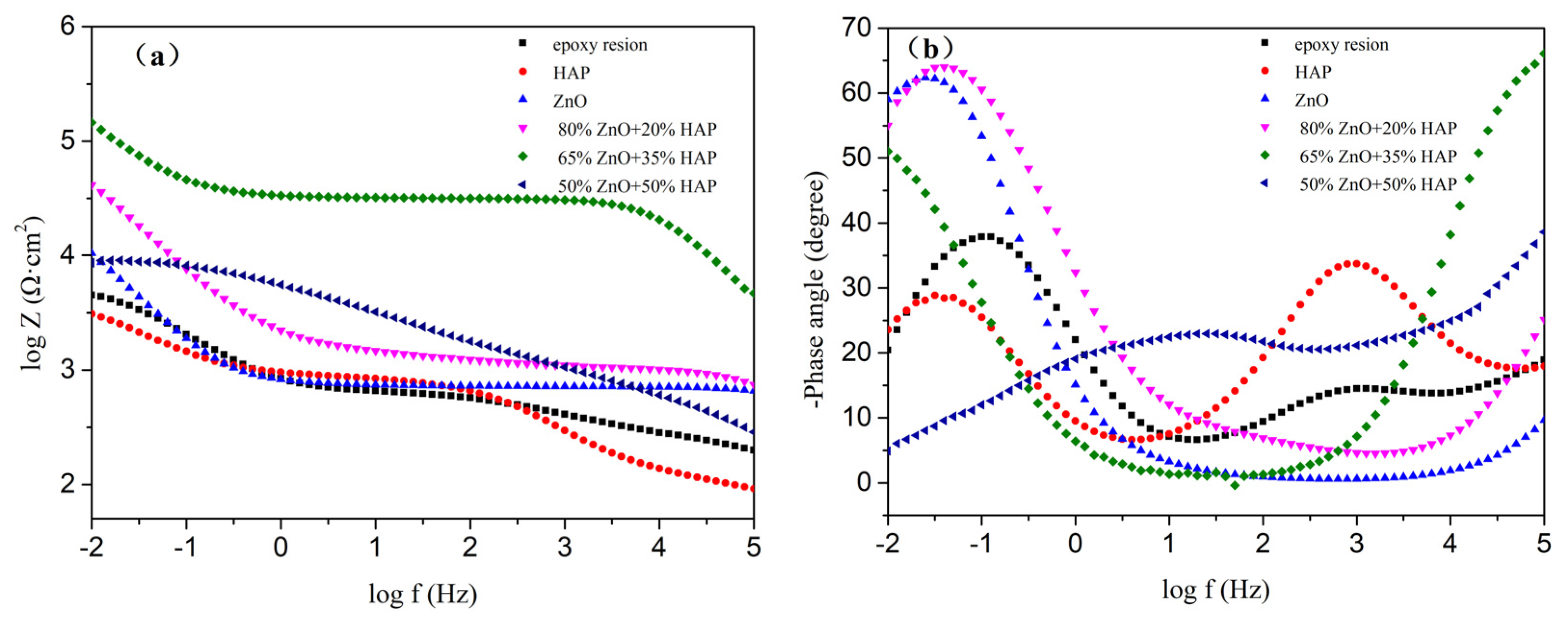
3.4.2. EIS Experiments
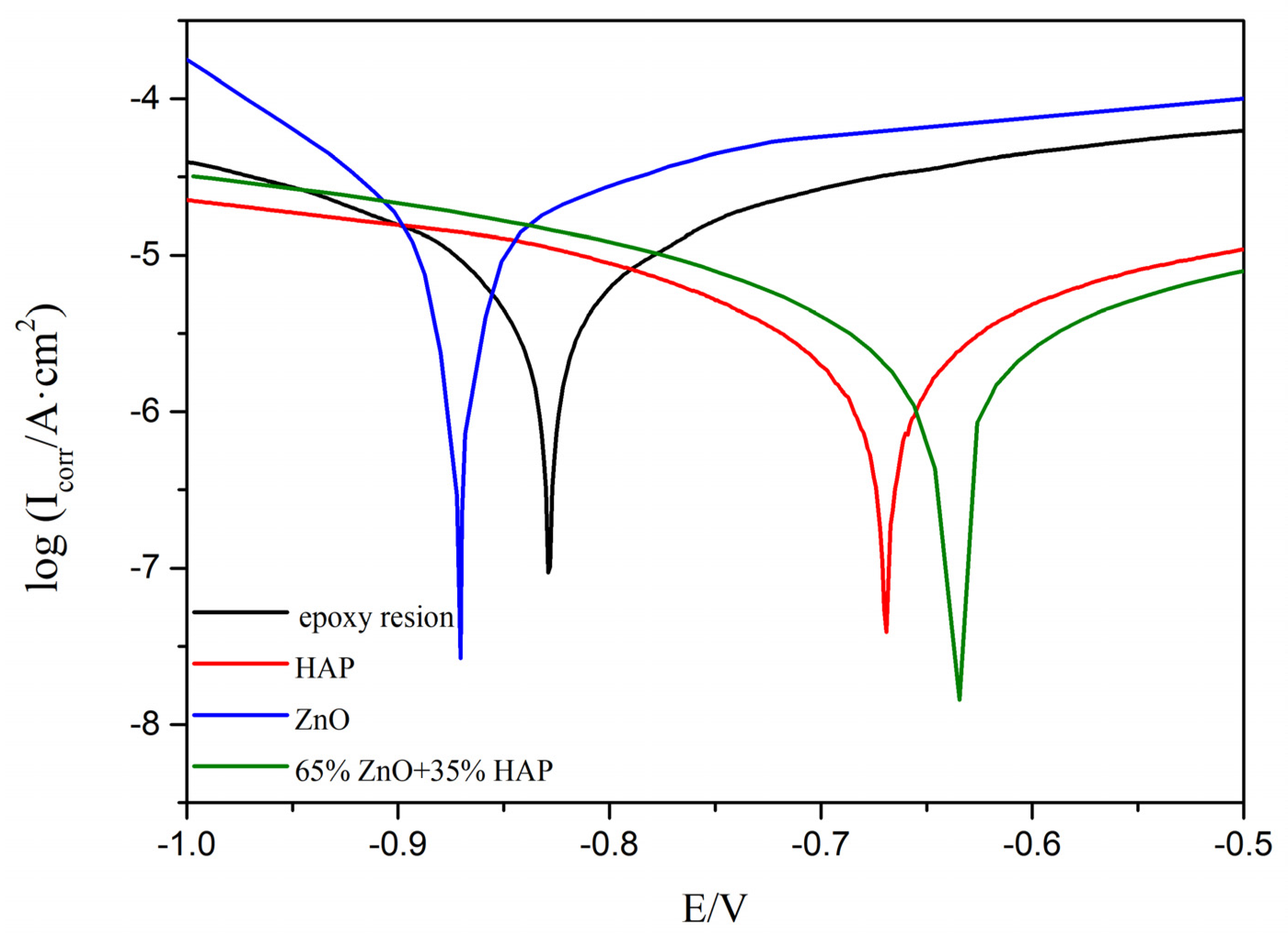
3.4.3. Polarization Curve Measurements
3.4.4. Anti-Corrosion Mechanism
4. Conclusions
Author Contributions
Funding
Institutional Review Board Statement
Informed Consent Statement
Data Availability Statement
Conflicts of Interest
References
- Chilkoor, G.; Karanam, S.P.; Star, S.; Shrestha, N.; Sani, R.K.; Upadhyayula, V.K.; Ghoshal, D.; Koratkar, N.A.; Meyyappan, M.; Gadhamshetty, V. Hexagonal boron nitride: The thinnest insulating barrier to microbial corrosion. ACS Nano 2018, 12, 2242–2252. [Google Scholar] [CrossRef] [PubMed]
- Guo, Q.; Chen, H. Development prospect of heavy-duty anti-corrosive coatings. Chem. Prog. 2003. Available online: https://dysw.cnki.net/kcms/detail/detail.aspx?filename=ZGTU2003S1001&dbcode=CJFQ&dbname=CJFD2003&v= (accessed on 10 March 2022).
