Amphiphilic Janus Microspheres Prepared by Caged Photoactivatable Alkoxysilane
Abstract
:1. Introduction
2. Materials and Methods
2.1. Materials
2.2. Synthesis of NVOC-U-PTEOS
2.3. Preparation of Silica Particles
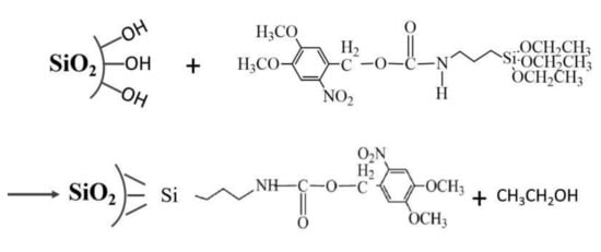
2.4. Surface Modification of SiO2 with NVOC-U-PTEOS
2.5. Preparation of AJP by Photo-Cleavage of NVOC-U-PTEOS-SiO2
2.6. Characterization
3. Results and Discussion
3.1. Composition of NVOC-U-PTEOS
3.2. Photo-Cleavage of NVOC-U-PTEOS
3.3. Morphologies of the Prepared Particles
3.4. Behaviors of the Prepared Microspheres Dispersed in the Oil-Water Dual-Phase
4. Conclusions
Author Contributions
Funding
Data Availability Statement
Conflicts of Interest
References
- De Gennes, P.G. Soft matter (Nobel lecture). Angew. Chem. Int. Ed. 1992, 31, 842–845. [Google Scholar] [CrossRef]
- Hils, C.; Schmelz, J.S.; Drechsler, M.; Schmalz, H. Janus micelles by crystallization-driven self-assembly of an amphiphilic, double-crystalline triblock terpolymer. J. Am. Chem. Soc. 2021, 143, 15582–15586. [Google Scholar] [CrossRef]
- Fan, J.-B.; Song, Y.; Liu, H.; Lu, Z.; Zhang, F.; Liu, H.; Meng, J.; Gu, L.; Wang, S.; Jiang, L. A general strategy to synthesize chemically and topologically anisotropic Janus particles. Sci. Adv. 2017, 3, e1603203. [Google Scholar] [CrossRef] [PubMed] [Green Version]
- Wang, Z.; Wang, Y.S.; Lu, M.M.; Li, L.; Zhang, Y.; Zheng, X.; Shao, D.; Li, J.; Dong, W.F. Janus Au-mesoporous silica nanocarriers for chemo-photothermal treatment of liver cancer cells. RSC Adv. 2016, 6, 44498–44505. [Google Scholar] [CrossRef]
- Zhang, D.; Atochina-Vasserman, E.N.; Maurya, D.S.; Liu, M.; Xiao, Q.; Lu, J.; Lauri, G.; Ona, N.; Reagan, E.K.; Ni, H.; et al. Targeted delivery of mRNA with one-component ionizable amphiphilic Janus dendrimers. J. Am. Chem. Soc. 2021, 143, 17975–17982. [Google Scholar] [CrossRef]
- Zhang, D.; Atochina-Vasserman, E.N.; Maurya, D.S.; Huang, N.; Xiao, Q.; Ona, N.; Liu, M.; Shahnawaz, H.; Ni, H.; Kim, K.; et al. One-component multifunctional sequence-defined ionizable amphiphilic Janus dendrimer delivery systems for mRNA. J. Am. Chem. Soc. 2021, 143, 12315–12327. [Google Scholar] [CrossRef] [PubMed]
- Li, J.; Concellón, A.; Yoshinaga, K.; Nelson, Z.; He, Q.; Swager, T.M. Janus emulsion biosensors for anti-SARS-CoV-2 spike antibody. ACS Cent. Sci. 2021, 7, 1166–1175. [Google Scholar] [CrossRef] [PubMed]
- Kang, C.J.; Honciuc, A. Influence of geometries on the assembly of snowman-shaped janus nanoparticles. ACS Nano 2018, 12, 3741–3750. [Google Scholar] [CrossRef] [Green Version]
- Binks, B.P.; Fletcher, P.D.I. Particles adsorbed at the oilwater interface: A theoretical comparison between spheres of uniform wettability and “Janus” particles. Langmuir 2001, 17, 4708–4710. [Google Scholar] [CrossRef]
- Noguchi, T.G.; Iwashita, Y.; Kimura, Y. Dependence of the internal structure on water/particle volume ratio in an amphiphilic Janus particle–water–oil ternary system: From micelle-like clusters to emulsions of spherical droplets. Langmuir 2017, 33, 1030–1036. [Google Scholar] [CrossRef]
- Staff, R.H.; Willersinn, J.; Musyanovych, A.; Landfester, K.; Crespy, D. Janus nanoparticles with both faces selectively functionalized for click chemistry. Polym. Chem. 2014, 5, 4097–4104. [Google Scholar] [CrossRef]
