Impact of Engineering Surface Treatment on Surface Properties of Biomedical TC4 Alloys under a Simulated Human Environment
Abstract
:1. Introduction
2. Materials and Methods
2.1. Materials
2.2. Experimental Procedure
2.2.1. Sandblasting
2.2.2. Anodic Oxidation
2.2.3. Anodic Oxidation after Sandblasting
2.2.4. Analysis Methods
3. Results
3.1. Morphologies and Structures
3.2. Mechanical Properties
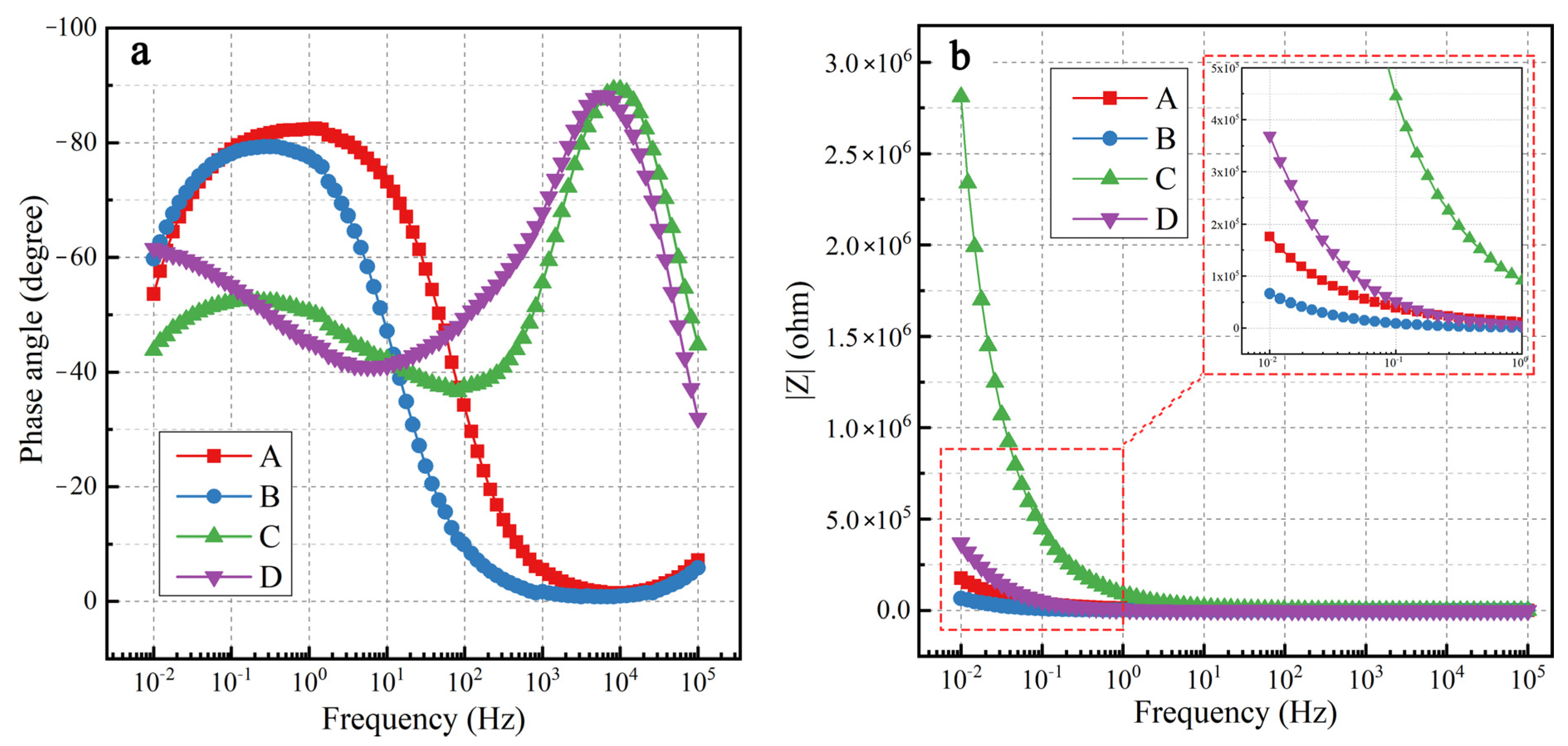
3.3. Corrosion Resistance
3.4. Contact Angles
4. Discussion
5. Conclusions
Author Contributions
Funding
Institutional Review Board Statement
Informed Consent Statement
Data Availability Statement
Acknowledgments
Conflicts of Interest
References
- Liu, S.G.; Xia, C.Q.; Feng, Z.H.; Zhang, X.; Chen, B.H.; Xie, C.L.; Zhou, Y.K.; Zhang, X.Y.; Ma, M.Z.; Liu, R.P. Influence of phase composition and microstructure on mechanical properties of hot-rolled Ti-χZr-4Al-0.005B alloys. J. Alloys Compd. 2018, 751, 247–256. [Google Scholar] [CrossRef]
- Yang, J.L.; Wang, G.F.; Zhang, W.C.; Chen, W.Z.; Jiao, X.Y.; Zhang, K.F. Microstructure evolution and mechanical properties of P/M Ti-22Al-25Nb alloy during hot extrusion. Mater. Sci. Eng. A. 2017, 699, 210–216. [Google Scholar] [CrossRef]
- Li, X.X.; Yang, C.; Lu, H.Z.; Luo, X.; Lvasisshin, O.M. Correlation between atomic diffusivity and densification mechanism during spark plasma sintering of titanium alloy powders. J. Alloys Compd. 2019, 787, 112–122. [Google Scholar] [CrossRef]
- Qiu, K.J.; Liu, Y.; Zhou, F.Y.; Wang, B.L.; Li, L.; Zheng, Y.F.; Liu, Y.H. Microstructure, mechanical properties, castability and in vitro biocompatibility of Ti-Bi alloys developed for dental applications. Acta Biomater. 2015, 15, 254–265. [Google Scholar] [CrossRef]
- Ellis, E.; Tan, Y.H. Assessment of internal orbital reconstructions for pure blowout fractures: Cranial bone grafts versus titanium mesh. J. Oral Maxillofac. Surg. 2003, 61, 442–453. [Google Scholar] [CrossRef] [PubMed]
- Liu, X.Y.; Chu, P.K.; Ding, C.X. Surface modification of titanium, titanium alloys, and related materials for biomedical applications. Mater. Sci. Eng. R 2004, 47, 49–121. [Google Scholar] [CrossRef] [Green Version]
- Dikova, T.; Milkov, M. Application of Ti and Ti alloys in dental implantology. Int. J. Tuberc. Lung Dis. 2013, 17, 48–50. [Google Scholar]
- Marbacher, S.; Andres, R.H.; Fathi, A.-R.; Fandino, J. Primary reconstruction of open depressed skull fractures with titanium mesh. J. Craniofacial Surg. 2008, 19, 490–495. [Google Scholar] [CrossRef]