- Bian, J.; Wang, W.; Guan, C. Research progress of organic coatings for metal corrosion protection. J. Mater. Sci. Eng. 2003, 21, 769–772. [Google Scholar]
- Zaarei, D.; Sarabi, A.A.; Sharif, F.; Kassiriha, S.M. Structure, properties and corrosion resistivity of polymeric nanocomposite coatings based on layered silicates. J. Coat. Technol. Res. 2008, 5, 241–249. [Google Scholar] [CrossRef]
- Zheng, J.; Ozisik, R.; Siegel, R.W. Disruption of self-assembly and altered mechanical behavior in polyurethane/zinc oxide nanocomposites. Polymer 2005, 46, 10873–10882. [Google Scholar] [CrossRef]
- El Saeed, A.M.; El-Fattah, M.A.; Azzam, A.M. Synthesis of ZnO nanoparticles and studying its influence on the antimicrobial, anti-corrosion, and mechanical behavior of polyurethane composite for surface coating. Dyes Pigment. 2015, 121, 282–289. [Google Scholar] [CrossRef]
- Le, H.L.T.; Lazzari, R.; Goniakowski, J.; Cavallotti, R.; Chenot, S.; Noguera, C.; Jupille, J.; Koltsov, A.; Mataigne, J.M. Tuning Adhesion at Metal/Oxide Interfaces by Surface Hydroxylation. J. Phys. Chem. C 2017, 21, 11464–11471. [Google Scholar] [CrossRef] [Green Version]
- Xue, X.Z.; Zhang, J.Y.; Zhou, D.; Liu, J.K. In-situ bonding technology and excellent anti-corrosion activity of graphene oxide/hydroxyapatite nanocomposite pigment-ScienceDirect. Dyes Pigment. 2019, 160, 109–118. [Google Scholar] [CrossRef]
- Wei, D.; Qi, X.; Li, D. Research status of inorganic modification of organic anti-corrosive coatings. Sci. Wealth 2011, 17–18. [Google Scholar]
- Hu, X.J.; Liu, J.K.; Qin, X.Y.; Huang, J.; Yi, Y. Facile synthesis of hydroxylapatite nanostructures with various morphologies. Nano 2009, 4, 165–170. [Google Scholar] [CrossRef]
- Fihri, A.; Len, C.; Varma, R.S.; Solhy, A. Hydroxyapatite: A review of syntheses, structure, and applications in heterogeneous catalysis. Coord. Chem. Rev. 2017, 347, 48–76. [Google Scholar] [CrossRef]
- Wang, J.; Shaw, L.L. Morphology-enhanced low-temperature sintering of nanocrystalline hydroxyapatite. Adv. Mater. 2007, 19, 2364–2369. [Google Scholar] [CrossRef]
- Gao, F.; Wang, Q.; Gao, N.; Yang, Y.; Cai, F.; Yamane, M.; Gao, F.; Tanaka, H. Hydroxyapatite/chemically reduced graphene oxide composite: Environment-friendly synthesis and high-performance electrochemical sensing for hydrazine. Biosens. Bioelectron. 2017, 97, 238–245. [Google Scholar] [CrossRef] [PubMed]
- Harja, M.; Ciobanu, G. Studies on adsorption of oxytetracycline from aqueous solutions onto hydroxyapatite. Sci. Total Environ. 2018, 628–629, 36–43. [Google Scholar] [CrossRef] [PubMed]
- Xue, X.Z.; Tang, S.; Yuan, X.Y.; Yue, Y.B.; Liu, J.K.; Yang, X.H. One-step crushing & cladding technology and enhanced anti-corrosion activity of Zn3(PO4)2@AlH2P3O10 pigment. J. Alloy. Compd. 2018, 744, 837–848. [Google Scholar]