- Trindade, A.C.; Canejo, J.P.; Pinto, L.F.; Patrício, P.; Brogueira, P.; Teixeira, P.I.C.; Godinho, M.H. Wrinkling labyrinth patterns on elastomeric Janus particles. Macromolecules 2011, 44, 2220–2228. [Google Scholar] [CrossRef]
- Cayre, O.; Paunov, V.N.; Velev, O.D. Fabrication of asymmetrically coated colloid particles by microcontact printing techniques. J. Mater. Chem. 2003, 13, 2445–2450. [Google Scholar] [CrossRef] [Green Version]
- Bradley, J.C.; Ma, Z.M. Contactless electrodeposition of palladium catalysts. Angew. Chem. Int. Ed. 1999, 38, 1663–1666. [Google Scholar] [CrossRef]
- Zhang, J.; Jin, J.; Zhao, H.Y. Surface-initiated free radical polymerization at the liquid-liquid interface: A one-step approach for the synthesis of amphiphilic janus silica particles. Langmuir 2009, 25, 6431–6437. [Google Scholar] [CrossRef] [PubMed]
- Takei, H.; Shimizu, N. Gradient sensitive microscopic probes prepared by gold evaporation and chemisorption on latex spheres. Langmuir 1997, 13, 1865–1868. [Google Scholar] [CrossRef]
- Liu, L.Y.; Ren, M.W.; Yang, W.T. Preparation of polymeric Janus particles by directional UV-induced reactions. Langmuir 2009, 25, 11048–11053. [Google Scholar] [CrossRef] [PubMed]
- Wu, Q.; Yang, C.; Yang, J.; Huang, F.; Liu, G.; Zhu, Z.; Si, T.; Xu, R.X. Photopolymerization of complex emulsions with irregular shapes fabricated by multiplex coaxial flow focusing. Appl. Phys. Lett. 2018, 112, 071601. [Google Scholar] [CrossRef]
- Miguel, V.S.; Bochet, C.G.; Campo, A. Wavelength-selective caged surfaces: How many functional levels are possible? J. Am. Chem. Soc. 2011, 133, 5380–5388. [Google Scholar] [CrossRef] [Green Version]
- Koglin, N.; Lang, M.J.; Rennert, R.; Beck-Sickinger, A.G. Facile and selective nanoscale labeling of peptides in solution by using photolabile protecting groups. J. Med. Chem. 2003, 46, 4369–4372. [Google Scholar] [CrossRef]
- Braun, F.; Eng, L.; Trogisch, S.; Voit, B. Novel labile protected amine terpolymers for the preparation of patterned functionalized surfaces: Synthesis and characterization. Macromol. Chem. Phys. 2003, 204, 1486–1496. [Google Scholar] [CrossRef]
- Taranenko, Y.; Kayun, I.; Mysov, O. Examining quality of material for the synthesis of photonic crystals by the method of sedimentation analysis. East.-Eur. J. Enterp. Technol. 2017, 1, 35–41. [Google Scholar] [CrossRef]
- Tomoki, O.; Yoshiki, C. Synthesis of photosensitive organic-inorganic polymer hybrids by utilizing caged photoactivatable alkoxysilane. Macromolecules 2004, 37, 5916–5922. [Google Scholar]
- Stober, W.; Fink, A.; Bohn, E. Controlled growth of monodisperse silica spheres in the micron size range. J. Colloid Interface Sci. 1968, 26, 62–69. [Google Scholar] [CrossRef]
- Wang, Y.; Chen, L.; Yang, H.; Guo, Q.; Zhou, W.; Tao, M. Large-area self-assembled monolayers of silica microspheres formed by dip coating. Mater. Sci.-Pol. 2010, 28, 466–478. [Google Scholar]
- Cameron, J.F.; Frechet, J.M.J. Photogeneration of organic bases from O-nitrobenzyl-derived carbamates. J. Am. Chem. Soc. 1991, 113, 4303–4313. [Google Scholar] [CrossRef]
- Westcott, S.L.; Oldenburg, S.J.; Lee, A.T.R.; Halas, N.J. Formation and adsorption of clusters of gold nanoparticles onto functionalized silica nanoparticle surfaces. Langmuir 1998, 14, 5396–5401. [Google Scholar] [CrossRef]