- Assis, S.; Wolynec, S.; Costa, I. Corrosion characterization of titanium alloys by electrochemical techniques. Electrochim. Acta 2006, 51, 1815–1819. [Google Scholar] [CrossRef]
- González, J.E.G.; Mirza-Rosca, J.C. Study of the corrosion behavior of titanium of its alloys for biomedical and dental implant applications. J. Electroanal. Chem. 1999, 471, 109–115. [Google Scholar] [CrossRef]
- Sathish, S.; Geetha, M.; Pandey, N.D.; Richard, C.; Asokamani, R. Studies on the corrosion and wear behavior of the laser nitrided biomedical titanium and its alloys. Mater. Sci. Eng. C 2010, 30, 376–382. [Google Scholar] [CrossRef]
- Vadiraj, A.; Kamaraj, M.; Gnanamoorthy, R. Fretting wear studies on uncoated, plasma nitrided and laser nitrided biomedical titanium alloys. Mater. Sci. Eng. A 2007, 445, 446–453. [Google Scholar] [CrossRef]
- Engh Jr, C.A.; Moore, K.D.; Vinh, T.N.; Engh, G.A. Titanium prosthetic wear debris in remote bone marrow. A report of two cases. J. Bone Jt. Surg. 1997, 79, 1721–1725. [Google Scholar] [CrossRef] [PubMed]
- Buly, R.L.; Huo, M.H.; Salvati, E.; Brien, W.; Bansal, M. Titanium wear debris in failed cemented total hip arthroplasty. An analysis of 71 cases. J. Arthroplast. 1992, 7, 315–323. [Google Scholar] [CrossRef]
- Buchanan, R.A.; Rigney Jr, E.D.; Williams, J.M. Ion implantation of surgical Ti-6Al-4V for improved resistance to wear-accelerated corrosion. J. Biomed. Mater. Res. Part A 1987, 21, 55–366. [Google Scholar] [CrossRef] [PubMed]
- Zhang, L.C.; Chen, L.Y.; Wang, L.Q. Surface Modification of Titanium and Titanium Alloys: Technologies, Developments, and Future Interests. Adv. Eng. Mater. 2019, 22, 1901258. [Google Scholar] [CrossRef]
- Deng, H.Y.; Chen, D.X.; Wang, Y.N.; Zhou, Y.W.; Gao, P. Effects of silicon on microstructure and corrosion resistance of diamond-like-carbon film prepared on 2024 aluminum alloy by plasma-enhanced chemical vapor deposition. Diam. Relat. Mater. 2020, 110, 108144. [Google Scholar] [CrossRef]
- Hiraga, H.; Inoue, T.; Kojima, Y.; Kamado, S.; Watanabe, S. Surface modification by dispersion of hard particles on magnesium alloy with laser. Mater. Sci. Forum 2000, 350–351, 253–260. [Google Scholar] [CrossRef]
- Qi, J.W.; Yang, Y.M.; Zhou, M.M.; Chen, Z.B.; Chen, K. Effect of transition layer on the performance of hydroxyapatite/titanium nitride coating developed on Ti-6Al-4V alloy by magnetron sputtering. Ceram. Int. 2019, 45, 4863–4869. [Google Scholar] [CrossRef]