- Stango SA, X.; Karthick, D.; Swaroop, S.; Mudali, U.K.; Vijayalakshmi, U. Development of hydroxyapatite coatings on laser textured 316 LSS and Ti-6Al-4V and its electrochemical behavior in SBF solution for orthopedic applications. Ceram. Int. 2018, 44, 3149–3160. [Google Scholar] [CrossRef]
- González, M.G.; Cabanelas, J.C.; Baselga, J. Applications of FT-IR on Epoxy Resins-Identification, Monitoring the Curing Process, Phase Separation and Water Uptake; InTech: London, UK, 2012; pp. 261–284. [Google Scholar]
- Samad, U.A.; Alam, M.A.; Anis, A.; Abdo, H.S.; Shaikh, H.; Al-Zahrani, S.M. Nanomechanical and Electrochemical Properties of ZnO-Nanoparticle-Filled Epoxy Coatings. Coatings 2022, 12, 282. [Google Scholar] [CrossRef]
- Cao, C.; Zhang, J. Introduction to Electrochemical Impedance Spectroscopy; Science Press: Beijing, China, 2002; pp. 118–185. [Google Scholar]
- Ramezanzadeh, B.; Ghasemi, E.; Askari, F.; Mahdavian, M. Synthesis and characterization of a new generation of inhibitive pigment based on zinc acetate/benzotriazole: Solution-phase and coating phase studies. Dyes Pigment. 2015, 122, 331–345. [Google Scholar] [CrossRef]
- Ates, M.; Uludag, N. Synthesis of 6-(3,6-di(thiophene-2-yl)-9H-carbazole-9-yl)- hexanoic acid, alternating copolymer formation, characterization and impedance evaluations. Polym.-Plast. Technol. Eng. 2012, 51, 640–646. [Google Scholar] [CrossRef]
- Ates, M.; Osken, I.; Ozturk, T. Poly(3,5-dithiophene-2-yldithieno[3,2-b;2′,3′d] thiophene-co-ethylene dioxythiophene)/glassy carbon electrode formation and electrochemical impedance spectroscopic study. J. Electrochem. Soc. 2012, 159, E115–E121. [Google Scholar] [CrossRef]
- Yingnan, W.; Xueyan, D.; Tianlu, X.; Lijie, Q.; Chunling, Z. Preparation and Anti-corrosion properties of silane grafted nano-silica/epoxy composite coating. J. Chem. Coll. Univ. 2018, 39, 1843–1845. [Google Scholar]
- Liu, C.; Du, P.; Zhao, H.; Wang, L. Synthesis of l-histidine-attached graphene nanomaterials and their application for steel protection. ACS Appl. Nano Mater. 2018, 1, 1385–1395. [Google Scholar] [CrossRef]
- Yabuki, A.; Shiraiwa, T.; Fathona, I.W. pH-controlled self-healing polymer coatings with cellulose nanofibers providing an effective release of corrosion inhibitor. Corros. Sci. 2016, 103, 117–123. [Google Scholar] [CrossRef]
- Bu, Y.; Chen, Z. Highly efficient photoelectrochemical anti-corrosion performance of C3N4@ZnO composite with quasi-shell-core structure on 304 stainless steel. RSC Adv. 2014, 4, 45397–45406. [Google Scholar] [CrossRef]
- Deyá, M.; Sarli, A.R.D.; Amo, B.D.; Romagnoli, R. Performance of anti-corrosive coatings containing tripolyphosphates in aggressive environments. Ind. Eng. Chem. Res. 2008, 47, 7038–7047. [Google Scholar] [CrossRef]