- Wu, S.J.; Tan, S.Y.; Ang, C.Y.; Nguyen, K.T.; Li, M.H.; Zhao, Y.L. An imine-based approach to prepare amine-functionalized janus gold nanoparticles. Chem. Comm. 2015, 51, 11622–11625. [Google Scholar] [CrossRef]
- Brown, S.D.; Toshihiko, F.; Brian, G.J. Nucleation and growth of nano-gold colloidal Lattices. Chem. Comm. 1997, 11, 1007–1008. [Google Scholar] [CrossRef]
- Sashuk, V.; Hołyst, R.; Wojciechowski, T.; Fiałkowski, M. Close-packed monolayers of charged Janus-type nanoparticles at the air-water interface. J. Colloid Interface Sci. 2012, 375, 180–186. [Google Scholar] [CrossRef]
- Frens, G. Controlled nucleation for the regulation of the particle size in monodisperse gold suspensions. Nature 1973, 241, 20–22. [Google Scholar] [CrossRef]
- Petit, L.; Sellier, E.; Duguet, E.; Ravaine, S.; Mingotaud, C. Dissymmetric silica nanospheres: A first step to difunctionalized nanomaterials. J. Mater. Chem. 2000, 10, 253–254. [Google Scholar] [CrossRef]
- Pasternack, R.M.; Amy, S.R.; Chabal, Y.J. Attachment of 3-(aminopropyl)triethoxysilane on silicon oxide surfaces: Dependence on solution temperature. Langmuir 2008, 24, 12963–12971. [Google Scholar] [CrossRef] [PubMed]
- Quang, D.V.; Hatton, T.A.; Abu-Zahra, M.R.M. Thermally stable amine-grafted adsorbent prepared by impregnating 3 aminopropyltriethoxysilane on mesoporous silica for CO2 capture. Ind. Eng. Chem. Res. 2016, 55, 7842–7852. [Google Scholar] [CrossRef]
- Kohl-Landgraf, J.; Buhr, F.; Lefrancois, D.; Mewes, J.-M.; Schwalbe, H.; Dreuw, A.; Wachtveitl, J. Mechanism of the Photoinduced Uncaging Reaction of Puromycin Protected by a 6-Nitroveratryloxycarbonyl Group. J. Am. Chem. Soc. 2014, 136, 3430–3438. [Google Scholar] [CrossRef]
- Alkilany, A.M.; Caravana, A.C.; Hamaly, M.A.; Lerner, K.T.; Thompson, L.B. Phase transfer of citrate stabilized gold nanoparticles using nonspecifically adsorbed polymers. J. Colloid Interface Sci. 2016, 461, 39–44. [Google Scholar] [CrossRef] [PubMed]
- Glaser, N.; Adams, D.J.; Böker, A.; Krausch, G. Janus particles at liquid-liquid interfaces. Langmuir 2006, 22, 5227–5229. [Google Scholar] [CrossRef]








Publisher’s Note: MDPI stays neutral with regard to jurisdictional claims in published maps and institutional affiliations. |
© 2022 by the authors. Licensee MDPI, Basel, Switzerland. This article is an open access article distributed under the terms and conditions of the Creative Commons Attribution (CC BY) license (https://creativecommons.org/licenses/by/4.0/).
Share and Cite
Li, W.; Hu, D.; Ma, J.; Shen, S. Amphiphilic Janus Microspheres Prepared by Caged Photoactivatable Alkoxysilane. Coatings 2022, 12, 198. https://doi.org/10.3390/coatings12020198
Li W, Hu D, Ma J, Shen S. Amphiphilic Janus Microspheres Prepared by Caged Photoactivatable Alkoxysilane. Coatings. 2022; 12(2):198. https://doi.org/10.3390/coatings12020198
Chicago/Turabian StyleLi, Wei, Daodao Hu, Jinxin Ma, and Shukun Shen. 2022. "Amphiphilic Janus Microspheres Prepared by Caged Photoactivatable Alkoxysilane" Coatings 12, no. 2: 198. https://doi.org/10.3390/coatings12020198
APA StyleLi, W., Hu, D., Ma, J., & Shen, S. (2022). Amphiphilic Janus Microspheres Prepared by Caged Photoactivatable Alkoxysilane. Coatings, 12(2), 198. https://doi.org/10.3390/coatings12020198