- Li, D.H.; Liu, B.L.; Han, Y.; Xu, K.W. Effects of a Modified sandblasting surface treatment on topographic and chemical properties of titanium surface. Implant. Dent. 2001, 10, 59–64. [Google Scholar] [CrossRef]
- Tang, E.J.; Liu, Z.; Zhao, Y.Q. A Study of electroless Ni-P plating on titanium alloy. Electroplat. Pollut. Control 2003, 23, 21–22. [Google Scholar]
- Song, H.J.; Kim, M.K.; Jung, G.C.; Vang, M.S.; Park, Y.J. The effects of spark anodizing treatment of pure titanium metals and titanium alloys on corrosion characteristics. Surf. Coat. Technol. 2007, 201, 8738–8745. [Google Scholar] [CrossRef]
- Tian, Y.S.; Chen, C.Z.; Li, S.T.; Huo, Q.H. Research progress on laser surface modification of titanium alloys. Appl. Surf. Sci. 2005, 242, 177–184. [Google Scholar] [CrossRef]
- Khanlou, H.M.; Ang, B.C.; Barzani, M.M.; Silakhori, M.; Talebian, S. Prediction and characterization of surface roughness using sandblasting and acid etching process on new non-toxic titanium biomaterial: Adaptive-network-based fuzzy inference System. Neural Comput. Appl. 2015, 26, 1751–1761. [Google Scholar] [CrossRef]
- Wu, L.; Liu, J.H.; Wu, G.L.; Li, S.M.; Yu, M. Growth behaviour of anodic oxide film on titanium alloy. Surf. Eng. 2015, 33, 841–848. [Google Scholar] [CrossRef]
- Li, B.; Li, J.; Liang, C.; Li, H.; Liu, S.; Wang, H. Surface Roughness and hydrophilicity of titanium after anodic oxidation. Rare Met. Mater. Eng. 2016, 45, 858–862. [Google Scholar] [CrossRef] [Green Version]
- Arifvianto, B.; Suyitno, S.; Mahardika, M. Effect of sandblasting and surface mechanical attrition treatment on surface roughness, wettability, and microhardness distribution of aisi 316l. Key Eng. Mater. 2011, 462–463, 738–743. [Google Scholar] [CrossRef]
- Pang, M.; Eakins, D.E.; Norton, M.G.; Bahr, D.F. Structural and mechanical characteristics of anodic oxide films on titanium. Corrosion 2001, 57, 523–531. [Google Scholar] [CrossRef]
- Schwarz, F.; Wieland, M.; Schwartz, Z.; Zhao, G.; Rupp, F.; Geis-Gerstorfer, J.; Schedle, A.; Broggini, N.; Bornstein, M.M.; Buser, D.; et al. Potential of chemically modifified hydrophilic surface characteristics to support tissue integration of titanium dental implants. Biomed. Mater. Res. B 2009, 88, 544–557. [Google Scholar] [CrossRef]
- Rupp, F.; Scheideler, L.; Eichler, M.; Geis-Gerstorfer, J. Wetting behavior of dental implants. Int. J. Oral Maxillofac. Implant. 2011, 26, 1256–1266. [Google Scholar]