- Ramezani-Varzaneh, H.A.; Allahkaram, S.R.; Isakhani-Zakaria, M. Effects of phosphorus content on corrosion behavior of trivalent chromium coatings in 3.5 wt% NaCl solution. Surf. Coat. Technol. 2014, 244, 158–165. [Google Scholar] [CrossRef]
- Jorcin, J.B.; Orazem, M.E.; Pébère, N.; Tribollet, B. CPE analysis by local electrochemical impedance spectroscopy. Electrochim. Acta 2006, 51, 1473–1479. [Google Scholar] [CrossRef]
- Frangini, S.; Loreti, S. The role of temperature on the corrosion and passivation of type 310S stainless steel in eutectic (Li+K) carbonate melt. J. Power Sources 2006, 160, 800–804. [Google Scholar] [CrossRef]
- Cho, K.W.; Rao, V.S.; Kwon, H.S. Microstructure and electrochemical characterization of trivalent chromium based conversion coating on zinc. Electrochim. Acta 2007, 52, 4449–4456. [Google Scholar] [CrossRef]
- Isakhani-Zakaria, M.; Allahkaram, S.R.; Ramezani-Varzaneh, H.A. Evaluation of corrosion behaviour of Pb-Co3O4 electrodeposited coating using EIS method. Corros. Sci. 2019, 157, 472–480. [Google Scholar] [CrossRef]
- Miao, M.; Yuan, X.Y.; Wang, X.G.; Lu, Y.; Liu, J.K. One step self-heating synthesis and their excellent anti-corrosion performance of zinc phosphate/benzotriazole composite pigments. Dyes Pigment. 2017, 141, 74–82. [Google Scholar] [CrossRef]
- Bouyarmane, H.; Gouza, A.; Masse, S.; Saoiabi, S.; Saoiabi, A.; Coradin, T.; Laghzizil, A. Nanoscale conversion of chlorapatite into hydroxyapatite using ultrasound irradiation. Colloids Surf. A Physicochem. Eng. Asp. 2016, 495, 187–192. [Google Scholar] [CrossRef] [Green Version]















| Area (wt.%) | O | Zn | P | Ca | Composition |
|---|---|---|---|---|---|
| Total area | 29.45 | 56.54 | 5.65 | 8.36 | ZnO and HAP |
| 1 | 30.34 | 53.80 | 6.30 | 9.56 | |
| 2 | 28.75 | 59.77 | 4.63 | 6.85 | |
| 3 | 29.64 | 61.50 | 3.94 | 4.92 |
| Spot (wt.%) | C | O | Zn | P | Ca | Composition |
|---|---|---|---|---|---|---|
| Total area | 75.47 | 21.52 | 2.48 | 0.45 | 0.08 | ZnO, HAP, and epoxy resin |
| 1 | 62.97 | 18.33 | 18.29 | 0.37 | 0.05 | |
| 2 | 75.83 | 21.91 | 0.34 | 0.02 | 1.90 | |
| 3 | 67.00 | 21.64 | 2.62 | 5.34 | 3.40 |
| Ratio (%) | 100 | 95–100 | 85–95 | 65–85 | 35–65 | 0–36 |
|---|---|---|---|---|---|---|
| Grade | 0 | 1 | 2 | 3 | 4 | 5 |
| Coating | Pure Epoxy | HAP | ZnO | 80 wt.% ZnO + 20 wt.% HAP | 65 wt.% ZnO + 35 wt.% HAP | 50 wt.% ZnO + 50 wt.% HAP |
|---|---|---|---|---|---|---|
| Hardness/H | 4 | 6 | 4 | 2 | 4 | 6 |
| Adhesion force/grade | 0 | 0 | 2 | 1 | 0 | 0 |
| Coating | Pure Epoxy | HAP | ZnO | 80 wt.% ZnO + 20 wt.% HAP | 65 wt.% ZnO + 35 wt.% HAP | 50 wt.% ZnO + 50 wt.% HAP |
|---|---|---|---|---|---|---|
| WCA/degree | 68.56 | 35.91 | 71.49 | 68.43 | 64.17 | 50.12 |
| Parameter | Blank/ 24 h | Blank/ 72 h | HAP 24 h | HAP 72 h | ZnO 24 h | ZnO 72 h | 65 wt.% ZnO 35 wt.% HAP 24 h | 65 wt.% ZnO 35 wt.% HAP 72 h |
|---|---|---|---|---|---|---|---|---|
| R1/ohm cm2 | 49.11 | 83.26 | 117.20 | 81.39 | 38.07 | 139.80 | 807.50 | 321.40 |
| R2/ohm cm2 | 12,576.00 | 688.90 | 43,536.00 | 830.40 | 3956.00 | 642.80 | 375,580.00 | 31,432.00 |
| Y1/ohm−1 cm−2 s−n | 6.37 × 10−8 | 8.09 × 10−5 | 1.27 × 10−8 | 1.19 × 10−5 | 4.48 × 10−8 | 1.01 × 10−5 | 7.64 × 10−9 | 2.31 × 10−9 |
| n1 | 0.67 | 0.33 | 0.78 | 0.65 | 0.63 | 0.33 | 0.72 | 0.86 |
| Y2/ohm−1 cm−2 s−n | 0.00031 | 0.00074 | - | 0.0016 | 0.00014 | 0.00095 | - | 6.03 × 10−5 |
| n2 | 0.59 | 0.80 | - | 0.65 | 0.33 | 0.86 | - | 0.75 |
| W/ohm cm2 | - | - | 66,015 | 7060.26 | 6842.00 | 10,760.00 | 1.30 × 106 | 425,480.00 |
| Yw/ohm−1 cm−2 s−n | - | - | 398.30 | 418.30 | 10,251.00 | 42.57 | 220.30 | 92.42 |
| nw | - | - | 0.39 | 0.11 | 0.28 | 0.37 | 0.18 | 0.47 |
| R3 | 51,762.00 | 5668.0 | - | 475.40 | 59,470.00 | 39,401.00 | - | 1.17 × 106 |
| Samples | Ecorr (V) | Icorr (μA cm−2) | ba (V/dec) | bc (V/dec) | Rp (Ohm·cm−2) |
|---|---|---|---|---|---|
| Pure epoxy | −0.828 | 34.410 | 6.587 | 1.906 | 4663 |
| HAP | −0.666 | 13.170 | 3.461 | 3.679 | 14,700 |
| ZnO | −0.869 | 71.923 | 2.381 | 1.052 | 2446 |
| 65% ZnO + 35% HAP | −0.640 | 2.338 | 0.984 | 0.548 | 163,400 |
Publisher’s Note: MDPI stays neutral with regard to jurisdictional claims in published maps and institutional affiliations. |
© 2022 by the authors. Licensee MDPI, Basel, Switzerland. This article is an open access article distributed under the terms and conditions of the Creative Commons Attribution (CC BY) license (https://creativecommons.org/licenses/by/4.0/).
Share and Cite
Xu, X.; Wang, H.; Wu, J.; Chen, Z.; Zhang, X.; Li, M. Hydrothermal In-Situ Synthesis and Anti-Corrosion Performance of Zinc Oxide Hydroxyapatite Nanocomposite Anti-Corrosive Pigment. Coatings 2022, 12, 420. https://doi.org/10.3390/coatings12040420
Xu X, Wang H, Wu J, Chen Z, Zhang X, Li M. Hydrothermal In-Situ Synthesis and Anti-Corrosion Performance of Zinc Oxide Hydroxyapatite Nanocomposite Anti-Corrosive Pigment. Coatings. 2022; 12(4):420. https://doi.org/10.3390/coatings12040420
Chicago/Turabian StyleXu, Xiaohong, Huali Wang, Jianfeng Wu, Zhichao Chen, Xinyi Zhang, and Meiqin Li. 2022. "Hydrothermal In-Situ Synthesis and Anti-Corrosion Performance of Zinc Oxide Hydroxyapatite Nanocomposite Anti-Corrosive Pigment" Coatings 12, no. 4: 420. https://doi.org/10.3390/coatings12040420
APA StyleXu, X., Wang, H., Wu, J., Chen, Z., Zhang, X., & Li, M. (2022). Hydrothermal In-Situ Synthesis and Anti-Corrosion Performance of Zinc Oxide Hydroxyapatite Nanocomposite Anti-Corrosive Pigment. Coatings, 12(4), 420. https://doi.org/10.3390/coatings12040420