- Gittens, R.A.; Scheideler, L.; Rupp, F.; Hyzy, S.L.; Geis-Gerstorfer, J.; Schwartz, Z.; Boyan, B.D. A review on the wettability of dental implant surfaces II: Biological and clinical aspects. Acta Biomater. 2014, 10, 2907–2918. [Google Scholar] [CrossRef] [PubMed] [Green Version]
- Rupp, F.; Gittens, R.A.; Scheideler, L.; Marmur, A.; Boyan, B.D.; Schwartz, Z.; Geis-Gerstorfer, J. A review on the wettability of dental implant surfaces I: Theoretical and experimental aspects. Acta Biomater. 2014, 10, 2894–2906. [Google Scholar] [CrossRef] [PubMed] [Green Version]













| Specimens | Rbulk (Ω·cm2) | Rpol (Ω·cm2) | Cd (F·cm−2) | Rpor (Ω·cm2) | Cpor (F·cm−2) | Rb (Ω·cm2) | Cb (F·cm−2) |
|---|---|---|---|---|---|---|---|
| A | 119 | 7.4 × 105 | 3 × 10−5 | - | - | - | - |
| B | 104 | 1.8 × 103 | 1.6 × 10−4 | - | - | - | - |
| C | 110 | - | - | 4.5 × 103 | 1.6 × 10−7 | 7.5 × 106 | 2.8 × 10−6 |
| D | 105 | - | - | 2.4 × 103 | 1.6 × 10−6 | 9.7 × 105 | 3.2 × 10−5 |
Publisher’s Note: MDPI stays neutral with regard to jurisdictional claims in published maps and institutional affiliations. |
© 2022 by the authors. Licensee MDPI, Basel, Switzerland. This article is an open access article distributed under the terms and conditions of the Creative Commons Attribution (CC BY) license (https://creativecommons.org/licenses/by/4.0/).
Share and Cite
Deng, H.; Xu, K.; Liu, S.; Zhang, C.; Zhu, X.; Zhou, H.; Xia, C.; Shi, C. Impact of Engineering Surface Treatment on Surface Properties of Biomedical TC4 Alloys under a Simulated Human Environment. Coatings 2022, 12, 157. https://doi.org/10.3390/coatings12020157
Deng H, Xu K, Liu S, Zhang C, Zhu X, Zhou H, Xia C, Shi C. Impact of Engineering Surface Treatment on Surface Properties of Biomedical TC4 Alloys under a Simulated Human Environment. Coatings. 2022; 12(2):157. https://doi.org/10.3390/coatings12020157
Chicago/Turabian StyleDeng, Hongyun, Kuixue Xu, Shuguang Liu, Chaofeng Zhang, Xiongwei Zhu, Haoran Zhou, Chaoqun Xia, and Chunbao Shi. 2022. "Impact of Engineering Surface Treatment on Surface Properties of Biomedical TC4 Alloys under a Simulated Human Environment" Coatings 12, no. 2: 157. https://doi.org/10.3390/coatings12020157
APA StyleDeng, H., Xu, K., Liu, S., Zhang, C., Zhu, X., Zhou, H., Xia, C., & Shi, C. (2022). Impact of Engineering Surface Treatment on Surface Properties of Biomedical TC4 Alloys under a Simulated Human Environment. Coatings, 12(2), 157. https://doi.org/10.3390/coatings12020157

